Skip to main content
Intended for healthcare professionals
Open access
Research article
First published online December 2, 2024

The Double-Edged Sword: Political Engagement on Social Media and Its Impact on Democracy Support in Authoritarian Regimes

Abstract

Utilizing data from the Arab Barometer surveys, this study distinguishes between social media and the internet’s general use and their usage for political purposes, examining whether political engagement—obtaining political information and expressing political opinions—on these platforms bolsters or undermines democracy in authoritarian contexts. Initially, political engagement on social media and the internet was positively linked with support for democracy. However, this has recently turned negative, probably reflecting the rise of digital authoritarianism (authoritarian regimes’ use of digital technology to surveil, repress, and manipulate both domestic and foreign populations). This paper argues that there are two potential mechanisms for this: self-censorship and social learning. Self-censorship suggests that individuals critical of the regime may refrain from expressing their political views on social media. Social learning involves acquiring information and forming beliefs through observation and interaction on these platforms. Both phenomena are influenced by digital authoritarianism in two primary ways: First, surveillance and repression by authoritarian regimes suppress political discussion, fostering conformity. Second, tactics like misinformation campaigns, use of chatbots, and artificial intelligence allow authoritarians to flood social media with propaganda, facilitating social learning of authoritarian values. This dynamic is particularly pronounced among those who already trust and support their government.

Introduction

Studies show that the relationship between social media and internet use and support for democracy is complex, contingent on factors such as the existence of a democratic environment and the specific ways (casual vs. political purposes) individuals interact with these platforms. While social media can act as a catalyst for civic participation in democracies, in authoritarian settings, these platforms may become inundated with content favoring the ruling regime, thus contributing to an oppressive atmosphere. The degree to which social media shapes individual support for democracy also depends on how individuals use these platforms. Simply using social media primarily for leisure or routine activities may not significantly shape political beliefs (Cho et al. 2009).
Utilizing data from the Arab Barometer surveys (waves 1–5 and 7)1 spanning a period between 2006 and 2022, this paper examines the dynamics of political engagement on social media in authoritarian states and its association with support for democratic governance. Our results indicate that while political engagement on social media and the internet was positively correlated with support for democracy in earlier years, this association has shifted to a negative correlation in recent years due to increasing authoritarian practices in cyberspace.
We first highlight the significance of social media and the internet in exposing individuals to alternative perspectives, which can lead to support for democracy. We then discuss two potential mechanisms for the negative correlation between political engagement on social media and support for democracy: self-censorship and social learning. Self-censorship is characterized by the reluctance of individuals with anti-regime views to participate in political conversations online for fear of punitive measures. Social learning encompasses the widespread dissemination and adoption of attitudes through exposure and interaction on social media platforms.
Both phenomena can be traced back to the authoritarian manipulation of social media, occurring in two primary forms. First, through surveillance and oppression, authoritarian governments discourage open political expression and free media for their autocratic survival (Jang 2022), thereby cultivating a virtual environment dominated by pro-regime discourse. Self-censorship, the tendency of individuals who hold critical views of the government to refrain from sharing their political opinions on social media, is often due to fears of reprisals or being watched by government surveillance systems. As a result, the political opinions expressed online may disproportionately reflect those who already hold pro-government sentiments and oppose democracy. Second, authoritarian regimes employ various strategies such as misinformation campaigns, bots, and artificial intelligence to saturate social media with state-sponsored propaganda. This deluge of content facilitates the social learning of authoritarian values and narratives. Given that these narratives predominantly originate from government sources, individuals who already exhibit a certain level of support and trust towards their government are more likely to be influenced by this type of social learning.
It is important to note that access to social media alone does not necessarily result in the absorption of pro-government narratives or the shaping of specific political attitudes (Sunstein 2007). For most individuals, political matters are of secondary concern compared to everyday life (Downs 1957). Therefore, those who use social media frequently for casual or entertainment purposes may not develop strong political views based on their online interactions alone. It is the deliberate use of social media for political engagement that is more likely to influence one’s political stance. Given that politics is often seen as remote by the average person, there is generally a lack of motivation to challenge dominant ideologies or propagate dissenting views. Thus, it is expected that social media users who actively seek out political content are more likely to be receptive to the pervasive narratives promoted by authoritarian governments.
Overall, our results suggest that digital authoritarianism, defined as “the use of digital information technology by authoritarian regimes to surveil, repress, and manipulate domestic and foreign populations” (Polyakova and Meserole 2019), has been on the rise (Woodhams 2019) in the Middle East. The results specifically underscore a sophisticated form of authoritarian entrenchment and adaptation. This adaptation signifies a shift in the way authoritarianism manifests in the digital age, potentially altering the landscape of political engagement and the future of democracy.
This study makes three key contributions to the literature on understanding the influence of public engagement on social media in authoritarian contexts. First, it distinguishes between general internet use and political engagement on social media, showing how this engagement has shifted over time—from initially supporting democracy to now potentially undermining it due to the rise of digital authoritarianism. Second, it uncovers two mechanisms, self-censorship and social learning, that can explain how authoritarian control influences political behavior online, with repression and surveillance suppressing open political discourse. Third, the study concludes with important policy implications by highlighting the need for civil society and pro-democracy groups to counter digital authoritarianism through policies that combat the use of state-controlled propaganda and surveillance tools in online spaces.
The rest of the paper proceeds with a concise literature review, followed by explanations for the positive and negative associations between political engagement on social media and support for democracy. The third section elucidates the data and methodologies employed in this study. The fourth section presents the data and our findings. The study concludes with a discussion on the rising phenomenon of digital authoritarianism in the Middle East.

Social Media: A Double-Edged Sword for Democracy

Social media platforms were initially perceived as catalysts for fostering democratic engagement within authoritarian contexts (Castells 2012, 81). However, the potential of social media to erode authoritarian regimes has been met with skepticism. While some researchers have shown that “although Internet use helps to explain protest participation, organizational networks remain crucial for mobilizing protesters” (Anderson 2021), others have pointed out the capacity of authoritarian leaders to exploit digital space for disseminating propaganda, misinformation, surveilling dissidents, and intelligence gathering (Aday et al. 2010). This pessimistic view suggests that new media might not significantly undermine authoritarian control, as such regimes develop sophisticated strategies to suppress dissent online (Lynch 2011; Morozov 2011). Singer and Brooking (2018, 86) observed that while internet-facilitated democratic movements once seemed to mark a peak of resistance, they were soon met with an authoritarian backlash that co-opted social media for oppression, censorship, and even violence.
When studying the relationship between social media and support for democracy, it is critical to recognize that the influence of social media on democratic processes is complex and not uniformly direct. It is shaped by a multitude of factors, including the political landscape and the nature of social media engagement. Engaging with social media primarily for leisure or routine activities may not significantly alter political beliefs (Cho et al. 2009). Therefore, to grasp nuances of this relationship, it is vital to distinguish between different uses of social media in different political environments. In this study, our examination centers on the potential link between online political engagement and support for democracy in authoritarian settings. The following subsection intends to explore it.

Political Engagement on Social Media in Authoritarian Settings

Does the use of social media and the internet for political engagement influence support for democracy? Are individuals who access political information and express their opinions on these platforms more likely to support or oppose democratic governance? In this subsection, we first present reasons why political engagement through social media might positively correlate with support for democracy. Subsequently, we unpack two potential explanations for why such engagement could conversely be linked to opposition to democratic systems in authoritarian regimes.

