Skip to main content
Intended for healthcare professionals
Open access
Research article
First published online February 8, 2025

The cost of dehumanization: How political rhetoric shapes public resistance to cooperation with adversaries

Abstract

Policymakers evoke dehumanizing images when talking about their country’s traditional adversaries. Despite tough rhetoric, when national security interests are at stake, politicians do change their discourse and are willing to engage in pragmatic strategic cooperation with adversaries. To date, no study has analyzed how politicians’ use of dehumanizing images affects the public’s preferences for strategic security cooperation. We argue that politicians’ use of dehumanizing images of enemies in public discourse creates a psychological barrier to strategic thinking in security policy at the public level, and this barrier is greater when they are used by Republican politicians. Using data from a survey experiment of a nationally representative sample of Americans, we show that once politicians have used dehumanizing images to describe an adversary, the American people are more likely to oppose cooperating with that country. We also show that enemy images invoked by Republicans are stickier than those used by Democrats.

Introduction

Policymakers frequently resort to enemy images, including dehumanizing images, when talking about their country’s traditional adversaries, portraying them as hostile and threatening (Silverstein, 1992). While enemy images reinforce political identities and justify conflict, they also complicate cooperation efforts. This is why when national security interests demand pragmatic cooperation, policymakers reverse their stance and advocate strategic cooperation with previously dehumanized adversaries (Kupchan, 2010; Neumann, 2007). This raises crucial questions: How does the mass public respond to such reversals? Does the use of dehumanizing language by politicians affect individuals’ foreign policy preferences when cooperation with adversaries becomes necessary?1 This study investigates these questions.
An enemy image is an overly stereotyped view of an outgroup that exaggerates its negative characteristics (Stein, 1996) and, in doing so, cements the virtuousness of the self as the “good” other. Therefore, while a stereotype is a “frozen image” (Petersson, 2006) pertaining to the over-simplistic characteristics of individuals in a group—for example, French people are rude, or Americans are arrogant—an enemy image is a “specific form of negative stereotype” (Oppenheimer, 2006: 269). Dehumanization is an extension of the enemy image that strips the outgroup off all basic human traits and rights (Eicher et al., 2013). It renders the enemy a low life form.
By their nature enemy images can lead to dehumanization, but they do not always include dehumanization or include the same degree of dehumanization. The extent of dehumanization depends on various factors including the social, ideological, and institutional context, as well as specific characteristics of the images (Leader Maynard and Luft, 2023). For instance, although Argentina and the United Kingdom fought over the Falkland Islands in 1982 and regarded each other as enemies, and despite the presence of nationalistic fervor on both sides, neither government dehumanized the other during the conflict (Freedman, 2005).
While the creation of enemy images has always been part of politics, the use of dehumanizing images of the enemy is different from simply pointing to a competitor or an adversary (Rieber and Kelly, 1991). Enemy images are related to the definition of the “self” and, therefore, to the identity of the ingroup. By exaggerating the negative attributes of a threatening outgroup and then stripping their members of basic human traits, dehumanizing images create a positive and distinct self-image with only ingroup members as fully human. Second, the dehumanization of an enemy is central to a group’s preparedness to kill to ensure its own survival and to continue armed conflict (Stein, 1996), because dehumanization scraps away the outgroup of basic human rights.
The use of dehumanizing images to refer to foreign adversaries abounds in American foreign policy. President Ronald Reagan referred to the Soviet Union as the “evil empire.” President George W. Bush declared Iran, Iraq, and North Korea an “axis of evil.” Former Speaker of the House John Boehner referred to the Iran nuclear deal as a “deal with the devil.” The use of dehumanizing images to describe foreign adversaries well extends far beyond American politics. For example, in the Arab–Israeli conflict, Arabs have been called “drugged cockroaches” and “murderers,” while Israelis have been likened to “a spreading cancer” and “monsters” (White, 1977).
Politicians also invoke dehumanizing images to characterize their domestic opponents. Former Senate Minority Leader Senator Harry Reid described presidential candidate Donald Trump as “GOP’s Frankenstein monster,” while in a phone interview, then President Trump referred to then Democratic Vice-Presidential nominee Senator Harris as ‘a monster.’ Valeri Simeonoy, the speaker of the Patriotic Front in Bulgaria, described the Roma as “brash, overconfident and ferocious great apes . . . ruthless human-like life forms, ready to murder and to ravage for money” (Isaev, 2017). Tutsis were referred to as “cockroaches,” “rats,” and “snakes” in Rwanda, while black Africans in Darfur were called “dogs,” “monkeys,” and “slaves” in Sudan.
Enemies—even ones who have been vilified at one point—do, however, become “friends” (Kupchan, 2010) or strategic partners, perhaps more appropriately. Politicians do change their public discourse for strategic reasons, whether it is to protect the security interests of the state in foreign policy or to appeal to new constituencies, notwithstanding the enemy images, including dehumanizing ones, they have used to describe the very same adversaries in the past (Croco et al., 2021; Kupchan, 2010; Neumann, 2007). Whether politicians genuinely change their minds about the intentions of adversaries is beside the point, but politicians do change their public discourse and policies for the sake of strategic security cooperation.
For example, President Ronald Reagan signed a missile control agreement with the “evil empire” Soviet Union. During the Iran–Iraq War, the United States not only cooperated with Saddam Hussein to counter-balance the Iranian power in the Middle East but also supplied arms to Iran to finance the Nicaraguan rebels. President Obama’s historic phone call to President Rouhani in 2013 ended three decades of no direct contact between the United States and Iran.
Despite the prevalence of dehumanizing imagery in political discourse, the impact of such rhetoric on public support for strategic cooperation with adversaries has not been directly examined to date. Previous research has examined the role enemy images play in general in shaping policy outcomes, from increasing the Department of Defense budget to humanitarian intervention, among others (Eckhardt, 1989; Herrmann and Fischerkeller, 1995; Hurwitz and Peffley, 1990; Murray and Cowden, 1999). The dehumanization literature, on the contrary, explored how dehumanization becomes a tool of discrimination, subjugation, and genocide (Haslam and Loughnan, 2014). However, no study has specifically analyzed how politicians’ use of dehumanizing language affects public opinion on foreign policy actions that require cooperation with formerly dehumanized adversaries. Our research is the first to bring the dehumanization literature into the study of public opinion in international politics by examining whether the public’s foreign policy preferences shift when politicians, who previously dehumanized an adversary, advocate for cooperation.
This study utilizes data from a survey experiment fielded on a nationally representative sample of Americans, where participants were exposed to scenarios in which dehumanizing language was either present or absent and where the political party of the political figure delivering the message was manipulated. The findings show that dehumanizing rhetoric significantly reduces public support for cooperation, particularly when used by Republican politicians. When dehumanizing enemy images are invoked, the public is more likely to oppose strategic collaboration, even when it serves American national security interests. This suggests that dehumanizing images are particularly “sticky,” making it difficult for politicians to shift public opinion even when pragmatic cooperation is necessary. Put differently, dehumanizing images tie politicians’ hands.
Our research contributes to key areas of scholarship in International Relations and political psychology. By examining for the first time how dehumanization of enemies impacts public preferences for strategic partnership with the very same enemies, we bring the literature on dehumanization into conversation with research on public opinion and foreign policy-making (Aldrich et al., 2006; Kertzer, 2023; Kteily et al., 2015), shedding new light on how dehumanizing enemy images impact public opinion on foreign policy. By specifically investigating politicians’ ability to muster public backing for cooperation with previously dehumanized enemies, we offer a deeper understanding of the challenges policymakers face when attempting to navigate the complex terrain of domestic public sentiments in times of strategic necessity. In addition, our findings have implications for domestic politics in the United States, and elsewhere, where the proliferation of dehumanizing language has contributed to a climate of acute polarization that prevents members of Congress from being able to reach across the aisle to enact and implement vital policies (Cassese, 2019; Martherus et al., 2021; Windsor and Bowman, 2018).
This article proceeds as follows. First, we outline the core tenets of dehumanization and sketch out the existing scholarship on enemy images. Next, merging insights from psychological studies on dehumanization with those from the public opinion and foreign policy literature in International Relations, we lay out our argument and derive hypotheses. The following section introduces the method, data, and variables followed by the presentation of the results. We conclude by reviewing our findings and exploring their implications for future research and policy.

