Skip to main content
Intended for healthcare professionals

Abstract

Background

“Inflammaging” describes chronic low-grade inflammation observed in aging individuals. It may play a major role in neurodegeneration.

Objective

To assess blood inflammatory markers in older adults. We hypothesized that elevated inflammation would be found in some cognitively normal older adults but would be more prevalent in individuals with cognitive impairment.

Methods

Interleukin-6 (IL-6) and C-reactive protein (CRP) were assessed in 514 Canadian individuals in COMPASS-ND, a detailed study of cognitive impairment in the elderly. Cumulative link model (CLM) was used to investigate the relationship between inflammation status (low, medium, or high tertiles) and demographic and lifestyle factors along with cognitive function and cognitive diagnoses.

Results

We found that 12% of cognitively normal older adults had IL-6 levels in the highest tertile, but this increased in cognitively impaired cohorts—36% in Alzheimer's disease, 55% mixed dementia, 30% mild cognitive impairment, and 39% vascular mild cognitive impairment. We found that 36% of cognitively unimpaired older individuals display “elevated” IL-6 (middle and high tertile values), while approximately 70% of those with cognitive impairment also do so. Inflammation markers increased most robustly in association with age, higher body mass index, and higher Fazekas (MRI white matter hyperintensity) score. There were also weaker associations with female sex, nutrition, number of comorbidities, and poor sleep.

Conclusions

Peripheral low-grade inflammation was common, particularly in individuals with cognitive impairment; and obesity and age were the main drivers. It remains unclear whether treatment targeting such inflammation might have a therapeutic role in dementia prevention.

Introduction

Accumulating evidence has suggested that peripheral and neuroinflammation are both potential biomarkers as well as risk factors for Alzheimer's disease (AD) and related dementias (ADRD).1,2 Systemic inflammation has been shown to lead to worsening neurological function and increase the risk of cognitive impairment3 and may be involved early in the disease process, even before amyloid-β (Aβ) accumulation.4,5 Aβ can also trigger the production of pro-inflammatory cytokines, exacerbating inflammatory burden.6 In this paper we focused on peripheral inflammation as a starting point, and investigated the relationship between inflammatory markers, cognitive impairment, and clinical and demographic features in a Canadian cohort.
The term “inflammaging” has been used to describe the process linked to chronic low-grade inflammation, which is accompanied by cellular senescence, immunosenescence, organ dysfunction, and age-related diseases.7 Multiple mechanisms (e.g., pro-inflammatory cytokines and immune cells) and risk factors (e.g., diabetes, arthritis, and alcohol intake) are associated with peripheral inflammation. The presence of disorders such as hypertension, hyperlipidemia, and obesity have been linked to vascular dysfunction via inflammation and oxidative stress.8 Certain diets have been shown to play an important role in increasing or reducing peripheral inflammation and affecting neurodegenerative processes.9,10,11 Quality and duration of sleep, sex, and history of smoking have also been linked to inflammatory processes.1216 Many of those factors are also associated with aging, which increases the difficulty in elucidating their impact across dementing disorders.
Interleukin-6 (IL-6) is an inflammatory marker central in inflammaging, which induces the expression of a variety of proteins that support inflammatory processes. IL-6 also stimulates the production of C-reactive protein (CRP), an acute phase protein secreted by the liver, commonly regarded as an inflammatory biomarker and used to assess the presence and severity of low-grade inflammation. IL-6 and CRP are easy to detect in serum and are secreted in large amounts during infections, making them arguably the most commonly assayed biomarkers of peripheral inflammation in humans.17
Peripheral inflammation has been linked to cognitive impairment in multiple diagnostic groups.1821 Research suggests IL-6 levels are closely linked to the size of brain regions, including the temporal and frontal lobes, hippocampal volume, and total gray matter.22,23,24,25 Elevated IL-6 levels may contribute to neurodegenerative diseases by promoting tau and Aβ protein accumulation,2628 and via dysfunction in the blood–brain barrier (BBB).29 Vascular dysfunction plays a critical role in compromising the integrity of the BBB, and IL-6 is upregulated in response to vascular injury and systemic inflammation. Disruption of vascular homeostasis—often driven by endothelial cell senescence, oxidative stress, and degradation of tight junction proteins—leads to increased BBB permeability, facilitating the infiltration of neurotoxic substances and immune cells into brain tissue.30,31
It should be noted that the concept of inflammaging is not universally accepted. A few factors should be considered such as substantial variability which has been described in different populations.32 Additionally, there is not full agreement on what constitutes normal levels of IL-6 in the elderly, and what represents chronic low grade inflammation, as many aging related conditions can result in IL-6 upregulation.3335 Similarly, different upper limits of CRP are used to assess the risk of developing different conditions, such as cardiovascular disease, or to determine viral versus bacterial infection.36,37
In this study, our goal was to shed light on the relationship between inflammation, aging, neurodegeneration, clinical and lifestyle features of elderly Canadian individuals. We investigated peripheral inflammation (measured by IL-6 and CRP levels) across a cohort of subjects with various degrees of cognitive impairment. We hypothesized that higher levels of peripheral inflammation would be present in a subset of elderly individuals, but higher levels of inflammation would be linked to features of lifestyle, sex and clinical history. We also hypothesized that inflammation would be linked to brain health and cognition, therefore levels indicative of chronic inflammation would be increasingly present in individuals with AD, Mixed dementia (Mixed), mild cognitive impairment (MCI), and vascular MCI (V-MCI) when compared with cognitively unimpaired (CU) individuals. We further predicted a relationship between levels of inflammation and cognitive function, whereby higher levels of inflammation are related to lower cognitive scores independent of the diagnostic groups.