Social Media and Internet as Bolstering Democracy

Political engagement through social media and the internet can significantly support the push for democracy in authoritarian regimes in several ways. Access to alternative sources of information is a key mechanism in this process. Social media and the internet serve as vital platforms for accessing political information and news that is not controlled by state media (Gainous et al. 2018). This exposure to diverse perspectives, including dissent flow of information (Gainous et al. 2015), democratic ideals and practices, challenges the prevailing narrative of the authoritarian regime and fosters support for democratic governance.
Social media also plays a crucial role in organizing and mobilizing individuals for political causes. Through coordinated efforts and collective action, these platforms can help challenge authoritarian practices and advocate for democratic reforms (Badreya 2016, 65). They are also instrumental in building social capital by connecting like-minded individuals and groups, thereby supporting democratic activism and fostering a sense of solidarity. Additionally, social media enhances connections with transnational pro-democracy movements and organizations (Bossetta et al. 2017).
Engagement with political content online also boosts individuals’ political awareness. Social media platforms facilitate the rapid dissemination of information, including details of government abuses, corruption, and fraud. By becoming more informed, organized, and connected, individuals under authoritarian rule are better positioned to contribute to the growing support for democratic governance and undermine authoritarianism (Reuter and Szakonyi 2015).
Hypothesis 1
On average, the use of social media for political information and expression in authoritarian settings is associated with support for democracy.

Social Media and Internet as Undermining Democracy

Self-Censorship

Self-censorship arises in the context of social behavior in response to external pressures such as surveillance and the potential for repression. We define it as a situation where individuals voluntarily suppress or withhold their opinions and thoughts in absence of formal obstacles to avoid negative consequences (Bar-Tal 2017, 37). At its core, self-censorship refers to the process by which individuals choose whether or not to participate in an activity based on their perceptions of risk. This decision-making process is influenced by an individual’s assessment of the potential benefits and dangers of participation. In authoritarian regimes where fear of repression is present, self-censorship is a behavioral response to perceived surveillance and the potential for repression (Sleeper et al. 2013).
In the context of political engagement on social media, the self-censorship mechanism begins with the state’s use of surveillance, an authoritarian tactic employed to monitor and control the population. Previous research shows that governments provide Internet access to monitor digital communications to gather intelligence which allows them to conduct more precise and targeted forms of repression (Gohdes 2020). These pervasive surveillance practices are not simply about gathering information but also about exerting power and instilling authoritarian control (Deibert 2019).
Second, surveillance triggers fear of repression (Hager and Krakowski 2022, 565). The awareness of relentless surveillance instills a pervasive sense of caution within authoritarian countries. Knowing that one’s online activities are subject to scrutiny, the average person grows increasingly concerned about the potential for repression. The consequences can be severe, from legal punishments to physical violence. In some instances, the penalties include imprisonment or even torture, sending a clear message to others about the dangers of online dissent (Feldstein 2019).
Third, fear of repression leads to a behavioral response: self-censorship. Previous research has established that “surveillance prevents resistance by providing regimes with high-quality intelligence on dissident networks and by instilling fear in citizens” (Hager and Krakowski 2022, 563). Similarly, individuals who hold critical views of the government may choose to silence themselves on online platforms under fear of repression. Consequently, they may avoid participating in online political forums, steer clear of political discussions, and eschew any public criticism of the state.
The cumulative effect of this self-censorship is a skewed online landscape. As a result, the voices that dominate social media are often those who support the government. These individuals freely engage in pro-government rhetoric. By contrast, those who might challenge or question the government’s actions self-select themselves out of online political engagement. Thus, those who support the government and engage in pro-government rhetoric on social media become the major group of people who politically engage on these platforms.

Social Learning

In addition to repressive measures, autocratic leaders have developed subtler means of digital interference as these measures alone are insufficient for authoritarian regimes to dominate social media platforms. These range from comprehensive manipulation of internet infrastructure to more targeted interventions like slowing internet speeds, selectively removing content, and manipulating algorithms to hide or de-emphasize certain information, thereby shaping public perception without resorting to overt repression (Kendall-Taylor et al. 2020; Tufekci 2018). This authoritarian takeover of social media platforms transforms these spaces into new avenues for social learning.
Social learning refers to the transmission and adoption of information and attitudes through observation and interaction on social media. Authoritarian regimes use automated accounts and trolls to disseminate propaganda and misinformation. By dominating social media narratives, authoritarian governments ensure that users are more frequently exposed to anti-democratic content. Authoritarian regimes often extend their control over social media through various means, such as flooding platforms with government-approved messages.
Social media flooding has been an effective strategy for authoritarian regimes to manipulate and control political information on social media platforms. By leveraging this strategy, they have exploited the platforms’ open nature by inundating them with pro-government content to suppress dissenting voices (S. Feldstein 2021; Steven Feldstein 2021). Authoritarian regimes often deploy tactics such as hiring paid social media troll groups, orchestrating bot-led campaigns, and strategically timing messages, thereby sowing confusion among the populace and promoting authoritarian narratives (Baron and Ish-Shalom 2024; King et al. 2017; Tucker et al. 2017).
Research has shown that “informational autocrats” inflate their popularity by projecting an image of competency through propagandistic tactics while silencing informed dissenters through strategic co-optation, outright censorship or information control (Guriev and Treisman 2019; Han and Shao 2022). The co-optation of these elites by authoritarian regimes effectively prevents political awareness about anti-democratic practices, perpetuating pro-regime narratives.
But how do ordinary people learn anti-democratic values and norms through social media channels dominated by authoritarian narratives? This question aligns with extensive research on how people become politically informed via various media channels (De Vreese and Boomgaarden 2006). Social learning theories hinge on the premise that the political climate heavily influences the norms and values that citizens internalize. Therefore, in authoritarian societies, there are concerted efforts to instill authoritarian values, with regimes employing various strategies to maintain support for their rule and deter the emergence of democratic sympathies (Cho et al. 2009).
In authoritarian environments, social media heavily laden with state-sponsored narratives serves as a key setting for social learning (Cho et al. 2009). Individuals with access to social media are often quicker to internalize socially dominant norms and values compared to those without such access (Bimber 2003; Norris 2002). Over time, continual exposure to anti-democratic narratives can lead to the normalization of these views and potentially to their acceptance by some users.
Simply having access to social media doesn’t automatically lead to social learning of pro-government narratives and the formation of specific political attitudes (Sunstein 2007). Individuals engaging with social media primarily for casual communication or leisure are unlikely to form distinct political inclinations solely from this interaction. Thus, active engagement with social media for political purposes is more likely to shape political preferences. The fact that politics is often perceived as distant also implies that most people are disinclined to contest prevailing ideologies or spread dissenting opinions (Downs 1957). Consequently, we should anticipate that those who use social media with the specific intent of gathering political information and expressing political opinions are more likely to receive and accept the dominant pro-regime rhetoric disseminated by authoritarian regimes.
Hypothesis 2
On average, the use of social media for political information and expression in authoritarian settings is associated with opposition to democracy.
Since the sources of social media flooding come from government sources with full pro-government narratives, we expect that this social learning will be stronger for those who support and trust the government. Because of these pro-government sources, it stands to reason that individuals who exhibit a favorable stance towards the government may be more susceptible to accepting and internalizing these narratives and propaganda. The tailored flow of information on social media, often dictated by authoritarian adaptation and takeover of digital spaces, can reinforce biases and viewpoints for pro-government individuals, solidifying opposition to democracy.
Individuals who demonstrate support for and trust in their government are expected to resonate more with and endorse the narratives and propaganda presented to them on social media platforms, leading them to oppose democracy. This affinity towards government-aligned messaging can also be attributed to a confirmation bias, where users gravitate towards information that aligns with their pre-existing beliefs, further entrenching those views. Consequently, the role of social media in political socialization is not just a passive transmission of information but an active process of narrative adoption and reinforcement among those predisposed to government narratives.
Hypothesis 3
In authoritarian settings, political engagement on social media is more likely to lead to the rejection of democracy for those who support government.