Dehumanizing the “Other” and its consequences

Dehumanization is the psychological process whereby opponents view each other as less than human and are therefore stripped of basic human rights, making them not deserving of humane treatment. In essence, “dehumanization entails not seeing another individual as a person at all” (Wilde et al., 2014: 302). According to Haslam and Loughnan (2014), what makes dehumanization particularly consequential as a psychological phenomenon is that it can be very common and recurrent, thus distorting our view of reality and leading to dire consequences for outgroups. As Bandura (1999) maintains, it is easier to maltreat individuals when they are seen as low animal forms instead of human beings.
Dehumanization has a long history as a tool utilized to discriminate, subjugate, and commit violence, including genocide (Haslam and Loughnan, 2014; Kelman, 1973; Kteily et al., 2015). Pioneering work on the modern conceptualization of dehumanization began with Kelman in 1973 in his evaluation of sanctioned massacres as a specific form of violence as he was interested in the Holocaust, the My Lai massacre, and United States actions in Indochina more generally. According to Kelman (1973), for such levels of violence to occur, victims must be denied their humanity for if they are no longer human, “then the moral restraints against killing them are more readily overcome” (p. 49).
More recently, dehumanization, including overt and blatant forms, has been studied in everyday contexts (Haslam, 2006; Haslam and Loughnan, 2014; Martherus et al., 2021) and has been found to be different than discrimination and prejudice (Harris and Fiske, 2006; Kteily and Bruneau, 2017; Kteily et al., 2015). In a landmark study, Kteily et al. (2015) investigated the impact of Ascent dehumanization, which is associated with animalistic blatant dehumanization, and found that it predicts numerous consequential attitudes and behaviors (from minimizing immigration to feeling less compassionate to injustices experiences by outgroups to supporting punitive activities) toward multiple outgroup targets (Americans toward Arabs and Muslims; British toward Muslims; and Hungarians toward Romans) and was reliable over time.
In addition, overt forms of dehumanization have been detected using priming, linguistic, and neuroscience methods (Haslam and Stratemeyer, 2016). For instance, utilizing neuroimaging, Fiske (2009) finds that when participants do not value the other’s mind (i.e., their intents, thoughts, feelings), the insula—the main neural structure involved in the emotion of disgust—is activated, thereby blocking the medial prefrontal cortex, which is associated with empathy, from being activated. Therefore, when we do not recognize the other as fully human like us, this could lead to dehumanization. What Fiske (2009) among others (Harris and Fiske, 2006, 2011) shows is that dehumanization could take place instantaneously, even unconsciously.
Several studies have also found negative effects of dehumanization on willingness to cooperate or help outgroups (Leidner et al., 2012; Tsoi et al., 2016). For instance, Andrighetto et al (2014) found that the dehumanization of Haitians (dehumanized as animal-like) and Japanese (dehumanized as automata), decreased the willingness to provide humanitarian aid to the victims after each nation experienced an earthquake. Dehumanization, therefore, has a detrimental effect on cooperation. It weakens social bonds, decreasing empathy and moral concerns for others, thereby making it easier to justify negative attitudes or behaviors toward the outgroup.

Dehumanization and enemy images in International Relations

-But how does dehumanizing the enemy influence mass foreign policy attitudes when strategic security cooperation with adversaries becomes necessary and the dehumanizing rhetoric is abandoned? Little has been done to date to address this question despite consistent scholarly interest in enemy images. As early as the 1960s, political scientists and psychologists have studied how the idea of “the enemy” takes hold (Bronfenbrenner, 1961; Gladstone, 1959) and explored the consequences of “diabolical enemy images” on decision-making (Frank, 1968). Later, Herrmann et al. (1997) identified the enemy image as one of the five ideal types a foreign country can be characterized based on the country’s perceived relative power, culture, and the level of threat (or opportunity) posed by the country. Specifically, these authors noted that when an enemy image is present, the target is believed to be an aggressor with “evil and unlimited” motives (Herrmann et al., 1997: 411).
Some works have explored the role enemy images play in shaping public perceptions (Finlay et al., 1967; Herrmann et al., 1997; Hurwitz and Peffley, 1990; Murray and Cowden, 1999). Hurwitz and Peffley (1990), for instance, found that the American public based their foreign policy attitudes on fundamental assumptions they held pertaining to the basic nature of the Soviet Union and its leadership, in particular their threatening and untrustworthiness nature. Their results suggest “that beliefs about the basic nature of the Soviet Union operate as central premises in mass belief systems in foreign affairs, both by constraining general foreign policy postures and by shaping more specific preferences on national security issues” (Hurwitz and Peffley, 1990: 22). Similarly, Herrmann and Shannon (2001) found that public reactions to violations of international norms by enemies were harsher than those by allies.
While enemy images have attracted scholarly interest, the effects of dehumanizing language that can be present in enemy images have not been fully explored. No specific study in public opinion and foreign policy scholarship has investigated how dehumanizing enemy images influence public opinion. In particular, how the public reacts when politicians utilize dehumanizing images but subsequently revoke these and call for pragmatic partnerships with such arch enemies has not been studied.
We advance the existing scholarship on public opinion and foreign policy by taking the impact of dehumanization on public preferences regarding foreign policy seriously. This is an important intervention as politicians are accountable to their constituencies, public’s preferences for policies matter. Foreign policy is no exception.
The interest in the dynamics between foreign policy and public opinion has spanned decades, including Walter Lippmann’s (1922) seminal piece on Public Opinion published in 1922. Lippman laid the groundwork for later discussions on the relationship between public opinion and foreign policy, especially in democracies. With time, the literature zeroed in on the intricate mechanisms and processes of this dynamic.
The relationship between public preferences and foreign policy outcomes is complex and multi-dimensional. Sometimes, public opinion constrains foreign policy, other times, it gives a general direction to it, and still other times, it may be shaped by what politicians want their constituents to think (Aldrich et al., 2006; Holsti, 1992; Kertzer, 2013, 2023; (Kertzer and Zeitzoff, 2017; Kertzer et al., 2014; Page and Shapiro, 1983). On balance, public opinion matters in foreign policy-making. Recent works exploring different policy areas ranging from enforcement of international human rights law (Tomz and Weeks, 2020) to international institutions (Dellmuth and Tallberg, 2015) to foreign development aid (Heinrich et al., 2016) attest to this.
Our study takes this literature a step further by focusing on the different psychological barriers that may emerge because of utilizing dehumanizing language, which in turn constrains the menu of available policy options for policymakers.

The impact of dehumanizing the enemy on public support for cooperation

Politicians’ use of dehumanizing images plays a major role in the denigration and delegitimization of traditional adversaries. Whether it is to sell military action against adversaries to their voters and justify increased military spending (Entman and Herbst, 2001), to claim moral superiority over the adversary (Oppenheimer, 2006), to perpetuate a conflict (Moeller, 1996), or to earn political capital, politicians do not shy away from dehumanizing adversaries.
We argue that such dehumanizing rhetoric ties their hands in the long-run when national security interests require strategic partnerships with dehumanized enemies. Three related reasons explain why dehumanizing images create a psychological barrier to strategic thinking for members of the public: distorted information processing, mistrust, and threat to self-image. First, dehumanizing images distort information processing. Enemy images, in general, operate as a cognitive schema, meaning the beliefs that make up the image “hang together,” inducing individuals to notice schema-consistent information and disregard schema-inconsistent information (Festinger, 1957; Herrmann and Fischerkeller, 1995; Herrmann et al., 1997).
This distortion in information processing implies that when a politician advocates cooperation with an adversary previously characterized as a malicious enemy, the public will have difficulty taking this cue and attending to this information (Kelman, 2008). Instead, people will continue focusing on the negative aspects of the “enemy” and believing that the enemy cannot be trusted. This is because our brains have a “negativity bias,” which means that we are more sensitive to negative than positive information and negative information is more likely to influence our evaluations (Ito et al., 1998).
For example, in his analysis of the cognitive processes that sustain enemy images, Holsti (1967: 23) found that Secretary of State John Foster Dulles regarded Soviet communications as generally unreliable, for he believed that “atheists [could] hardly be expected to conform to an ideal so high” as the truth. The existence of this tendency toward maintaining an enemy image through cognitive dissonance avoidance (Festinger, 1957) is substantiated by numerous works in International Relations (Herrmann and Fischerkeller, 1995; Staub and Bar-Tal, 2003).
Second, dehumanizing images bias individuals’ ideas regarding adversaries’ motives, creating a cycle of mistrust or, more appropriately, an inability to trust, which also intensifies the negativity bias. When an enemy image is present, any negative behavior the enemy undertakes is attributed to their “aggressive nature,” or “inherent evil intentions” in case of a dehumanizing image, while any positive behavior is dismissed as a function of circumstances (Jervis, 1976, 1989; Herrmann and Fischerkeller, 1995; Waytz et al., 2014). This is because enemy images between adversaries tend to mirror one another; each side identifies certain distinctive attributes as virtues of itself while labeling the absence of these characteristics of the vices of others. This results in a perception that asserts “we” are good, trustworthy, honorable, and moral while “they” are evil, treacherous, dishonest, and immoral. This pattern of biased attribution creates “an inherent bad-faith model,” as Holsti (1967) once described it, that makes trusting the enemy inconceivable. In fact, it allows both sides to find a hostile explanation for any action, including conciliatory ones (Finlay et al., 1967).
Several studies have found that trust is a key ingredient for cooperation to occur (Jansson and Eriksson, 2015; Rathbun, 2012; Rathbun et al., 2016). When individuals/groups see their opponent as their nemesis, they are more likely to view any interaction with this untrustworthy counterpart as a “zero-sum/fixed pie” situation engendering lower cooperative motivation (De Dreu et al., 2007; Harinck et al., 2000). Such loss framing increases the resistance to making any concession (Pruitt and Rubin, 1986), and any cooperative or conciliatory behavior toward an outgroup would be considered a disloyal act; meanwhile, hostile actions would be rewarded (Bornstein, 2003).
Therefore, the decision to cooperate with an opponent is influenced by the stereotyped beliefs and perceptions that different groups hold regarding one another (De Dreu et al., 1995). In fact, political antagonists are more likely to devalue any proposal or agreement suggested by the opponent. For instance, Stillinger et al. (1990) found that Americans were more likely to endorse a disarmament plan and believe that it would be favorable to the United States if it was attributed to President Reagan than if the same plan was attributed to President Gorbachev. Maoz et al. (2002) also uncovered evidence of devaluation of peace proposals among Israelis and Palestinians, whereby each side evaluated a peace plan less favorably when it was attributed to the other side rather than to their own government.
The third factor that explains why dehumanizing images create a psychological barrier to strategic cooperation at the mass level is the self-threat principle (De Dreu et al., 2007). Exaggerated enemy images allow people to protect their idealized self-images (Jervis, 1976; 1989; Volkan, 1985). An idealized self-image as the antithesis of an evil and less than human enemy impedes acceptance of strategic cooperation because such cooperation will be viewed as immoral. If the enemy is everything the ingroup is not, then strategic cooperation will be detrimental to ingroup pride and aggrandizement.
According to De Dreu et al. (2007), this obstacle to cooperation stems from the tendency of individuals to develop and protect positively biased views of the self. As a result, “ego defensiveness and the tendency to view oneself as better and more cooperative than average, including one’s counterpart” (De Dreu et al., 2007: 616) hampers conflict resolution. In fact, De Dreu and Van Knippenberg (2005) demonstrated that people tend to develop ownership of arguments and positions, which in turn become part of their extended self-concept. Therefore, attacks on these arguments will be threatening.
Using these insights, we argue that when politicians dehumanize and vilify a rival country but subsequently revoke such image and advocate strategic cooperation with that country, members of the public will less likely support the move toward a pragmatic partnership. Once used, dehumanizing images hinder the public’s ability to appreciate the importance of strategic cooperation with adversaries. Therefore,
Barrier hypothesis: When a politician uses a dehumanizing image to characterize an adversary, but subsequently abandons the image and supports cooperation with that adversary, individuals will be less likely to support cooperating with that country compared to when a dehumanizing image has not been used.
Since distorted information processing, mistrust, and threat to self-image are individual-level psychological processes, they can (and do) impact leaders’ opinion on strategic cooperation not just public opinion. For example, President George H. W. Bush:
required a consistent stream of evidence over a protracted period of time before he began to change his belief about Mikhael Gorbachev. Indeed, even a consistent stream of evidence was insufficient; it took the destruction of the Berlin Wall to overcome his resistance. (Stein, 2013: 293)
As many scholars have noted, however, there are critical information asymmetries between leaders and members of the public regarding international affairs and foreign policy (Baum and Groeling, 2009). The public lacks the information, especially classified data, which means that they are unable to fully evaluate policy options in a way that leaders can. Therefore, it is likely that the psychological processes make dehumanizing images stronger at the mass public level than they are at the leader level. Here, we focus on how members of the public respond to change in leader rhetoric, leaving it future research to study the differences between leaders and publics.