Methods

Participants

The data for this project were accrued from the Comprehensive Assessment of Neurodegeneration and Dementia study (COMPASS-ND), created by the Canadian Consortium on Neurodegeneration in Aging (CCNA). The COMPASS-ND study has created one of the world's most deeply phenotyped dementia cohorts, with subjects recruited at 30 Canadian sites. CCNA is supported by grants from the Canadian Institutes of Health Research with funding from several partners (grant numbers CNA-137794; CNA-163902, BDO-148341). This cohort is one of the few that allows researchers to examine links between peripheral inflammation and cognition across multiple dementias. Individuals with mixed dementia, multiple health conditions, complex diagnoses, and frailty are often left out of targeted observational studies and clinical trials with strict selection criteria. As a result, past research has primarily focused on idealized cases of AD, rather than individuals who truly reflect real-world clinical diversity. The COMPASS-ND study included participants from across the dementia spectrum. This data are transformative for its diverse participant pool, extensive and in-depth data collection, and the innovative long-term studies planned for the coming years.
The complete methodology for the COMPASS-ND study has been described.38 Briefly, this is a longitudinal observational cohort study. The cohorts are defined by clinical cognitive syndromes with agreed on diagnostic criteria. Individuals were enrolled into this study from 30 academic memory clinics affiliated with the Consortium of Canadian Centres for Clinical Cognitive Research (C5R), select Canadian stroke clinics, and select Canadian movement disorders clinics. Participants are 50–90 years of age and recruited to ensure adequate representation of male and female participants in each diagnostic subgroup. General inclusion criteria include written informed consent; sufficient proficiency in English or French to undergo assessments determined by the Language Experience and Proficiency Questionnaire (LEAP-Q)39; geographic accessibility; and a study partner who sees the participant weekly, and who can participate as required in the protocol. Exclusion criteria include the presence of other significant known chronic brain disease (e.g., moderate to severe chronic static leukoencephalopathy including previous traumatic injury), multiple sclerosis, a serious developmental disability, malignant tumors, Huntington's disease, and other rarer brain illnesses; ongoing alcohol or drug abuse; total score on the Montreal Cognitive Assessment < 13 (MoCA)40; symptomatic stroke within the previous year; and unwilling or unable to undergo MRI scan or assessments. Ethics approval for secondary data analysis was obtained from Baycrest Health Sciences Research Ethics Board on February 11th, 2025 (REB# 25-06). Written informed consent was obtained from all participants. The data is stored in the Longitudinal Online Research and Imaging System (LORIS).41