Data and Methods

Data

Our research examines the impact of using social media for political engagement on attitudes toward democratic governance, utilizing data from six surveys—the Arab Barometers 1 through 5 and 7. These surveys are representative and encompass socioeconomic issues across Middle East from 2006 to 2022. We have excluded Arab Barometer 6 from our analysis because it does not include the questions we use for this paper’s analysis, and Arab Barometer 8 is currently ongoing and not yet available to the public.

Dependent Variables

To measure support for democracy, we rely on three survey questions that assess respondents’ views on democracy’s impact on the economy, its decisiveness and problem-solving capability, and its effectiveness in maintaining order and stability. We aggregate these responses into a composite index by calculating their average, creating a metric that reflects individual evaluations of democratic governance. While these questions focus on specific functional aspects of democracy and may overlook broader democratic values such as political freedom or human rights, they provide a more concrete assessment. This is important because public opinion surveys often risk capturing superficial or abstract support for democracy, where respondents “pay lip service to democracy” rather than expressing genuine, deeply rooted democratic values (Inglehart 2003, 51). Moreover, responses can be influenced by social desirability or the “interviewer effect” (Schedler and Sarsfield 2007, 638–639), making it difficult to assess true democratic support. By using these three questions, we aim to mitigate these potential challenges by focusing on key functional aspects—economic performance, decisiveness in problem-solving, and maintaining order—which directly influence how individuals perceive the effectiveness of democratic governance. This outcome-oriented approach allows us to capture a more grounded and practical evaluation of democracy, avoiding the limitations of abstract measures.
Subsequently, we subject this index to a principal component analysis (PCA) to evaluate its validity. We rely on the first principal component (PC1) as a diagnostic test of our index variables because it captures the largest amount of variance in the data, explaining approximately 70 percent of the total variance in all AB surveys. This high proportion of variance suggests that PC1 effectively summarizes the underlying structure of the data, indicating that the three variables are highly related and contribute to a common factor. All loadings for these variables are similar in magnitude, reinforcing the idea that they contribute consistently to PC1. Since PC1 accounts for much variance, it provides a strong justification for using it as a diagnostic tool to combine the variables into an index. All results from the PCA are given in Table 1 of Appendix A.2 Figure 1 displays support for democracy across different countries, utilizing data from AB 1–5 and 7.
Table 1. Positive Role of Political Engagement on Social Media in Support for Democracy.
 Support for Democracy
(1)(2)(3)(4)(5)(6)(7)(8)(9)(10)
Internet pol info0.069***−0.005    0.124***0.070**  
(0.019)(0.026)    (0.024)(0.036)  
Unemployed 0.006 0.004 0.016 −0.048 −0.041
 (0.028) (0.028) (0.019) (0.034) (0.034)
Interest in politics 0.027** 0.017 0.032*** −0.018 −0.007
 (0.014) (0.014) (0.009) (0.019) (0.018)
Age −0.001 −0.001 0.001* 0.002 0.003
 (0.001) (0.001) (0.001) (0.002) (0.002)
Education 0.038*** 0.036*** 0.011* 0.041*** 0.042***
 (0.009) (0.009) (0.006) (0.011) (0.012)
Female (ref: Male) −0.022 −0.022 −0.027 0.029 0.027
 (0.026) (0.026) (0.019) (0.034) (0.034)
Religiosity 0.018 0.017 −0.015 −0.001 −0.001
 (0.021) (0.021) (0.015) (0.024) (0.024)
Trust in Gov −0.034** −0.029** −0.020** 0.047*** 0.045***
 (0.013) (0.013) (0.009) (0.016) (0.016)
Single −0.061* −0.065** −0.067*** 0.026 0.031
 (0.031) (0.031) (0.022) (0.041) (0.041)
Urban 0.022 0.016 0.009 −0.066** −0.070**
 (0.029) (0.029) (0.019) (0.032) (0.033)
Algeria 0.051 0.043 0.107***    
 (0.061) (0.062) (0.036)    
Egypt −0.064 −0.098 −0.019    
 (0.065) (0.065) (0.036)    
Jordan −0.415*** −0.423*** −0.327***    
 (0.054) (0.055) (0.031)    
Lebanon −0.107* −0.112* −0.013    
 (0.057) (0.057) (0.035)    
Libya −0.425*** −0.448*** −0.355***    
 (0.060) (0.061) (0.036)    
Morocco −0.028 −0.057 0.054 0.574*** 0.586***
 (0.060) (0.061) (0.037) (0.040) (0.040)
Sudan −0.005 −0.035 0.027    
 (0.060) (0.061) (0.035)    
Deference to Gov −0.061*** −0.062*** −0.038***    
 (0.014) (0.014) (0.010)    
Internet pol express  0.121***0.066**    0.047*0.022
  (0.020)(0.029)    (0.028)(0.038)
Internet pol news    0.016***0.008    
    (0.004)(0.006)    
Palestine       −0.086** −0.077**
       (0.037) (0.036)
Constant2.770***2.978***2.764***3.008***2.749***2.918***2.733***2.378***2.768***2.359***
(0.013)(0.106)(0.012)(0.106)(0.012)(0.066)(0.014)(0.112)(0.013)(0.111)
N6,2973,8576,2583,82512,7898,0104,5872,0114,5812,005
R20.0020.0670.0060.0680.0010.0540.0060.1570.0010.157
Adjusted R20.0020.0630.0060.0640.0010.0520.0060.1520.00040.152
*p < .1.
**p < .05.
***p < .01.
Note. Models 1–6 and Models 7–10 are from AB3 and AB4, respectively. *p < 0.1; **p < 0.05; ***p < 0.01.
Figure 1. Support for democracy across countries.

Independent and Moderating Variables

We conceptualize political information acquisition and political opinion expression on social media/internet as core components of political engagement on digital platforms. Online political engagement in the digital age is characterized by individuals’ interactions with political content and participation in political discourse through online mediums. The frequent use of social media and internet to learn about political events demonstrates active involvement in staying informed. Similarly, expressing political opinions online signifies an active contribution to political conversations, allowing individuals to share their perspectives and potentially influence others. These two variables—information acquisition and opinion expression—capture key dimensions of how citizens engage politically in the digital realm. Social media platforms provide unique opportunities for both the consumption and creation of political content, making them vital spaces for online political participation.
We use two surveys questions about political engagement on social media from the AB7. In the absence of social media-specific questions in earlier AB surveys, we measure political engagement on internet, as online activities more broadly encompass the similar fundamental behaviors of seeking information and expressing viewpoints in a digitally connected environment. Furthermore, we differentiate political engagement on digital platforms from general internet and social media usage. Survey questions about internet usage frequency, daily social media use, and consumption of various types of news, not exclusively political, from social media are used to gauge general usage of internet and social media to differentiate them from political engagement on digital platforms. These questions constitute the comprehensive set of survey items utilized in AB 1 through 5 and 7 to evaluate social media and internet usage for both political and general purposes.
To examine their interactions with political engagement, we measure four government-related variables, deference to authority, trust in government, satisfaction with government, and the support for government index, in the following ways. Deference to government authority is gauged by respondents’ willingness to support government decisions despite personal disagreement. This variable has been used in various studies, reflecting individuals’ support for authority in expense of individual autonomy (Ben-Nun Bloom et al. 2021) and measuring support for government (Noh et al. 2023, 710). Trust is assessed by the level of trust respondents express in government, while satisfaction is evaluated by their overall contentment with government performance. Relying on previous research, we also established the support for government index, which aggregates individual assessments of the government across various domains, including COVID-19 response, economic equality, security, and inflation management (Noh et al. 2023).