Dehumanization and party identity of the elite—Cue Giver

We recognize that the identity of the politician in question is consequential because enemy image usage by definition is a political process. In American politics, for example, it is extremely difficult to disentangle enemy image use from the political party of a politician. We also know that individuals’ filter political messages through their party identity. Accordingly, we draw from the literature on partisanship and foreign policy and audience costs to develop the next set of theoretical expectations.
When it comes to foreign policy, conservatives and right-leaning parties tend to be seen as more hardline on security and military issues and in fact become even more hawkish in times of conflict (Mattes and Weeks, 2019; Schultz, 2001). Some would go so far as to say hawks “own” security policy. According to Kleingmann, Hofferbert, and Budge (1994), conservatives are typically “pro-military” and tend to push for increased spending for self-defense, while liberals are usually seen as more “anti-military”—or less “pro-military”—and tend to advocate for more peaceful resolution of disagreements and focus more on welfare spending (Whitten and Williams, 2011).
In the research tradition of audience costs, there is an ongoing debate about whether conservatives/hawks or liberals/doves enjoy a domestic advantage when it comes to compromise and reconciliation. Some research suggests that hawks are more likely to be penalized by voters for seeking compromise and rapprochement than doves (Mattes and Weeks, 2019; Schultz, 2001). Other studies suggest that doves, not hawks, enjoy a domestic advantage when it comes to backing down (Chiozza and Choi, 2003; Clare, 2014). Some research has observed that domestic audience costs are contextual (Croco et al., 2021; Guisinger and Saunders, 2017; Levendusky and Horowitz, 2012).
Research that sought to explore the intersection of dehumanization and hawkishness has found dehumanization has an impact on policy preferences independent of ideology and the hawk/dove distinction. For example, several studies observed that Israeli Jews who are more hawkish tend to favor more militant policies against Palestinians and are less willing to compromise with them (Bar-Tal et al., 1994; Shamir and Shamir, 2000). In addition, Maoz and McCauley (2008) find that even after controlling for hawkishness of individuals, threat perceptions and dehumanization influence support for retaliatory aggressive policies. Therefore, we suspect that the use of dehumanizing language to describe an adversary by hawks will be harder to overcome in public sentiment. Given that hawks have a reputation for being hard on enemies and acting as the guardians of national interest, dehumanization of an enemy by them will instigate greater fear and mistrust making it harder for voters to desire cooperation.
In the United States, party identity and liberal-conservative ideology are closely aligned (Bafumi and Shapiro, 2009; Mason, 2015). In the realm of foreign policy, the Republican party is largely dominated by hawkish leaders (Marsh and Lantis, 2018), who are more likely to suggest coercive and unilateral responses to deal with security threats (Beinart, 2008) and are believed to have an advantage in foreign policy and national security. Democrats, on the contrary, are believed to be more dovish on foreign policy matters and, therefore, are more likely to support international cooperation (Holsti, 2004) and multilateral interventions (Beinart, 2008). In fact, Palmer et al. (2004) find that right-leaning parties are more likely to be involved in militarized disputes as their leaders are less vulnerable from being removed from office should they use force. In addition, Martherus et al. (2021: 3) find that “dehumanization appears to be linked to a more authoritarian/fixed worldview, especially among Republican respondents.” Therefore, the alignment between ideology and party identity in the United States implies that dehumanizing language used to describe an adversary by a Republican politician will be harder to overcome in public sentiment. Hence,
Partisanship hypothesis: When a Republican politician uses a dehumanizing image to characterize an adversary, but subsequently abandons the image and supports cooperation with the adversary, individuals will be less likely to support cooperating with that country compared to when a Democratic politician has used a dehumanizing image.

Method, data, and variables

To investigate how the use of dehumanizing enemy images by Republican and Democratic politicians affects the American public’s foreign policy preferences for strategic cooperation, we designed an original survey experiment describing a fictional politician’s—Senator Ramsey—position on strategic cooperation with Iran to defeat the terrorist group Islamic State of Iraq and Syria (ISIS).
We recruited 1000 participants between October and November 2018 through YouGov. All participants received an introductory prompt explaining the threat posed by ISIS using actual statistics. Specifically, we told participants that ISIS has been linked to terrorist attacks in 30 countries other than Iraq and Syria and provided information on the number of people killed in these attacks. We then presented participants with a hypothetical news flash indicating that “last month, both the chairman of the Joint Chiefs of Staff and the director of the CIA indicated that the United States needs to cooperate with Iran in Syria in order to defeat ISIS.” To indicate that cooperating with Iran is a contentious issue, we also informed respondents that “several members of Congress from both parties have objected to cooperating with Iran” over the past several years.
The setup of the experiment provides participates with actual information about ISIS and about the need to collaborate with Iran, while the experimental manipulations present hypothetical information on a senator’s position on Iran. We chose Iran because it is already viewed as an enemy; a state that the United States had no direct contact for decades. Given this history of animosity, we investigated whether language that primes dehumanization vilifying, and stripping the enemy/outgroup of human qualities will lead individuals to become unwilling to cooperate, even if that means defeating a more threatening enemy. To be sure, Americans have been subject to dehumanizing language regarding Iran for a long time. As such, we recognize that our experiment only primes dehumanization bringing vilifying images of Iran to participants’ memory rather than creating it with a single reference.
We also realize that even though providing actual information about ISIS and Iran makes our experiment more realistic, it leads to some loss of experimental control as respondents might have preconceived notions about Iran, ISIS, or terrorism. We try to tackle this concern by controlling for respondents’ feelings about Iran, fear of terrorism, and fear of being a target of terrorism in our empirical analyses. It is worth noting, however, that if fear of ISIS is a factor that could potentially move participants toward supporting cooperation with Iran regardless of enemy images or partisan politics, then it should be harder for us to find support for our hypotheses.
The manipulated factors in our experiment were whether the politician had previously invoked a dehumanizing enemy image to describe Iran (dehumanizing image absent vs present) and their party affiliation (Republican vs Democrat), which correspond to our barrier and partisan hypotheses. After receiving the introductory prompt, participants were randomly assigned to one of four experimental conditions, as shown in Table 1.
Table 1. Experimental conditions.
Condition 1Condition 2Condition 3Condition 4
Dehumanizing Image Absent—Republican SenatorDehumanizing Image Absent—Democratic SenatorDehumanizing Image Present—Republican SenatorDehumanizing Image Present—Democratic Senator
N = 227N = 228N = 226N = 227
To indicate that Senator Ramsey had previously used a dehumanizing image to describe Iran but had since come to support strategic cooperation with Iran to defeat ISIS, we told participants the following:
Previously, [Republican/Democratic] Senator John Ramsey had stated that Iran “is run by a messianic apocalyptic cult determined to take over and destroy the Middle East region, and any agreement with them is akin to an agreement with the devil.” However, after being debriefed last week in a meeting that included the chairman of the Joint Chiefs of Staff, the CIA director, and the president’s national security team, [Republican/Democratic] senator Ramsey now believes that in order to defeat ISIS in Syria, the United States must cooperate with Iran.
This dehumanizing image treatment taps the motivation and culture (decision-making) components of the enemy image we outlined above, and this type of treatment is commonly used by other experimental studies to invoke enemy images (Buhmann, 2016; Herrmann and Fischerkeller, 1995; Herrmann et al., 1999; Martherus et al., 2021). Our treatment suggests that Senator Ramsey sees Iran’s motives to be “evil and unlimited” and believes that its leaders are able to “plot and execute complex sinister plans” (Herrmann and Fischerkeller, 1995). By casting Iran as untrustworthy (messianic apocalyptic cult determined to take over) and unhuman/immoral (Devil), these stereotyped images are designed to elicit behavior/response that is hostile, allowing us to invoke a dehumanized image, and not just a general enemy image.
To indicate that Senator Ramsey had previously objected to cooperating with Iran but had not invoked a dehumanizing image, we told participants the following:
Previously, [Republican/Democratic] senator John Ramsey had stated that the United States should not cooperate with Iran under any circumstances. However, after being debriefed last week in a meeting that included the chairman of the Joint Chiefs of Staff, the CIA director, and the president’s national security team, he now believes that in order to defeat ISIS in Syria, the United States must cooperate with Iran.
As can be seen, in each of the conditions, Senator Ramsey had previously opposed strategic cooperation with Iran; however, he had described Iran as an enemy using inflammatory language that vilifies and dehumanizes Iran in only two of the cases.
Three clarifications about the rationale behind our experimental vignettes are worth noting. First, as we noted above, enemy images have always been part and parcel of politics, and our emphasis is on politicians’ use of an enemy image that dehumanizes the adversary. We do not believe that a politically neutral enemy image condition that disregards the political identity of Senator Ramsey as the cue-giver is sensible for the purposes of this research. Second, it is important to note that in all conditions Senator Ramsey had initially opposed cooperating with Iran. However, only in the dehumanizing image present conditions did he mention the core components of a dehumanizing enemy image and used inflammatory language. In the dehumanizing image absent condition, he firmly opposed cooperation with Iran but did not vilify and demonize Iran. A skeptic might argue that the dehumanizing image treatment also makes it seem that Iran is an unreliable partner. But this is precisely the point of the treatment. When politicians resort to dehumanizing and vilifying the enemy, they lead individuals to feel less empathy to the opponent and believe they are not as competent as members of the ingroup (Fiske, 2009).
Third, we understand that our experimental vignettes do not articulate what cooperation with Iran to defeat ISIS entails specifically. While we acknowledge that there may be instances where politicians are more specific about the nature of cooperation, it is also likely that, given the public’s potential lack of necessary knowledge about military and security cooperation—partly because some of this information is and needs to be classified—politicians might refer to cooperation in broader terms, as we did in our vignettes. In this sense, there is reason to believe that our approach has real-world realism. To be sure, no experimental design could fully capture the complexity of the real world. We are cognizant of this. We do believe, however, that our design has sufficient internal—also called experimental—validity that it allows us to rigorously test our predictions.2
Our dependent variable is support for strategic cooperation. It is measured on an ordinal scale of 1–4, indicating a respondent’s answer to the question, “How strongly do you support or oppose cooperating with Iran to defeat ISIS in Syria?” A response of “strongly support” is coded as “4.” Finally, after the experimental treatments, we measured attitudes toward a series of foreign policy issues, individuals’ fear of terrorism and ISIS, party identification, and demographic characteristics.