Data

In order to investigate the relationship between inflammation and demographic, lifestyle and clinical variables of interest, the following data were selected from the COMPASS-ND dataset for this study: (1) Peripheral inflammation markers: IL-6 and high sensitivity CRP (hs-CRP); (2) Demographic factors: a. Sex; and b. Age; (3) Medical history: history of comorbidities associated with cardiovascular disease and elevated IL-6 and CRP, namely angina, cerebrovascular accident, heart attack or congestive heart failure, hypertension, peripheral vascular disease, and transient ischemic attack; (4) Lifestyle: a. The Short Diet Questionnaire,42 and the Nutrition Screening Index for older adults (SCREEN II)43; b. Sleep quality index (adapted from4447); c. History of smoking; d. Body mass index (BMI); (5) Cognitive impairment: MoCA scores; (6) White matter abnormalities on MRI scan—Fazekas scale: Participants were divided in groups based on their Fazekas score, determined by expert neuroradiology assessors. This scale is used to quantify the severity of white matter damage.48 Scores range from 0 to 3 based on the extent of the lesions as follows: a. Periventricular white matter damage: 0 = absent, 1 = pencil thin lesions, 2 = smooth “halo”, 3 = irregular periventricular signal extending into deep white matter; b. Subcortical white matter: 0 = absent, 1 = punctate foci, 2 = onset of confluence (fusion of lesions), 3 = large confluent areas.
The current COMPASS-ND cross-sectional cohort totals 1100 individuals across a number of neurodegenerative diagnoses. For this study, we investigated data from participants with AD and related cognitive impairment and healthy controls. Participants with missing data points were removed from the analyses. The final sample consisted of: mild AD (n = 60), Mixed dementia (Mixed; n = 65; individuals with a preponderance of vascular impairment along with a suspicion of a neurodegenerative element, i.e., AD), mild cognitive impairment (MCI; n = 179), vascular MCI (V-MCI; n = 122), and cognitively unimpaired adults (CU; n = 88). Analyses are based on data release 7. It should be noted that strict diagnosis of vascular dementia (such as younger individuals with stepwise cognitive decline leading to dementia after a series of large vessel cerebral infarcts) are rare in clinical practice and were not included in the COMPASS-ND cohorts. The Mixed dementia as well as the vascular MCI categories were derived after diagnostic reappraisal by expert clinicians using all evidence including MRI results, who concluded that the vascular element played a significant role in the cognitive impairment such as two or more silent brain infarcts in supratentorial locations (i.e., excluding cerebellum or brainstem) or extensive white matter disease defined as a modified Age-Related White Matter Change (ARWMC) Scale score ≥ 2.
The standard operating procedures for blood collection in the COMPASS-ND study included the use of BD Vacutainer tubes (BD Diagnostics, Franklin Lakes, NJ) to collect approximately 60 mL of blood by standard venipuncture. Visits were to be conducted in the morning, and participants were directed to fast for 12 h beforehand. Whenever these procedures were not followed, a note was made to the data collection form. In this study, all but 5 participants had blood collected before 12:00pm, and all but 33 participants had been fasting for at least 10 h.