Control Variables

Following previous research (Noh et al. 2023; Tessler 2022; Tezcür et al. 2012), our analysis includes several control variables that have been found to correlate with support for democracy: age, gender, education, unemployment, marriage, religiosity, and interest in politics. Additionally, we incorporate dummy variables for each country to control for country-specific characteristics related to support for democracy. The full set of survey questions used to construct all variables is provided in Appendix A.

Models

We utilized pooled linear regression models to estimate the effects of predictors on support for democracy. While Figure 2 demonstrates that the distribution of dependent variables deviates from perfect symmetry, descriptive statistics reveal that the mean and median values of the variable are very close to each other. For instance, in Arab Barometer 7, the mean is 2.35 and the median is 2.33. This close alignment between mean and median suggests a distribution close to symmetry around the central tendency, with no significant skew to the left or right. Moreover, the absence of long tails in the support for democracy variable diminishes the likelihood of outliers significantly affecting the mean.
Figure 2. Distribution of support for democracy variable.
Given that the median closely approximates the mean, data transformation is unnecessary, as no significant skew is present that would require adjustments typically made for highly non-normal distributions. Moreover, pooled linear regression is well-suited to our data structure, where repeated cross-sectional data from different waves of AB allow us to pool the data across time without needing to account for time-specific effects. This approach captures the overall relationships between the predictors and support for democracy while maintaining the simplicity and interpretability of the linear model. Therefore, employing models designed for skewed data, such as certain types of Generalized Linear Models (GLMs), is deemed unnecessary, making a standard linear regression model appropriate for obtaining estimates.
However, as part of our robustness checks, we also conducted a Generalized Linear Model (GLM) analysis using a Gamma distribution coupled with a logarithmic link function, as illustrated in Appendix B. This approach is well-suited for data that are not normally distributed, particularly those with a positive skew. Figure 2 indicates a slight right skewness in the distribution of our outcome variables. By applying a logarithmic link function, we transform the relationship between predictors and dependent variables into a linear one. This linearization might be advantageous in cases of skewness, facilitating a more accurate interpretation of the relationships within the data. The results from GLM with Gamma distribution are consistent with the results from main regression models.

Results and Analysis

This section presents the results from pooled regression models analyzing data from Arab Barometers 1 through 5 and 7, with results reported at a 95 percent confidence interval. First, we discuss the positive association between political engagement on social media and support for democracy. Second, we look at the negative relationship between political engagement on social media and the internet and support for democracy. Subsequently, we examine these relationships across various political regimes, utilizing multilevel models. Finally, predicted means are visualized.

Social Media and Internet as Promoting Democracy

Table 1 illustrates a positive association between support for democracy and political engagement on the internet, as evidenced by the analysis of data from AB 3 and 4. Due to space limitations, results from AB 1 and 2, which predominantly show nonsignificant relationships between political engagement and support for democracy, are provided in Appendix C. AB 5 lacks survey questions concerning political engagement on social media. Results from Ab 7, which indicate negative associations, are discussed in the subsequent subsection.
Based on the analysis of AB 3, Models 4 and 6 suggest that individuals expressing political opinions on the internet and individuals who use the internet to access political news respectively tend to support democracy. Based on the analysis of AB 4, the only empirical evidence of a positive correlation between support for democracy and political engagement online is observed in Model 8, indicating that individuals obtaining political information via the internet are inclined to support democracy. Thus, the analysis of AB 3 and 4 offers limited empirical evidence that internet use for political engagement is associated with support for democracy.

Social Media as Undermining Democracy Support

Drawing on data from AB 7, Table 2 showcases how political engagement on social media, its interplay with two government-related variables (deference to government and trust in government), and other socioeconomic factors influence individual support for democracy. The interaction terms are informed by theories such as social learning and self-censorship, which propose that the negative relationship between social media engagement and democracy support may vary, becoming more pronounced at higher levels of government support.
Table 2. Negative Role of Political Engagement on Social Media in Support for Democracy.
 Support for Democracy
(1)(2)(3)(4)(5)(6)(7)(8)
SM pol info−0.022***−0.028***−0.024***−0.027***    
(0.006)(0.007)(0.007)(0.007)    
SM pol Ex    −0.020***−0.024***−0.018***−0.024***
    (0.006)(0.007)(0.007)(0.007)
Defer to Gov−0.053***−0.067***  −0.054***−0.067***  
(0.010)(0.011)  (0.010)(0.011)  
Unemployed −0.010 −0.014 −0.010 −0.014
 (0.031) (0.031) (0.031) (0.031)
Interest in politics 0.052*** 0.050*** 0.049*** 0.046***
 (0.011) (0.011) (0.011) (0.011)
Age 0.001 0.001 0.001 0.001
 (0.001) (0.001) (0.001) (0.001)
Education 0.009 0.011 0.008 0.010
 (0.007) (0.007) (0.007) (0.007)
Female (ref: Male) −0.070*** −0.061*** −0.068*** −0.058***
 (0.020) (0.021) (0.020) (0.021)
Religiosity −0.025 −0.024 −0.024 −0.025
 (0.016) (0.016) (0.016) (0.016)
Urban 0.028 0.028 0.025 0.020
 (0.023) (0.023) (0.023) (0.023)
Single 0.031 0.041 0.030 0.042
 (0.026) (0.026) (0.026) (0.026)
Jordan 0.342*** 0.342*** 0.337*** 0.338***
 (0.039) (0.039) (0.039) (0.039)
Lebanon 0.211*** 0.234*** 0.212*** 0.241***
 (0.038) (0.038) (0.038) (0.038)
Libya 0.094** 0.103** 0.084** 0.095**
 (0.041) (0.041) (0.041) (0.041)
Mauritania 0.585*** 0.576*** 0.590*** 0.581***
 (0.048) (0.048) (0.048) (0.048)
Morocco 0.612*** 0.611*** 0.614*** 0.617***
 (0.040) (0.040) (0.040) (0.040)
Palestine 0.244*** 0.245*** 0.229*** 0.228***
 (0.042) (0.043) (0.042) (0.042)
Sudan 0.414*** 0.407*** 0.425*** 0.418***
 (0.045) (0.045) (0.045) (0.046)
Tunisia −0.032 −0.051 −0.035 −0.052
 (0.043) (0.043) (0.043) (0.043)
SM pol info: Defer to Gov−0.023***−0.019***      
(0.006)(0.007)      
Trust in Gov  −0.012−0.031***  −0.010−0.028***
  (0.010)(0.011)  (0.010)(0.011)
SM pol info: Trust in Gov  −0.036***−0.026***    
  (0.007)(0.007)    
SM pol Ex: Defer to Gov    −0.033***−0.028***  
    (0.007)(0.007)  
SM pol Ex: Trust in Gov      −0.041***−0.034***
      (0.007)(0.007)
Constant2.351***1.977***2.347***1.961***2.351***2.005***2.348***1.987***
(0.010)(0.069)(0.010)(0.069)(0.010)(0.069)(0.010)(0.069)
N7,8746,9027,2846,8667,8386,8737,2516,835
R20.0070.0760.0060.0720.0090.0770.0070.074
Adjusted R20.0070.0730.0050.0700.0080.0740.0060.071
*p < .1.
**p < .05.
***p < .01.
The findings suggest a robust association, indicating that individuals who rely on social media for political information and expression of political opinions are more likely to hold anti-democratic leanings. Furthermore, the table highlights key interaction effects. First, politically engaged individuals on social media who endorse the notion of supporting government decisions unconditionally tend to be more inclined against democracy compared to those who challenge this belief. Second, individuals who trust the government and utilize social media for political information and opinion expression also exhibit a tendency to be less supportive of democracy than those who harbor distrust toward the government.
Drawing on previous research (Noh et al. 2023), we conducted two additional interaction tests involving two government-support-related variables: the support for government index and overall satisfaction with government. Detailed results are provided in Table 1 of Appendix D, demonstrating that satisfaction with government performance is another modifier; individuals satisfied with the government and politically engaged via social media tend to be less supportive of democracy than their dissatisfied counterparts. Furthermore, politically engaged social media users who support the government often exhibit a lower regard for democracy than those who do not support the government. Additionally, we conducted statistical tests without these interaction terms and kept four government-related variables as separate predictors are provided results in Table 2 of Appendix D, where the results remain significant.
Tables 1 and 2 also highlight additional variables such as gender, education, and interest in politics correlating with democratic support. Both tables offer evidence that an interest in politics is commonly found among those favoring democratic governance. This observation aligns with prior research (Bratton and Mattes 2001). The underlying implication is that democracy is unlikely to thrive without an engaged and politically attentive citizenry.
Our study primarily focuses on the political utilization of internet and social media, recognizing their multifaceted influence on public opinion. Therefore, we conducted additional tests to explore if the discovered patterns regarding the relationship between online political engagement and democracy support extend to general forms of social media usage. To this end, we use survey questions on individual internet use, daily social media use, and the use of social media for breaking news from AB 1–5 and 7. The findings presented in Appendix E align with our expectation that simply using social media for general purposes does not necessarily correlate with democratic attitudes. Except for Model 8, which indicates that those who use social media as their primary source for breaking news show a correlation, all other general social media/internet use variables are nonsignificant in major models. Consistent with prior studies, typical individuals are less inclined to engage with political matters (Downs 1957), potentially leading to a lack of exposure or apathy towards manipulative techniques employed by authoritarian governments. What is crucial is the level of political engagement on these platforms. Those who utilize social media to seek out political information and articulate their perspectives on such matters are more susceptible to encountering authoritarian narratives and undergoing social learning influenced by these regimes.