Results

Our results provide strong support for our hypotheses. We find that dehumanizing enemy images make it difficult for politicians to reverse course and garner mass support for strategic cooperation with previously dehumanized rival countries when such cooperation is necessary for security reasons. We also observe that dehumanizing images used by Republican politicians are more persistent. In what follows, we offer a detailed discussion of our findings starting with the presentation of the effect of the experimental treatments on respondents’ support for collaborating with Iran. Next, we explore whether respondents’ partisan identification plays a role in their receptivity to the treatments. Finally, we discuss robustness checks.
In simple terms, the observable implication of our barrier hypothesis is that public backing for strategic cooperation with adversary should be lower when a dehumanizing enemy image has been used previously. The distribution of the responses to the question asking whether they would support or oppose cooperation with Iran to defeat ISIS maps onto this expectation. We observe that about 11% of the respondents strongly opposed, about 25% opposed cooperation, while 15% strongly supported and 49% supported cooperation. What is the impact of our experimental treatments on these responses? To what extent did our treatments shape participants’ willingness to support cooperation? To answer this question, we turn to average treatment effects.
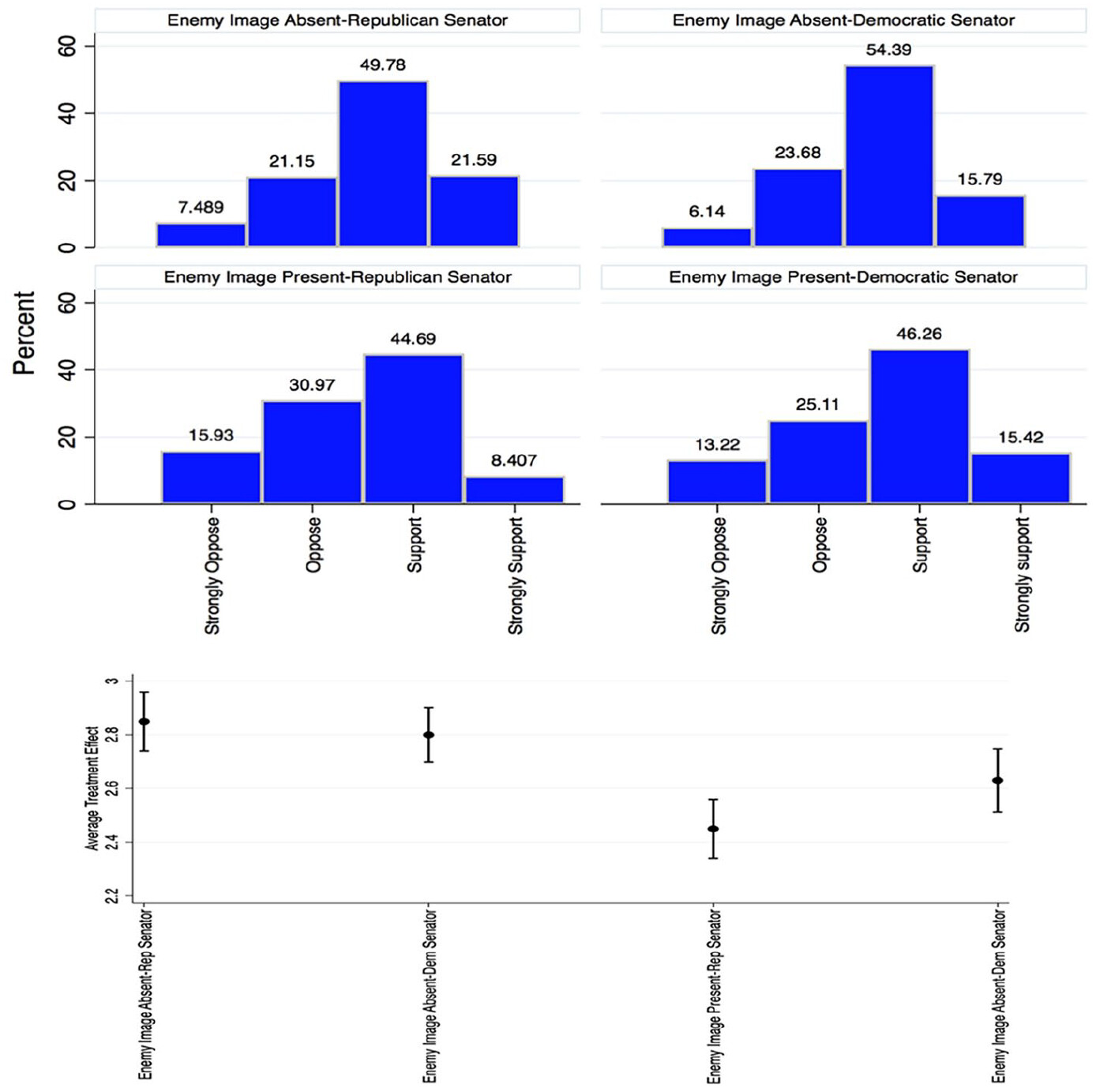
The top part of Figure 1 shows the distribution of support for cooperating with Iran across the experimental conditions in percentages and the bottom part plots the average response for each treatment condition with 95% bootstrapped confidence intervals. As can be seen, there is substantially less support for cooperating with Iran when a dehumanizing enemy image is used relative to when it is not used, thereby supporting our barrier hypothesis. To illustrate, mean willingness to support cooperating with Iran is 2.85 (standard errors 0.05) when a Republican senator has refrained from using a dehumanizing enemy image. It declines to 2.45 (standard errors 0.05) when a Republican senator has invoked one.
Figure 1. The effect of enemy images on support for cooperating with Iran to defeat ISIS.
Note: The top part of the figure captures the distribution of the dependent variable measuring participants’ support for cooperating with Iran across experimental conditions. The bottom part plots the average responses for each treatment condition with 95% bootstrapped confidence intervals. The dependent variable is measured on a 4-point scale where “Strongly oppose” is coded “1” and “Strongly support” is coded “4.”
Next, we estimate a series of ordered logistic regression models to parse out these findings and ascertain the individual and joint effects of our dehumanizing image and partisan identity manipulations3. We start with regressing participants’ support for cooperating with Iran onto the experimental conditions, first using the “dehumanizing image absent-republican senator” condition as the comparison category (Model 1 in Table 2).
Table 2. Enemy images hinder public support for cooperation with Iran to defeat ISIS.
 Model 1Model 1’Model 2Model 3Model 4Model 5
Absent-Republican 0.8816***
(0.178)
    
Present-Republican–0.8816***
(0.181)
 –0.0867***
(0.200)
–1.000***
(0.297)
–0.800***
(0.182)
–0.802***
(0.196)
Present-Democrat–0.4778**
(0.187)
0.4038**
(0.180)
–0.494***
(0.200)
–0.400
(0.312)
–0.554**
(0.193)
–0.529**
(0.210)
Absent-Democrat–0.1617
(0.1737)
0.7198***
(0.166)
–0.178
(0.183)
0.0706
(0.288)
–0.120
(0.180)
–0.195
(0.188)
Republican  –0.0834***
(0.162)
–0.647*
(0.334)
 0.173
(0.203)
Independent  –0.661***
(0.163)
0.654*
(0.355)
 –0.048
(0.172)
Present-Republican X Republican   0.1068
(0.455)
  
Present-Republican X Independent   0.2741
(0.481)
  
Present-Democrat X Republican   –0.770
(0.496)
  
Present-Democrat X Independent   0.200
(0.481)
  
Absent-Democrat X Republican   –0.241
(0.440)
  
Absent-Democrat X Independent   –0.5370
(0.451)
  
Positive feelings toward Iran    0.025***
(0.003)
0.028***
(0.003)
Fear of ISIS    0.065
(0.100)
0.121
(0.105)
Isolationism    –0.464***
(0.083)
–0.512***
(0.091)
Cooperative internationalism    0.678***
(0.111)
0.557***
(0.121)
Militarism    –0.224
(0.800)
–0.233**
(0.090)
Conservative Ideology     –0.086
(0.074)
Education     0.044
(0.046)
White     0.290
(0.180)
Hispanic     0.121
(0.277)
Male     0.145
(0.141)
Age     –0.002
(0.003)
Cutpoint 1–2.546
(0.162)
–1.664
(0.144)
–3.0613
(0.195)
–3.028
(0.232)
–1.178
(0.560)
–2.064
(0.710)
Cutpoint 2–0.973
(0.137)
–0.0918
(0.123)
–1.461
(0.167)
–1.416
(0.212)
0.075
(0.561)
–0.177
(0.714)
Cutpoint 31.368
(0.143)
2.250
(0.144)
1.006
(0.165)
1.063
(0.210)
3.06
(0.568)
2.849
(0.726)
Wald χ229.53***29.53***55.66***65.88***240.50***239.29***
Log likelihood–1096.6106–1096.6106–965.44879–960.30951–969.44126–852.66676
Pseudo R20.01310.01310.02760.03280.12760.1412
N908908817817908817
Note: *** p0.001. **p0.05. *p0.10. Reported values are ordinal logistic regression coefficients with robust standard errors in parentheses. The dependent variable is how strongly individuals support cooperating with Iran to defeat ISIS. It ranges from 1 to 4, where higher values indicate greater support. In Models 1, 3, and 4, “Dehumanizing Image Absent-Republican Senator” is the comparison category. In Model 1’, “Dehumanizing Image Present-Republican Senator” is the comparison category. Democrat, Black, and Female are the comparison categories in relevant models.
Results indicate a clear decline in support for cooperating with Iran when a dehumanizing image has been invoked either by a Republican or a Democratic senator, once again lending support to our barrier hypothesis. To show the substantive impact of exposure to the dehumanizing image, in Figure 2, we present the predicted probabilities for the strongly support and oppose outcomes across experimental conditions. For example, the predicted probability of strongly supporting cooperation with Iran when a Republication Senator has described Iran as an adversary without using the dehumanizing image is 0.20 points. It declines to 0.09 when a Republican Senator has used the dehumanizing image and drops to 0.13 when a Democratic Senator has used that image. Similarly, the predicted probability of strongly opposing cooperation is 0.07 when a Republican Senator had described Iran as a rival without using the dehumanizing image. It rises to 0.16 when a Republican Senator has used the dehumanizing image and to 0.11 when a Democratic Senator has.
Figure 2. Predicted probabilities with 95% CI of supporting/opposing cooperation with Iran to defeat ISIS.
Note: The predicted probabilities are obtained from a model that regressed support for cooperating with Iran onto the experimental conditions with the “dehumanizing image absent-Republican Senator” condition as the comparison category (Model 1 in Table 2). The dependent variable measures participants’ willingness to cooperate with Iran. It is measured on a 4-point scale where “Strongly oppose” is coded “1” and “Strongly support” is coded “4.”
If our partisanship hypothesis is correct, we should observe that it is harder for a Republican politician to marshal public support for cooperating with an adversary after resorting to a dehumanizing image. Therefore, to test our second hypothesis and get a clear picture of the effect of the party identity of the senator, in the top half of Figure 3, we present the differences in predicted probabilities (contrasts) for the strongly support and strongly oppose outcomes. In the top half of Figure 3, we present the contracts using the “dehumanizing image absent-Republican Senator” condition as the comparison category (Model 1 in Table 2), and in the bottom half of the figure, we present the contrasts using the “dehumanizing image present-Republican Senator” condition as the comparison group (Model 1’ in Table 2). As can be seen, when a Republican politician uses a dehumanizing image, opposition to cooperation is greater than when a Democratic politician uses the same dehumanizing image, taking the absent-Republican as the base comparison category. Simply stated, opposition to cooperation is about 9 percentage points higher and support for cooperation is about 10 points lower when a Republican senator uses the dehumanizing image versus when he does not. When the senator is a Democrat, opposition to cooperation is 4 percentage points higher and support is 4 points lower when he uses the dehumanizing image versus when he does not. These indicate that Republican politicians’ use of dehumanizing images is considerably more persistent, supporting the partisanship hypothesis. It is difficult for Republicans to mobilize public support for strategic cooperation with a rival country if they had previously invoked a dehumanizing enemy image to describe this rival.
Figure 3. Change in predicted probabilities with 95% CI for supporting/opposing cooperation with Iran to defeat ISIS across experimental conditions.
Predicted probabilities are obtained from a model that regressed support for cooperating with Iran onto the experimental conditions. The comparison category for the contrasts shown in the top half of the figure is the “dehumanizing image absent-Republican Senator” condition (Model 1 in Table 2). The comparison category for the contrasts shown in the bottom half of the figure is the “dehumanizing image present-Republican Senator” condition (Model 1’ in Table 2). The dependent variable measures participants’ willingness to cooperate with Iran. It is measured on a 4-point scale where “Strongly oppose” is coded “1” and “Strongly support” is coded “4.”
To summarize, results offer support for our barrier and partisanship hypotheses, indicating that dehumanizing images are sticky in the public psyche especially when they have been employed by Republicans. Before concluding, we demonstrate that our results do not change when factors that could potentially affect preferences regarding cooperation with Iran or foreign policy more broadly are taken into account. The following robustness checks4, therefore, show that our findings pertaining to dehumanizing image use and partisanship are stable to the inclusion of additional factors that may impact the opinion of the respondents.
The measurement of the control factors, which took place after the experimental treatments, is discussed in Appendix 1. The first control is individuals’ feelings toward Iran. It is possible that those who feel very negatively toward Iran will not advocate cooperation. It is also conceivable that respondents who are very worried about the threat of ISIS will be more supportive of cooperating with Iran. Therefore, we control for fear of ISIS. Furthermore, we control for the three core foreign policy dispositions that can affect preferences for cooperating with Iran. Following the existing literature (Herrmann et al., 1999; Hurwitz and Peffley, 1990), we expect those who score high on cooperative internationalism to be more supportive of collaborating with Iran. By contrast, we anticipate that those who prefer for the United States to focus on domestic affairs and avoid becoming involved in other countries, namely, isolationism, will be less supportive of cooperation. One could also imagine that the militarism foreign policy disposition can make individuals less likely to abandon enemy images and support cooperation since they are disproportionally inclined toward more militaristic approaches.
Our key findings are robust to the inclusion of the control factors. As Model 4 reveals, individuals who have relatively positive feelings toward Iran and a cooperative internationalist foreign policy disposition are more likely to approve of cooperation with Iran. Those who prefer the US government to be more isolationist and focus on domestic issues are less supportive as are those who favor a more militaristic foreign policy. Fear of ISIS does not have a statistically significant effect on respondents’ willingness to cooperate with Iran to defeat ISIS.
Still, the results indicate that our previous findings in support of the barrier and partisanship hypotheses remain robust. Holding all the covariates at their means or specified values, the predicted probability of strongly opposing cooperation with Iran in the absence of the dehumanizing image for a Republican Senator is 0.05. It rises to 0.10 when a Republican Senator vilified Iran and to 0.08 when a Democratic Senator did so. In the same vein, the predicted probability of strongly supporting cooperation with Iran is about 13 percentage points when a Republican Senator opposed cooperation without the dehumanizing image. It declines to 0.7 when a Republican Senator brought to hear the dehumanizing image and to 0.9 when a Democratic Senator used the dehumanizing image. Replicating the findings from the baseline model, these results again show that enemy images hinder the public’s ability to agree to cooperation and are stronger when invoked by Republicans than by Democrats.
Finally, we add controls for respondents’ ideology, political party identification, education, race, gender, and age (Model 5 in Table 2). Among these covariates, only the militarism variable reaches statistical significance, indicating a negative relationship between readiness to use military force in foreign policy and support for collaborating with Iran. As was the case in the previous models, the results for the barrier and partisanship hypotheses remain robust.
In sum, across a range of model specifications, we find clear support for the barrier and partisanship hypotheses. Dehumanizing images of the enemy are the “enemy” of strategic cooperation with Iran, and when invoked by Republican politicians, such dehumanizing images create greater barriers to cooperation than when they are used by Democrats.