Social Media Engagement and Support for Democracy Across Regimes

Given previous research showing that the impact of Internet use on political opinions is influenced by government filtering and institutional context, we also examine whether the relationship between political engagement on social media/internet and support for democracy varies by levels of democracy in Middle East. For instance, Wagner et al. (2017) found that the influence of digital forums on perceptions of openness and transparency depends on institutional context. Based on the analysis of Latin American countries, their study reveals that digital information consumption significantly predicts external political efficacy, with a stronger effect in more democratic countries. Similarly, Wagner and Gainous (2013) studied the effect of Internet use on political opinions in Middle East and found that in countries with lower levels of government filtering, Internet use increased political knowledge, participation, and perceptions of the U.S. and the West, while reducing trust in government. In contrast, countries with higher Internet filtering showed no significant effects.
To investigate how different levels of democracy influence the relationship between individual support for democracy and political engagement on social media, we merge six country-level variables on democracy levels and political regimes to our survey data. These variables include five indices from the Varieties of Democracy (V-Dem) project, which capture various dimensions of democracy, and the Regimes of the World (RoW) classification, which categorizes political regimes based on V-Dem data. The six variables are as follows: the electoral democracy index, which measures the extent to which political leaders are chosen through free, fair, and meaningful elections; the liberal democracy index, which emphasizes liberal democratic elements such as civil liberties, the rule of law, judicial independence, and checks on executive power; the participatory democracy index, which assesses the degree of citizen participation beyond voting, including mechanisms of direct democracy, civil society engagement, and decentralized governance; the deliberative democracy index, which gauges the quality of political deliberation, focusing on rational discourse, informed debate, and respectful dialogue among political actors; the egalitarian democracy index, which measures the extent of political equality and efforts to reduce social, economic, and political inequalities within the democratic process; and the Regimes of the World (RoW), which classifies political regimes globally into four categories: liberal democracy, electoral democracy, electoral autocracy, and closed autocracy. Among the countries surveyed by the Arab Barometer, most are classified as either closed autocracies or electoral autocracies, with Tunisia being the only country categorized as an electoral democracy.
After merging these country-level variables to the AB surveys, we first explore the effect of these six variables on the internet-support for democracy nexus in main models in Table 1 that shows positive role of political engagement on internet in support for democracy based on the AB 3 and AB 4 data. We develop interaction models where all political engagement on internet variables are interacted with each of the six democracy levels and political regimes variables, translating into six tables, each table showing one country-level democracy variable. To account for a within country differences, we developed multilevel models where categorical country variable is a grouping variable for a random effect. This allows models to account for differences across countries, while interactions allow to capture if relationship between online political engagement and support for democracy changes across various political regimes. All results are presented in Tables 1–6, Appendix F. The findings indicate that the slight positive effect of obtaining political information diminishes when democracy levels are considered, while the slight positive relationship between expressing political opinion on the internet and support for democracy remains. Notably, this effect is marginally stronger in countries with lower liberal, participatory, deliberative, and egalitarian democracy scores. These results suggest that in countries with lower democracy scores, individuals may rely on the internet as an alternative platform for advocating democratic change and reforms, whereas this need might appear less urgent in countries with higher democracy levels. This aligns with our expectations that the internet initially served as an alternative source of information in Middle East, particularly in earlier years, before authoritarian regimes increasingly took control of online spaces. However, these differences are minimal due to relatively small variations in democracy levels among the countries surveyed by the AB.
Next, we move to exploring negative relationship between support for democracy and online political engagement and its interactions with government-support variables illustrated in Table 2. Using six country-level democracy indices and political regimes data from V-dem, we develop three-way interaction models and present results in Tables 1–6 of Appendix G. Except for Model 4 in Table 4 where political expression on media is negative but no significant, all other models show that political engagement on social media and its interactions with the deference to the government and trust in government variables remain statistically significant at 95 percent interval. All tables show that the relationship between political engagement on social media and support for government interaction terms and support for democracy doesn’t change significantly across democracy levels and regime categorizations.
Additionally, we examined the relationship between political engagement on social media and support for democracy across different political regimes and levels of democracy, without including interactions between political engagement on social media and support for government variables. To do this, we interacted two online political engagement variables (SM Political Information and SM Political Expression) with six different democracy levels and political regimes, presenting the results in Tables 7 and 8 of Appendix G. With the exception of Model 6 in Table 8, where SM Political Expression is not significant, both SM Political Information and SM Political Expression remain significant across all models. However, the interactions of SM Political Information and SM Political Expression with democracy levels and political regimes are nonsignificant, suggesting that the relationship between political engagement on social media and support for democracy does not vary significantly across different political regimes.
Finally, we estimated multilevel models, treating political regime types as a grouping variable to assess whether the Y-intercepts differ across country groups. The full models are presented in Model 9 of Appendix G. Figure 3 visualizes the Y-intercepts based on six models, four of them interaction (between online political engagement and deference to government and trust in government) models and two of them without interactions. While we included regimes of world variable as country-level variable (L2) in multilevel models, the categorical country name variable was not included as its inclusion prevented models from converging because of high collinearity. The red dashed lines show the fixed effects intercept, middle being average and the left and right being lower and upper bounds, respectively. Figure 3 suggests that each political regime group exhibits a slightly different baseline level of support for democracy. To obtain total intercept for each group, we added fixed effects intercept (representing overall average intercept) and random effects intercept (group-specific deviation). By comparing the total intercepts for the three groups, we found that while the group intercepts vary, the differences are relatively small. The fact that the group intercepts are not significantly different from the fixed effects intercept implies that most of the variation in the outcome is driven by individual-level differences within groups rather than differences between the groups themselves.
Figure 3. Comparison of total intercepts by political regime and fixed effects intercept.
Overall, results suggest that group-level effects are minimal, which is why the focus remains on standard linear models presented in main analysis. This is largely because most of the countries included in the AB surveys exhibit similar characteristics regarding their levels of democracy. They are predominantly authoritarian. As a result, group-level effects—whether based on democracy levels or regime types—do not significantly contribute to explaining the relationship between social media engagement and support for democracy. Therefore, the individual-level linear models in the main analysis better capture the dynamics of the relationship between online political engagement and support for democracy.

Predicted Mean for Negative Association

Next, we illustrate the mean predicted support for democracy at the lowest and highest levels of two key independent variables: social media-based political information and political expression, along with their interplay with four government-related variables—deference to government, trust in government, satisfaction with government, and support for government. All predictions are based on full models and are visualized with 95% confidence intervals in Figures 45 and Figures 1–2 of Appendix H. Each figure is organized into four quadrants, with the lower graphs displaying the main effects of political information and political expression via social media, and the upper graphs showing how these effects are modified when interacting with a government-related variable.
Figure 4. Democracy support predicted by political social media use and its interaction with deference to government.
Figure 5. Democracy support predicted by political social media use and its interaction with trust in government.
Figure 4 depicts the conditional average support for democracy based on the frequency of social media use for political information and political expression. The lower graphs of the figure demonstrate a negative correlation between two key independent variables and dependent variable: frequent social media users for political news and political expression exhibit lower democratic support. Specifically, daily social media users for political information and political expression show a 0.28 and 0.34 decrease, respectively, in democratic support compared to non-users. The top plots of Figure 4 suggest that among users of social media for political information and political expression, the degree of support for democracy varies significantly depending on their attitudes toward government decisions. Those who consume political information via and express political opinion on social media and also agree that governmental decisions should be upheld regardless of personal views are more inclined to disapprove of democracy, unlike their counterparts who challenge the notion of unconditional governmental support. Those who use social media to gather political information and express political opinion but do not subscribe to the idea of unconditional support for government decisions are relatively supportive of democratic governance.
Figure 5 illustrates a similar negative association: a higher frequency of social media use for political information and political expression correlates with a lower support for democracy. Individuals engaging with social media for political information and political expression on a daily basis demonstrate a 0.33 and 0.39 reduction in support for democracy compared to those who refrain from using social media for such purposes. The upper section of Figure 5 elucidates the influence of trust in government on this dynamic: Individuals who ingest political information and share political viewpoints through social media and maintain a high level of government trust tend to be more skeptical of democracy compared to those social media users with lower government trust.
In summary, Figures 45 illustrate that individuals who frequently use social media for political information and expression are generally less supportive of democratic principles, suggesting a potential inclination towards social learning of authoritarian values via social media platforms. This negative correlation between the use of social media for political engagement and support for democracy becomes more pronounced when factoring in governmental attitudes, suggesting self-censorship. Additionally, we carried out additional analyses by sub-setting our data based on the values of four government-related moderating variables and presented the results in Appendix I. The results are consistent with the moderating role of the government-related moderating variables. These results could imply an authoritarian takeover of social media platforms where users are more likely to digest authoritarian narratives because of their deference to, trust in, support for, and satisfaction with authoritarian governments.

Self-Censorship

We further explore self-censorship, a phenomenon where individuals critical of the government may choose not to express their political opinions on social media platforms due to government surveillance, resulting in a skew towards online pro-government political engagement. To investigate this potential bias, we examine the relationships between four government-related variables and political expression on social media.
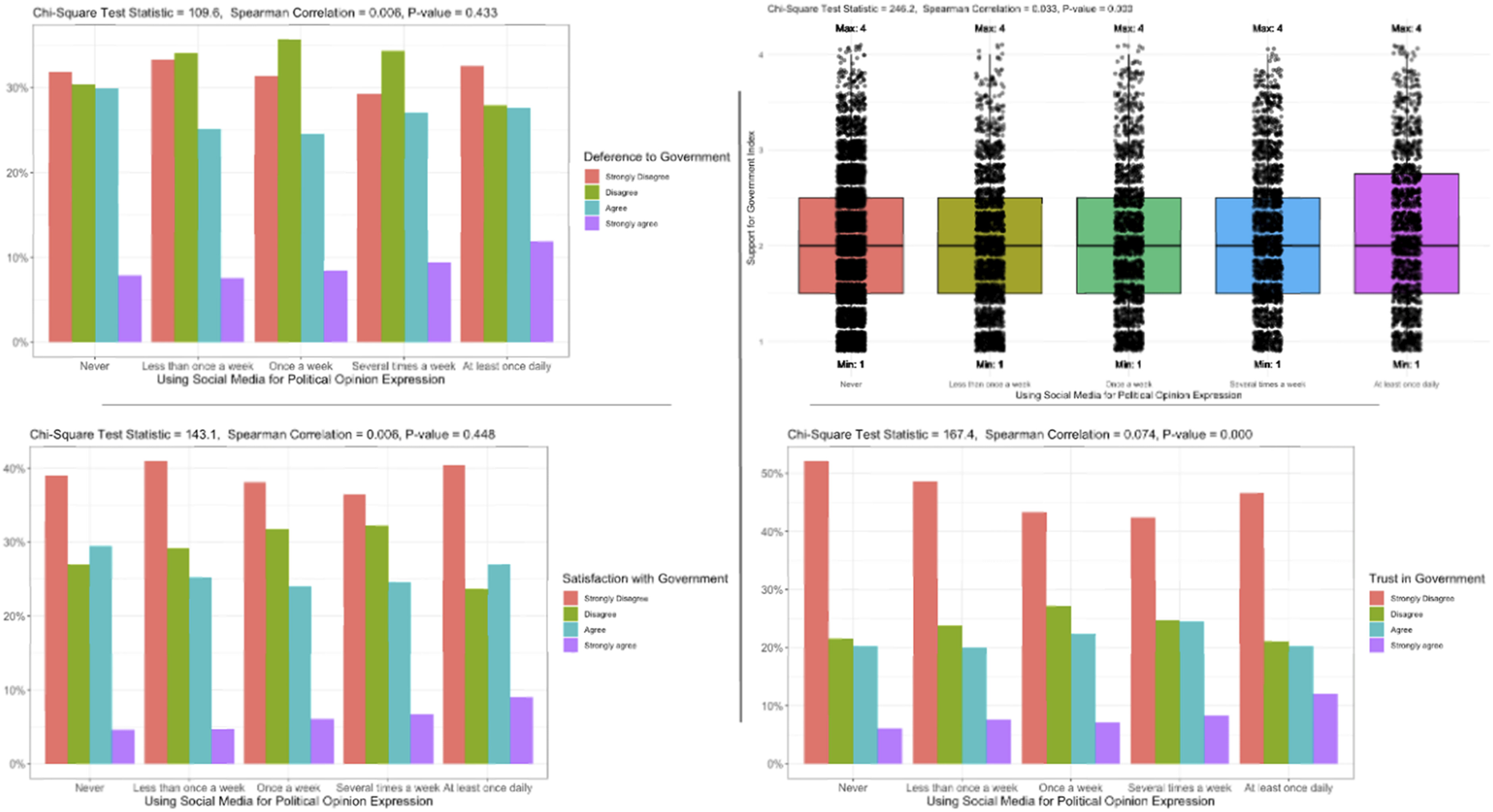
The correlation between using social media for political expression and attitudes like deference to government, trust in government, general satisfaction with the government, and a composite support for government index is depicted in Figure 6. We employ Spearman’s rank correlation coefficient for analysis because the variables are ordinal. The left side of the figure shows no significant correlation between political expression and both deference to and overall satisfaction with the government. Conversely, the right side of the figure reveals a positive, albeit very weak, correlation with the support for government index and trust in government, with coefficients of 0.03 and 0.07, respectively. These findings hint that self-censorship might influence the link between democratic support and political expression. Nevertheless, the small magnitude of the correlations, along with their significance in only two variables, implies that the association between democratic support and social media usage for political ends is part of a larger context. Specifically, it is embedded in a political learning environment saturated with authoritarian narratives and propaganda.
Figure 6. Correlation of political information with government-related variables.