Conclusion

Public opinion plays a role in shaping political decisions, even though it is to merely constrain the options available to decision-makers (Holsti, 2004; Sobel, 2001), especially regarding issues like war and peace. Politicians must persuade both their domestic constituents and international allies that the benefits of military action or preparedness outweigh the costs (Eichenberg, 2016). Our findings underscore the significant policy challenges posed by using dehumanizing imagery in political rhetoric. Specifically, the results highlight that when politicians employ dehumanizing enemy images, they inadvertently create enduring barriers to strategic cooperation with adversary nations, even when such cooperation becomes a security necessity. For policymakers, this insight underscores the need to carefully consider the long-term effects of rhetorical choices, especially in the context of adversarial relationships requiring eventual diplomatic engagement. For example, our results suggest that bipartisan cooperation on foreign policy issues may be hindered when one party’s rhetoric entrenches public opposition. This has critical implications for issues like counterterrorism efforts, where strategic alliances—even with rival nations—may be vital for achieving security goals.
Our results also have implications for conflict resolution frameworks. They suggest that reducing the use of dehumanizing rhetoric can lower psychological barriers to public support for reconciliation and cooperation. This finding is particularly relevant in diplomatic contexts where public opinion plays a critical role in shaping policy outcomes. In fact, during crises, especially wars, the public tends to be highly attentive and will be more attuned to the policies undertaken and their success or failure (Knecht and Weatherford, 2006), especially in democracies (Baum and Potter, 2008; Schultz, 2001).
Our study highlights that dehumanizing images, once established, are difficult to overcome. The psychological effects of dehumanization mean that the public, lacking access to classified information, remains stuck in the mind-set created by these images. This psychological barrier hinders a shift in public sentiment even when strategic or practical considerations warrant it (Fiske, 2009; Keteily et al., 2015; Maoz et al., 2002). Moreover, the impact of dehumanizing rhetoric is more pronounced when used by political figures from specific parties. Our findings show that dehumanizing language employed by Republicans has a particularly sticky effect, which exacerbates barriers to cooperation and complicates efforts to address national security issues. These findings are consistent even when controlling for various factors, such as respondents’ feelings toward Iran, fear of ISIS, and foreign policy dispositions. The findings remain reliable across different model specifications.
Our findings provide significant insights into Americans’ foreign policy preferences for strategic security cooperation in today’s complex security environment, showing that publics do not flip-flop from opposing cooperation with enemies to defeating even bigger enemies adding to the literature on how public opinion may constrain the choices available to policymakers (Holsti, 1992; Page and Shapiro, 1983). They also have implications for domestic politics, where the proliferation of utilizing dehumanizing language has contributed to the current climate of polarization, which in turn prevents members of Congress from being able to reach across the aisle to enact and implement vital policies (Cassese, 2019; Martherus et al., 2021; Windsor and Bowman, 2018).
Our study suggests several avenues for future research. First, it is important to examine strategic cooperation with traditional adversaries on a variety of issues, such as climate change and poverty reduction. It is possible that people might feel more comfortable collaborating with an enemy, including one that has been dehumanized, when national security is not directly at stake. Still, we would expect dehumanizing image use to decrease individuals’ willingness to collaborate. In fact, utilizing dehumanizing language may trigger a relative gains or zero-sum mind-set regardless of the issue area.
In addition, although our data pertain to the American public, we see no theoretical reason why our results should not be generalized to other countries. The barrier hypothesis is firmly grounded in the security and psychology literature and is not tailored toward the American public. We do expect that in countries that have traditional rivalries, such as Turkey and Greece or India and Pakistan, these results will be even more profound.

Funding

The author(s) received no financial support for the research, authorship, and/or publication of this article.

ORCID iD

Footnotes

1 We recognize the scholarly distinction between cooperation and coordination (e.g., Deutsch, 1949; Keohane, 1984; Schelling, 1960). Our definition of cooperation simply reflects the standard dictionary definition of the term. We believe that this straightforward definition is appropriate for studying public preferences for cooperation because members of the mass public likely take the word cooperation at face value and do not differentiate between coordination and cooperation.
2 For a discussion on internal and external validity in experiments, see, for example, McDermott (2011). More generally, see Druckman et al. (2011) on experiments in political science.
3 Since our dependent variable is ordinal, ordered logistic regression is an appropriate estimation.
4 Robustness checks, which assess the stability and reliability of the results, demonstrate that the findings remain unchanged across different analytical approaches. This includes varying model specifications and the inclusion of control variables such as foreign policy dispositions, ideological orientations, and demographic factors. Robustness checks ensure that the observed effects are not artifacts of specific modeling choices, omitted variable bias, or random chance but reflect genuine and reliable patterns in the data.

Data availability statement

Data will be made available on the Harvard Dataverse.

Appendix 1

The Cost of Dehumanization: How Political Rhetoric Shapes Public Resistance to Cooperation with Adversaries
Table 3. Sample characteristics.
 Mean (SD)/proportion
Age50.45 (16.85)
(min 21, max 91)
Gender55.62% female, 44.38% male
Less than high school3%
High school52%
Some college, finished college, or higher43%
IncomeMean $50,000–$59,999 per year
(min less than $10,000, max $5,000,000 or more)
Republican24%
Democrat35.5%
Independent30%
Other party10%
Race-White70%
Race-Black11.6%
Race-Hispanic10%
Race-Other9%

Measurement of control variables

Feelings toward Iran

We used a feeling thermometer asking participants to indicate their feelings toward Iran on a feeling thermometer, with 0 indicating very cold, 50 neither cold nor warm, and 100 very warm.

Fear of ISIS

We asked participants how worried they were about the threat of ISIS and measured responses on a 4-point scale with response options “It never crossed my mind (coded 1),” “I sometimes think about it, but it does not affect my lifestyle (coded 2),” “I think about it a lot, and it inhibits some activities, such as travel and vacationing (coded 3),” and “I am terribly worried about it (coded 4).” Using the same scale, we also measured fear of being a victim of terrorism.

Foreign policy disposition

. We used the established measures to capture foreign policy disposition. To gauge cooperative internationalism, we asked respondents to indicate their agreement or disagreement with the following statement: “When our country acts on a national security issue, it is critical that we do so together with our closest allies and with international institutions, even if this means we cannot do all the things we want to do.” To tap isolationism, we used the following statement: “The U.S. government should focus exclusively on addressing the problems in the United States and refrain from becoming involved in other nations’ affairs.” To capture militarism, we asked participants to indicate how much they agree with the statement “the best way to ensure world peace is through American military strength.” All three items were coded on a 5-point scale anchored by “Strongly disagree (coded 1)” and “Strongly agree (coded 5).”

Ideology

In general, how would you describe your own political viewpoint? Very liberal/liberal/moderate/conservative/very conservative/not sure

Political party identification

Generally speaking, do you think of yourself as a . . .? Democrat/Republican/Independent/Other

Education

. What is the highest level of education you have completed?

Income

Thinking back over the last year, what was your family’s annual income?

Race

What racial or ethnic group best describes you? White/Black/Hispanic/Asian/Other

Gender

Are you male/female/other

Age

In what year were you born?

Carryover hypothesis: Testing whether the barrier created by enemy image use in one policy domain carries over to others

Given the stickiness of enemy images, we argue that they are contagious. That is, they carry over to other policy domains and do not exclusively affect issues of national interest. Studies have shown that enemy images lead people to suspect hostile behavior from their enemy, even when the enemy has not taken any belligerent action, and will in fact exaggerate the level of hostility of any action taken by the enemy compared to similar actions taken by themselves or non-enemies (Oskamp, 1965). As a result, the enemy must be defeated and vanquished, for they will exploit any situation to their advantage. Such perceptions leave no room to cooperate or compromise, even on “low politics” issues. As previously mentioned, enemy images, once formed, become deeply rooted and are resistant to change, even if the adversary signals a change in their intentions (Stein, 1996, 93) and/or willingness to cooperate. Therefore, the psychological barrier created by a politician’s use of enemy images in one foreign policy domain will impede strategic cooperation in another. In other words, the vilification of the opponent enhances zero-sum perceptions of any interaction with the adversary, as they are “evil” and therefore cannot be negotiated with, in spite of any short-term benefits that might accompany cooperation with them (Ghosn, 2010), because they are insincere and untrustworthy and will renege on any agreement they sign (Gladstone, 1959). Accordingly, we expect that:
Carry over hypothesis: A politician’s use of enemy images in one foreign policy domain will impede public support for strategic cooperation in another.
To assess whether the psychological barrier created by the use of enemy images in one domain of foreign policy carries over to another, we asked participants about their views on cooperating with Iran to fight the smuggling of drugs into the United States. We first provided respondents with the following information:
The ‘War on Drugs’ aims to end the smuggling of illegal drugs into the United States. Recent reports reveal that the United States is dealing domestically with the most severe heroin epidemic the country has seen in years, and our war on drugs in Afghanistan has cost the US tax payers more than $8 billion dollars yet did little to help alleviate the drug problem. In order to crack down on the smuggling of drugs into the United States, we need to cooperate with Afghanistan’s neighbor to the west, Iran.
Thus, our dependent variable (carryover) measures support for cooperation with Iran to impose stronger countermeasures to illegal drug trafficking, using an ordinal scale of support or opposition, with response options anchored by “Strongly support (coded 4)” and “Strongly oppose (coded 1).” As noted in the article, the outcome variable was coded on a 4-point scale ranging from “Strongly oppose (coded 1)” to “Strongly support (coded 4).”
Our findings (shown in Table 4 in the appendix) provide qualified support for the carryover hypothesis, suggesting that the use of an enemy image by a politician in one foreign policy domain not only hinders strategic cooperation on that issue but also prevents collaboration on other policy initiatives.
Table 4. Enemy images spill over to willingness to cooperate with Iran to combat drug trafficking.
 Model C1Model C1’Model C2Model C3
Absent-Republican 0.446**
(0.170)
0.372**
(0.172)
0.370**
(0.176)
Present-Republican–0.4463**
(0.170)
   