Discussion and Conclusion

In this study, we sought to differentiate general use of social media and internet from their specific utilization for political purposes, focusing on studying whether such political engagement bolsters or undermines democracy in authoritarian contexts. Leveraging data from AB 1–5 and 7, our analysis reveals a troubling shift: while early political engagement on social media and the internet correlated positively with democratic support, recent years have seen this relationship turn negative, reflecting the growing influence of authoritarian control over digital spaces.
Our findings underscore a positive role that social media and the internet initially played in exposing users to diverse viewpoints and fostering democratic ideals. However, this positive impact has been compromised by two key mechanisms in digital authoritarian settings: Self-censorship and social learning. Self-censorship suggests that individuals critical of the regime may avoid expressing political views online due to fears of retaliation, leading to a skewed representation of political discourse. Social learning involves the acquisition of information and belief formation through online interactions, which are significantly shaped by authoritarian regimes’ control over social media.
These results suggest a potential digital authoritarian takeover, where regimes adapt and exploit cyberspace to reinforce their control. This trend marks a shift towards digital authoritarianism which, manifests primarily in two ways. First, through surveillance and repression, regimes can stifle open political discussion, creating an atmosphere of conformity and fear. Second, through sophisticated tactics such as misinformation campaigns, the use of chatbots, and artificial intelligence, authoritarian states can flood social media with their propaganda, effectively shaping public opinion and facilitating the internalization of authoritarian values. Once celebrated for fostering open dialogue and democratizing potential, social media platforms now serve as arenas where anti-democratic forces wield considerable power. This shift is emblematic of a broader movement towards digital authoritarianism. As the costs of traditional repression rise, coupled with the increasing use of social media by the populations, these regimes are turning to social media as a cost-effective alternative for exerting influence and quelling dissent (Jones 2022). The deliberate manipulation of these platforms by authoritarian governments has significantly contributed to a decline in democratic engagement in digital spaces (Woodhams 2019).
Similar to other authoritarian powers in the other parts of the world, to suppress online criticism, authoritarian governments in the Arab region have deployed a range of tactics, including extensive surveillance, censorship, service disruptions, restrictive access measures, and the criminalization of online speech (Access Now 2021).
Many activists in Arab countries have reported arbitrary de-platforming, with their content removed or accounts suspended (Solon 2020). Widespread use of sophisticated spyware and tracking applications has been observed throughout the Arab world (Bergman and Walsh 2019; Smith and Srivastava 2019).
Beyond surveillance, Arab governments have invoked fear and employed legal tactics to stifle opposition. Ambiguous cybercrime laws, often justified by counterterrorism claims or the protection of public order, are exploited to violate human rights and suppress freedom of expression on the internet (Front Line Defenders 2018). Legal actions against human rights defenders and the weaponization of law create a climate of fear, deterring individuals and groups from openly expressing dissent against ruling regimes on social media platforms. The perception of being under digital surveillance and a climate of fear compel ordinary people to self-censor and abstain from expressing political opinions on social media.
Arab governments are also engaging in deceptive activities and spreading disinformation to shape public discourse and assert control over the narrative within their countries. Through orchestrated social media campaigns, they manipulate public opinion and claim the authority to define truth. This includes the use of bots and fake accounts on platforms like X to amplify pro-government messages and suppress dissenting views. Following the assassination of journalist Jamal Khashoggi, analysis revealed a concerted effort by Saudi Arabian bots to dominate online conversation and influence public perception (Collins and Wodinsky 2018).
The implications of this study are multifaceted and significant for policymakers, activists, and scholars interested in the intersection of social media, political engagement, and authoritarianism. First, this study suggests that while social media initially supported democratic movements, its current use in authoritarian contexts may now contribute to the reinforcement of authoritarian regimes, signaling a need for rethinking how digital platforms are leveraged for political activism. Second, it underscores the importance of understanding the mechanisms of self-censorship and social learning in shaping political behavior, particularly under the constraints of digital authoritarianism. This has implications for how opposition groups and civil society organizations engage online, as they must now navigate the dual threats of surveillance and misinformation. Finally, the study points to the necessity of policy interventions aimed at protecting online freedoms and combating state propaganda. The insights from this research call for a nuanced understanding of the interplay between digital technology and political dynamics in authoritarian contexts.
While our study provides potential explanations for the evolving relationship between political engagement on social media and democratic support in authoritarian regimes, our research is limited to associational tests and further experimental research is necessary to test and refine our findings. Future studies should also aim to replicate our findings across different regions and time periods to validate the observed trends and determine their generalizability outside of Middle East. Moreover, longitudinal studies could offer deeper insights into the causal mechanisms underlying the observed shifts in political attitudes. Investigating the role of emerging technologies, such as artificial intelligence and advanced surveillance tools, will be crucial in understanding how authoritarian regimes continue to adapt and exert influence over digital platforms.

Declaration of Conflicting Interests

The author(s) declared no potential conflicts of interest with respect to the research, authorship, and/or publication of this article.

Funding

The author(s) disclosed receipt of the following financial support for the research, authorship, and/or publication of this article: This research was funded by Gerda Henkel Foundation, AZ 01/TG/21, Emerging Digital Technologies and the Future of Democracy in the Muslim World.

ORCID iD

Footnotes

1 We could not use the data for Waves 6 and 8 because while the first does not include the questions that are relevant and used in this study, the second is under progress and not available online.
2 All Appendices can be found as supplemental materials in the electronic version of this manuscript at https://journals.sagepub.com/home/prq.