Present-Democrat–0.120
(0.179)
0.326**
(0.1701)
0.2047
(0.003)
0.212
(0.170)
Absent-Democrat0.267
(0.175)
0.713***
(0.167)
0.6865 ***
(0.102)
0.678***
(0.170)
Positive feelings toward Iran  0.0189 ***
(0.003)
0.0185***
(0.003)
Fear of ISIS  –0.0281
(0.100)
–0.038
(1.00)
Isolationism  –0.4271***
(0.084)
–0.420***
(0.887)
Cooperative internationalism  0.4625***
(0.110)
0.440***
(0.115)
Conservative ideology   –0.033
(0.060)
Republican   0.260
(0.162)
Democrat   0.306*
(0.162)
Education   –0.067
(0.043)
White   –0.0205
(0.172)
Hispanic   –0.280
(0.238)
Male   –0.190
(0.130)
Age   0.001
(0.003)
Cutpoint 1–1.727
(0.145)
–1.853
(0.113)
–0.737
(0.470)
–1.086
(0.646)
Cutpoint 2–0.418
(0.130)
–0.552
(0.100)
0.721
(0.470)
0.386
(0.647)
Cutpoint 31.726
(0.145)
1.586
(0.110)
3.12
(0.78)
2.80
(0.656)
Wald χ218.72***11.72***133.14***151.49***
Log likelihood–1157.5678–1160.5543–1085.771–1079.4936
Pseudo R20.00760.00510.07020.0746
N908908908908
Note: ***p0.001. **p0.05. *p0.10. Reported values are ordinal logistic regression coefficients with robust standard errors in parentheses. The dependent variable is how strongly individuals support cooperating with Iran to combat drug trafficking. It ranges from 1 to 4, where higher values indicate greater support. In Models 1, 2, and 3, “Enemy Image Absent-Republican Senator” is the comparison category. In Model 1’, “Enemy Image Present-Republican Senator” is the comparison category. Independent, Black, and Female are the comparison categories.

References

Aldrich JH, Gelpi C, Feaver P, et al. (2006) Foreign policy and the electoral connection. Annual Review of Political Science 9(1): 477–502.
Andrighetto L, Baldissari C, Lattanzio S, et al. (2014) Humanitarian aid? Two forms of dehumanization and willingness to help after natural disasters. British Journal of Social Psychology 53: 573–584.
Bafumi J, Shapiro R (2009) A new Partisan voter. Journal of Politics 71(1): 1–24.
Bandura A (1999) Moral disengagement in the perpetration of inhumanities. Personality and Social Psychology Review 3(3): 193209.
Bar-Tal D, Raviv A, Freund T (1994) An anatomy of political beliefs: A study of their centrality, confidence, contents, and epistemic authority. Journal of Applied Social Psychology 24(10): 849–872.
Baum M, Groeling T (2009) War Stories: The Causes and Consequences of Public Views of War. Princeton University Press.
Baum M, Potter P (2008) The relationships between mass media, public opinion, and foreign policy: Toward a theoretical synthesis. Annual Review of Political Science 11: 39–65.
Beinart P (2008) When politics no longer stops at the water’s edge: Partisan polarization and foreign policy. In: Nivola P, Brady D (eds) Red and Blue Nation? Consequences and Correction of America’s Polarized Politics. Brookings Institute, pp. 151–184.
Bornstein G (2003) Intergroup conflict: Individual, group, and collective interests. Personality and Social Psychology Review 7(2): 129–145.
Bronfenbrenner U (1961) The mirror image in soviet-American relations: A social psychologist’s report. Journal of Social Issues 17(3): 45–56.
Buhmann A (2016) The constitution and effects of country images: Theory and measurement of a central target construct in international public relations and public diplomacy. Studies in Communication Sciences 16(2): 182–198.
Cassese E (2019) Partisan dehumanization in American politics. Political Behavior 43: 29–50.
Chiozza G, Choi A (2003) Guess who did what: Political leaders and the management of territorial disputes, 1950-1990. The Journal of Conflict Resolution 47(3): 251–278.
Clare J (2014) Hawks, doves, and international cooperation. The Journal of Conflict Resolution 58(7): 1311–1337.
Croco S, Hanmer M, McDonald J (2021) At what cost? Reexamining audience costs in realistic settings. The Journal of Politics 83(1): 8–22.
De Dreu C, van Knippenberg D (2005) The possessive self as a barrier to conflict resolution: Effects of mere ownership, process accountability, and self-concept clarity on competitive cognitions and behavior. Journal of Personality and Social Psychology 89(3): 345–357.
De Dreu C, Beersma B, Steinel W, et al. (2007) The psychology of negotiation: Principles and basic processes. In: Kruglanski A, Higgins T (eds) Social Psychology: Handbook of Basic Principles: The Guilford Press, pp. 608–629.
De Dreu C, Yzerbyt V, Leyens JP (1995) Dilution of stereotype-based cooperation in mixed-motive interdependence. Journal of Experimental Social Psychology 31(6): 575–593.
Dellmuth LM, Tallberg J (2015) The social legitimacy of international organizations: Interest representation, institutional performance, and confidence extrapolation in the United Nations. Review of International Studies 41(3): 451–475.
Deutsch M (1949) A theory of co-operation and competition. Human Relations 2(2): 129–152.
Druckman JN, Greene DP, Kuklinski JH (eds) (2011) Cambridge Handbook of Experimental Political Science. Cambridge University Press.
Eckhardt W (1989) Making and Breaking Enemy Images. Peace Research 21(4): 11–88.
Eichenberg R (2016) Public Opinion on Foreign Policy Issues. In: Oxford Research Encyclopedia of Politics. Available at: https://oxfordindex.oup.com/view/10.1093/acrefore/9780190228637.013.78
Eicher V, Pratto F, Wilhelm P (2013) Value differentiation between enemies and allies: Value projection in national images. Political Psychology 34(1): 127–144.
Entman R, Herbst S (2001) Reframing public opinion as we have known it. In: Bennet L, Entman R (eds) Mediated Politics: Communication in the Future of Democracy. Cambridge University Press, pp. 203–225.
Festinger L (1957) A Theory of Cognitive Dissonance. Stanford University Press.
Finlay DJ, Holsti OR, Fagen RR (1967) Enemies in Politics. Rand McNally.
Fiske ST (2009) From: dehumanization and objectification, to rehumanization Neuroimaging studies on the building blocks of empathy. Annals of the New York Academy Science 1167: 31–34.
Frank J (1968) Face of enemy. Psychology Today 2(6): 24–29.
Freedman L (2005) The Official History of the Falklands Campaign, Volume I: the Origins of the Falklands War. Routledge.
Gladstone A (1959) The conception of the enemy. Journal of Conflict Resolution 3: 132–137.
Guisinger A, Saunders E (2017) Mapping the boundaries of elite cues: How elites shape mass opinion across international issues. International Studies Quarterly 61(2): 425–441.
Harinck F, De Dreu C, van Vianen A (2000) The impact of conflict issues on fixed-pie perceptions, problem solving, and integrative outcomes in negotiation. Organizational Behavior and Human Decision Processes 81(2): 329–358.
Harris LT, Fiske ST (2006) Dehumanizing the lowest of the low. Psychological Science 17(10): 847–853.
Harris LT, Fiske ST (2011) Dehumanized perception: A psychological means to facilitate atrocities, torture, and genocide? Journal of Psychology 219(3): 175–181.
Haslam N (2006) Dehumanization: An integrative review. Personality and Social Psychology Review 10(3): 252–264.
Haslam N, Loughnan S (2014) Dehumanization and infrahumanization. Annual Review Psychology 65: 399–423.
Haslam N, Stratemeyer M (2016) Recent research on dehumanization. Current Opinion in Psychology 11: 25–29.
Heinrich T, Kobayashi Y, Bryant KA (2016) Public opinion and foreign aid cuts in economic crises. World Development 77: 66–79.
Herrmann R, Fischerkeller M (1995) Beyond the enemy image and spiral model: Cognitive–strategic research after the cold war. International Organization 49(3): 415–450.
Herrmann R, Shannon V (2001) Defending international norms: The role of obligation, material interest, and perception in decision making. International Organization 55(3): 621–654.
Herrmann R, Tetlock P, Visser P (1999) Mass public decisions on go to war: A cognitive-interactionist framework. American Political Science Review 93(3): 553–573.
Herrmann R, Voss J, Schooler T, et al. (1997) Images in international relations: An experimental test of cognitive schemata. International Studies Quarterly 41(3): 403–433.
Holsti OR (1967) Cognitive dynamics and images of the enemy. Journal of International Affairs 21(1): 16–39.
Holsti OR (1992) Public opinion and foreign policy: Challenges to the Almond-Lippmann consensus mershon. International Studies Quarterly 36(4): 439–466.
Holsti OR (2004) Public Opinion and American Foreign Policy. University of Michigan Press.
Hurwitz J, Peffley M (1990) Public images of the Soviet Union: The impact on foreign policy attitudes. The Journal of Politics 52(1): 3–28.
Isaev O (2017) Antigypsyism in Bulgarian election campaigns: A case study. Central Council of German Sinti and Roma. Available at: https://zentralrat.sintiundroma.de/wp-content/uploads/2017/11/central-council-of-german-sinti-and-roma-2017-election-campaigns-7-isaev.pdf
Ito T, Larsen J, Smith K, et al. (1998) Negative information weighs more heavily on the brain: The negativity bias in evaluative categorizations. Journal of Personality and Social Psychology 75(4): 887–900.
Jansson F, Eriksson K (2015) Cooperation and shared beliefs about trust in the assurance game. PLoS ONE 10(12): 1–13.
Jervis R (1976) Perception and Misperception in International Politics. Princeton University Press.
Jervis R (1989) The Logic of Images in International Relations. Columbia University Press.
Kelman H (1973) Violence without moral restraint: Reflections on the dehumanization of victims and victimizers. Journal of Social Issues 29(4): 25–61.
Kelman H (2008) Conflict images, national narratives, and external realities. American Psychologist 63(4): 280–282.
Keohane RO (1984) After Hegemony: Cooperation and Discord in the World Political Economy. Princeton University Press.
Kertzer JD (2013) Making sense of isolationism: Foreign policy mood as a multilevel phenomenon. Journal of Politics 75(1): 225–240.
Kertzer JD (2023) Public opinion about foreign policy. In: Huddy L, Sears D, Levy J, et al. (eds) Oxford Handbook of Political Psychology (3rd edn). Oxford University Press, pp. 447–485.
Kertzer JD, Zeitzoff T (2017) A bottom-up theory of public opinion about foreign policy. American Journal of Political Science 61(3): 543–558.
Kertzer JD, Powers KE, Rathbun BC, et al. (2014) Moral support: How moral values shape foreign policy attitudes. The Journal of Politics 76(3): 825–840.
Kleingmann HD, Hofferbert R, Budge I (1994) Parties, Policies, and Democracy. Westview.
Knecht T, Weatherford MS (2006) Public opinion and foreign policy: The stages of presidential decision making. International Studies Quarterly 50(3): 705–727.
Kteily N, Bruneau E (2017) Backlash: The politics and real-world consequences of minority group dehumanization. Personality and Social Psychology Bulletin 43(1): 87–104.
Kteily N, Bruneau E, Wyatz A, et al. (2015) The ascent of man: Theoretical and empirical evidence for blatant dehumanization. Journal of Personality and Social Psychology 109(5): 901–931.
Kupchan C (2010) Enemies into friends: How the United States can court its adversaries. Foreign Affairs: 120–134.
Leader Maynard J, Luft A (2023) Humanizing dehumanization research. Current Research in Ecological and Social Psychology 4: 1–7.
Leidner B, Castano E, Ginges J (2012) Dehumanization, retributive and restorative justice, and aggressive versus diplomatic intergroup conflict resolution strategies. Personality and Social Psychology Bulletin 39(2): 181–192.
Levendusky M, Horowitz M (2012) When backing down is the right decision: Partisanship, new information, and audience costs. The Journal of Politics 74(2): 323–338.
Lippmann W (1922) Public Opinion. Harcourt, Brace and Company.
McDermott R (2011) Internal and external validity. In: Druckman JN, Greene DP, Kuklinski JH, et al. (eds) Cambridge Handbook of Experimental Political Science. Cambridge University Press, pp. 27–40.
Maoz I, McCauley C (2008) Threat dehumanization, and support for retaliatory aggressive policies in asymmetric conflict. Journal of Conflict Resolution 52(1): 93–116.
Maoz I, Steinberg S, Bar-On D, et al. (2002) The dialogue between the “Self” and the ‘Other’: A process analysis of Palestinian-Jewish encounters in Israel. Human Relations 55(8): 931–962.
Marsh K, Lantis J (2018) Are all foreign policy innovators created equal? The new generation of congressional foreign policy entrepreneurship. Foreign Policy Analysis 14(2): 212–234.
Martherus J, Martinez A, Piff P, et al. (2021) Party animals? Extreme Partisan polarization and dehumanization. Political Behavior 43(2): 1–24.
Mason L (2015) I Disrespectfully agree: The differential effects of Partisan sorting on social and issue polarization. American Journal of Political Science 59(1): 128–145.
Mattes M, Weeks J (2019) Hawks, doves, and peace: An experimental approach. American Journal of Political Science 63 (1): 53–66.
Moeller S (1996) Pictures of the enemy: Fifty years of images of Japan in the American Press, 1941–1992. The Journal of American Culture 19(1): 29–42.
Murray SK, Cowden J (1999) The role of “Enemy images” and ideology in elite belief systems. International Studies Quarterly 43(3): 455–481.
Neumann P (2007) Negotiating with terrorists. Foreign Affairs 86(1): 128–138.
Oppenheimer L (2006) The development of enemy images: A theoretical contribution. Peace and Conflict 12(3): 269–292.
Page BI, Shapiro RY (1983) Effects of public opinion on policy. American Political Science Review 77(1): 175–190.
Palmer G, London G, Regan P (2004) What’s stopping you? The sources of political constraints on international conflict behavior in parliamentary democracies. International Interactions 30(1): 1–24.
Petersson B (2006) Stories about Strangers: Swedish Media Constructions of Socio-cultural Risk. University Press of America.
Pruitt D, Rubin J (1986) Social Conflict: Escalation, Stalemate, and Settlement. Random House.
Rathbun B (2012) From vicious to virtuous circle: Moralistic trust, diffuse reciprocity, and the American security commitment to Europe. European Journal of International Relations 18(2): 323–344.
Rathbun B, Kertzer JD, Reifler J, et al. (2016) Taking foreign policy personally: Personal values and foreign policy attitudes. International Studies Quarterly 60(1): 124–137.
Rieber R, Kelly R (1991) Substance and shadow. In: van Houten F (ed.) The Psychology of War and Peace: The Image of the Enemy. Springer, pp. 3–39.
Schelling TC (1960) The Strategy of Conflict. Harvard University Press.
Schultz K (2001) Democracy and Coercive Diplomacy. Cambridge University Press.
Shamir J, Shamir M (2000) The Anatomy of Public Opinion. University of Michigan Press.
Silverstein B (1992) The psychology of enemy images. In: Staub S, Green P (eds) Psychology and social responsibility: Facing global challenges. New York University Press, pp. 145–162.
Sobel R (2001) The Impact of Public Opinion on U.S. Foreign Policy since Vietnam: Constraining the Colossus. Oxford University Press.
Staub E, Bar-Tal D (2003) Genocide, mass killing, and intractable conflict: Roots, evolution, prevention, and reconciliation. In: Sears D, Huddy L, Jervis L (eds) Oxford Handbook of Political Psychology. Oxford University Press, pp. 710–751.
Stein JG (1996) Image, identity, and conflict resolution. Managing Global Chaos 12: 93–111.
Stein JG (2013) Threat perception in international relations. In: Sears D, Huddy L, Jervis L (eds) Oxford Handbook of Political Psychology. New York: Oxford University Press, pp. 364–394.
Stillinger C, Epelbaum M, Keltner D, et al. (1990) The Reactive Devaluation Barrier to Conflict Resolution. Unpublished manuscript. Stanford University, Stanford, CA.
Tomz MR, Weeks JLP (2020) Human rights and public support for war. Journal of Politics 82(1): 182–194.
Tsoi L, Dungan J, Waytz A, et al. (2016) Distinct neural patterns of social cognition for cooperation versus competition. Neuroimage 137: 86–96.
Volkan V (1985) The need to have enemies and allies: A developmental approach. Political Psychology: 219–247.
Waytz A, Young L, Ginges J (2014) Motive attribution asymmetry for love vs. hate drives intractable conflict. Proceedings of the National Academy of Sciences 111(44): 15687–15692.
White R (1977) Misperception in the Arab-Israeli conflict. Journal of Social Issues 33(1): 190–221.
Whitten G, Williams L (2011) Buttery guns and welfare hawks: the politics of defense spending in advanced industrial democracies. American Journal of Political Science 55(1): 117–134.
Wilde VK, Martin K, Goff PA (2014) Dehumanization as a distinct form of prejudice. TPM 21(3): 301–307.

References

Ghosn F (2010) Getting to the Table and Getting to Yes: An Analysis of International Negotiations. International Studies Quarterly 54 (4): 1055–1072.
Gladstone A (1959) The Conception of the Enemy. Journal of Conflict Resolution 3: 132–137.
Oskamp S (1965) Attitudes toward US and Russian actions: A double standard. Psychological Reports 16(1): 43–46.
Stein JG (1996) Image, identity, and conflict resolution. Managing Global Chaos 12: 93–111.

Biographies

Faten Ghosn is a Professor and Head of the Department of Government at the University of Essex. Her research focuses on conflict management, negotiation, mediation, forced migration and transitional justice with a particular emphasis on the Middle East. She has published extensively in leading journals, including American Political Science Review, British Journal of Political Science, International Negotiation, International Studies Quarterly, Journal of Peace Research, PNAS and Political Studies.
A. Burcu Bayram is an Associate Professor of Political Science of Political Science at the University of Arkansas. Her research focuses on international cooperation, political psychology, foreign policy analysis, and the role of emotions and identity in global governance. Her publications have appeared in numerous journals including Journal of Politics, Political Research Quarterly, International Organization, International Studies Quarterly, Review of International Organizations, European Journal of International Relations and Foreign Policy Analysis.