References

Access Now. 2021. “Internet Shutdown in Sudan.” Available at: https://www.accessnow.org/press-release/update-internet-shutdown-sudan/
Aday Sean, Farrell Henry, Lynch Marc, Sides John, Kelly John, Zuckerman Ethan. 2010. Blogs and Bullets: New Media in Contentious Politics. United States Institute of Peace.
Anderson Ashley. 2021. ““Networked” Revolutions? ICTs and Protest Mobilization in Non-Democratic Regimes.” Political Research Quarterly 74 (4): 1037–1051.
Badreya Al-Jenaibi. 2016. “The Twitter Revolution in the Gulf Countries.” Journal of Creative Communications 11 (1): 61–83.
Baron Ilan Zivi, Ish-Shalom Piki. 2024. “Exploring the Threat of Fake News: Facts, Opinions, and Judgement.” Political Research Quarterly 77 (2): 620–632.
Bar‐Tal Daniel. 2017. “Self-Censorship as a Socio-Political-Psychological Phenomenon: Conception and Research.” Political Psychology 38: 37–65.
Ben‐Nun Bloom Pazit, Arikan Gizem, Vishkin Allon. 2021. “Religion and Democratic Commitment: A Unifying Motivational Framework.” Political Psychology 42: 75–108.
Bergman Ronen, Walsh Declan. 2019. “Egypt is Using Apps to Track and Target its Citizens, Report Says.” New York Times; Available at: https://www.nytimes.com/2019/10/03/world/middleeast/egypt-cyber-attack-phones.html
Bimber B. 2003. Information and American Democracy: Technology in the Evolution of Political Power. Cambridge University Press.
Bossetta Michael, Dutceac Segesten Anamaria, Trenz Hans-Jörg. 2017. “Engaging with European Politics Through Twitter and Facebook: Participation beyond the National?” In Social Media and European Politics: Rethinking Power and Legitimacy in the Digital Era. Springer, 53–76.
Bratton Michael, Mattes Robert. 2001. “Support for Democracy in Africa: Intrinsic or Instrumental?” British Journal of Political Science 31 (3): 447–474.
Castells Manuel. 2012. Networks of Outrage and Hope: Social Movements in the Internet Age. Polity Press, 81.
Cho J., Shah D. V., McLeod J. M., McLeod D. M., Scholl R. M., Gotlieb M. R. 2009. “Campaigns, Reflection, and Deliberation: Advancing an OSROR Model of Communication Effects.” Communication Theory 19 (1): 66–88.
Collins Ben, Wodinsky Shoshana. 2018. “Twitter Pulls Down Bot Network that Pushed Pro-Saudi Talking Points about Disappeared Journalist.” NBC News; Available at: https://www.nbcnews.com/tech/tech-news/exclusive-twitter-pulls-down-bot-network-pushing-pro-saudi-talking-n921871
De Vreese Claes, Boomgaarden Hajo. 2006. “News, Political Knowledge and Participation: The Differential Effects of News Media Exposure on Political Knowledge and Participation.” Acta Politica 41 (4): 317–41.
Deibert Ronald. 2019. “The Road to Digital Unfreedom: Three Painful Truths about Social Media.” Journal of Democracy 30 (1): 25–39.
Downs A. 1957. An Economic Theory of Democracy. Harper & Row.
Feldstein Steven. 2019. “The Road to Digital Unfreedom: How Artificial Intelligence is Reshaping Repression.” Journal of Democracy 30 (1): 40–52.
Feldstein S. 2021. The Rise of Digital Repression: How Technology Is Reshaping Power, Politics, and Resistance. Oxford University Press.
Feldstein Steven. 2021. “Digital Technology’s Evolving Role in Politics, Protest and Repression.” United States Institute of Peace. https://www.usip.org/publications/2021/07/digital-technologys-evolving-role-politics-protest-and-repression
Front Line Defenders. 2018. “Ahmed Mansoor Detained.” Available at: https://www.frontlinedefenders.org/en/case/ahmed-mansoor-detained
Gainous Jason, Wagner Kevin M., Abbott Jason P. 2015. “Civic Disobedience: Does Internet Use Stimulate Political Unrest in East Asia?” Journal of Information Technology & Politics 12 (2): 219–236.
Gainous Jason, Wagner Kevin M., Ziegler Charles E. 2018. “Digital Media and Political Opposition in Authoritarian Systems: Russia’s 2011 and 2016 Duma Elections.” Democratization 25 (2): 209–226.
Gohdes A. R. 2020. “Repression Technology: Internet Accessibility and State Violence.” American Journal of Political Science 64 (3): 488–503.
Guriev Sergei, Treisman Daniel. 2019. “Informational Autocrats.” Journal of Economic Perspectives 33 (4): 100–127.
Hager Anselm, Krakowski Krzysztof. 2022. “Does State Repression Spark Protests? Evidence from Secret Police Surveillance in Communist Poland.” American Political Science Review 116 (2): 564–579.
Han R., Shao L. 2022. “Scaling Authoritarian Information Control: How China Adjusts the Level of Online Censorship.” Political Research Quarterly 75 (4): 1345-1359.
Inglehart R. 2003. “How Solid is Mass Support for Democracy: And How Can We Measure it?” PS: Political Science and Politics 36 (1): 51–57.
Jang JunHyeok. 2022. “Subnational Elections and Media Freedom in Autocracies: Diffusion of Local Reputation and Regime Survival.” Political Research Quarterly 75 (4): 1321–1334.
Jones Marc Owen. 2022. Digital Authoritarianism in the Middle East: Deception, Disinformation and Social Media. Hurst Publishers.
Kendall-Taylor Andrea, Frantz Erica, Wright Joseph. 2020. “The Digital Dictators: How Technology Strengthens Autocracy,” Foreign Affairs 99 (2): 103–15.
King Gary, Pan Jennifer, Roberts Margaret E. 2017. “How the Chinese Government Fabricates Social Media Posts for Strategic Distraction, Not Engaged Argument.” American Political Science Review 111: 484–501.
Lynch Marc. 2011. “After Egypt: The Limits and Promise of Online Challenges to the Authoritarian Arab State.” Perspectives on Politics 9 (2): 301–10.
Morozov Evgeny. 2011. The Net Delusion: The Dark Side of Internet Freedom. Public Affairs.
Noh Y., Grewal S., Kilavuz M. T. 2023. “Regime Support and Gender Quotas in Autocracies.” American Political Science Review 118: 1–18.
Norris P. 2002. Democratic Phoenix: Reinventing Political Activism. Cambridge University Press.
Polyakova Alina, Meserole Chris. Exporting Digital Authoritarianism: The Russian and Chinese Models. Policy Brief, Democracy and Disorder Series. 2019; (August 2019): 1–22.
Reuter Ora John, Szakonyi David. 2015. “Online Social Media and Political Awareness in Authoritarian Regimes.” British Journal of Political Science 45 (1): 29–51.
Schedler A., Sarsfield R. 2007. “Democrats with Adjectives: Linking Direct and Indirect Measures of Democratic Support.” European Journal of Political Research 46 (5): 637–659.
Singer P. W., Brooking Emerson T. 2018. Like War: The Weaponization of Social Media. Houghton Mifflin Harcourt.
Sleeper M., Balebako R., Das S., McConahy A. L., Wiese J., Cranor L.F. 2013. “The Post that Wasn’t: Exploring Self-Censorship on Facebook.” In Proceedings of the 2013 Conference on Computer Supported Cooperative Work, San Antonio Texas USA, 23–27 February 2013, 793–802.
Smith R., Srivastava M. 2019. “Israel’s NSO: The Business of Spying on Your IPhone.” FT; 14 May. Available at: https://www.ft.com/content/7f2f39b2-733e-11e9-bf5c-6eeb837566c5
Solon Olivia. 2020. “Facebook Doesn’t Care, Activists Say, as Accounts Removed Despite Zuckerberg’s Free Speech Claims.” NBC News; Available at: https://www.nbcnews.com/tech/tech-news/facebook-doesn-t-care-activists-say-accounts-removed-despite-zuckerberg-n1231110
Sunstein Cass. 2007. Republic.com 2.0. Princeton University Press.
Tessler M. 2002. “Islam and Democracy in the Middle East: The Impact of Religious Orientations on Attitudes Toward Democracy in Four Arab Countries.” Comparative Politics 34: 337–354.
Tezcür Güneş Murat, Azadarmaki Taghi, Bahar Mehri, Nayebi Hooshang. 2012. “Support for Democracy in Iran.” Political Research Quarterly 65 (2): 235–247.
Tucker Joshua A., Theocharis Yannis, Roberts Margaret E., Barberá Pablo. 2017. “From Liberation to Turmoil: Social Media and Democracy.” Journal of Democracy 28 (2017): 46–59.
Tufekci Zeynep. 2018. “It’s the (Democracy-Poisoning) Golden Age of Free Speech.” Wired; Jan. 16, 2018. https://www.wired.com/story/free-speech-issue-tech-turmoil-new-censorship/
Wagner Kevin M., Gainous Jason. 2013. “Digital Uprising: the Internet Revolution in the Middle East.” Journal of Information Technology & Politics 10 (3): 261–275.
Wagner Kevin M., Gray Tricia J., Gainous Jason. 2017. “Digital Information Consumption and External Political Efficacy in Latin America: Does Institutional Context Matter?” Journal of Information Technology & Politics 14 (3): 277–291.
Woodhams Samuel. 2019. “Digital Authoritarianism is Rising in the Middle East.” Foreign Policy in Focus; Available at: https://fpif.org/digital-authoritarianism-is-rising-in-the-middle-east/

Supplementary Material

Please find the following supplemental material available below.

For Open Access articles published under a Creative Commons License, all supplemental material carries the same license as the article it is associated with.

For non-Open Access articles published, all supplemental material carries a non-exclusive license, and permission requests for re-use of supplemental material or any part of supplemental material shall be sent directly to the copyright owner as specified in the copyright notice associated with the article.