IL-6 was measured by electrochemiluminescence on a Cobas e autoanalyzer using the Roche Elecsys® IL-6 assay. The assay is a non-competitive assay, using 2 monoclonal antibodies (mouse) forming a sandwich with IL-6. The measuring range is 1.5–5000 pg/mL. Inter-assay coefficients of variation are generally <10% for values within the adult reference range (≤7 pg/mL) and <5% for values >20 pg/mL. External Quality Assurance was performed with the College of American Pathologists (CAP) cytokines program.49
CRP was measured by particle enhanced immunoturbidimetry on a Roche c autoanalyzer, using the Roche Cardiac C-Reactive Protein (Latex) High Sensitive assay. Human CRP agglutinates with latex particles coated with mouse monoclonal anti-CRP antibodies. The precipitate formed is determined turbidimetrically. The assay is optimized to provide a measuring range of 0.15–20.0 mg/L with a between day coefficient of variation of 8.4% at 0.53 mg/L and 2.1% at 13.3 mg/L.50
Nutrition scores were adapted from the SCREEN II Nutrition Screening Index for Older Adults.43 Lower scores indicate increased risk for impaired nutritional states (scores ≤ 37 indicate a high nutrition risk, scores between 38 and 42 indicate moderate risk, and > 42 indicate low nutritional risk). Risk for malnutrition is defined as absolute deficiency or excess of one or more essential nutrients. Sleep scores were adapted from the Pittsburgh Sleep Quality Index.44 This index is generated based on seven component scores: subjective sleep quality, sleep latency, sleep duration, habitual sleep efficiency, sleep disturbances, use of sleeping medication, and daytime dysfunction. The sum of scores for these components yields one global score. Score ≤ 5 is associated with good sleep quality, while > 5 indicates poor sleep quality). Table 1 shows means and standard deviations for all variables and diagnostic groups.
Table 1. Demographic, cognitive, and clinical information for all groups.
VariablesDiagnostic groups
CUMCIV-MCIADMixedTotal
n881791226065514
Female participants (%)69 (78%)73 (40%)57 (46%)17 (28%)31 (47%)247 (48%)
Mean Age (SD)69 (5.6)70.7 (6.5)75.8 (6.3)74.2 (7.9)76.4 (7)72.8 (7.1)
Mean education (SD)14.7(2.9)15.1(2.8)14.8 (3.0)15(2.8)15.4 (2.4)15 (2.8)
Mean MoCA /30 (SD)27.7 (1.6)23.7 (3.3)22.9 (3.4)18.4 (3.9)17.8 (3.7)22.8 (4.5)
Mean IL-6 (SD)2.1 (1.4)3.1 (2.3)4.1 (4.5)4.6 (6.6)5.6 (8.2)3.7 (4.7)
Mean CRP (SD)1.8 (1.8)2 (5.5)2.4 (5.3)1.8 (4.4)2.5 (5.7)2.1 (4.9)
Mean Nutrition score /64 (SD)38.1 (6.3)38.1 (5.9)38.4 (6.4)40.7 (5.2)38.5 (6.5)38.5 (6.2)
Mean Sleep index /21 (SD)5.2 (3.2)5.2 (3.4)5.2 (3.7)4.2 (3)4.6 (3.3)5.1 (3.4)
Mean BMI (SD)26.8 (4.4)26.8 (4.8)26.7 (4.6)26.7 (4.1)27.1 (4.7)26.8 (4.6)
History of smoking per group (%)2 (2.2%)4 (2.2%)6 (4.9%)4 (6.6%)1 (1.5%)17 (3.3%)
Periventricular Fazekas group 0 (%)8 (9%)9 (5%)0 (0%)2 (3%)0 (0%)19 (3%)
Periventricular Fazekas group 1 (%)66 (75%)143 (79%)21 (17%)52 (86%)10(15%)292 (56%)
Periventricular Fazekas group 2 (%)13 (14%)27(15%)71 (58%)6 (10%)37 (56%)154 (29%)
Periventricular Fazekas group 3 (%)1 (1%)0 (0%)30 (24%)0 (0%)18 (27%)49 (9%)
Subcortical Fazekas group 0 (%)12 (13%)24 (13%)0 (0%)4 (6%)0 (0%)40 (7%)
Subcortical Fazekas group 1 (%)66 (75%)155 (86%)44 (36%)56 (93%)25 (38%)346 (67%)
Subcortical Fazekas group 2 (%)9 (10%)0 (0%)54 (44%)0 (0%)29 (44%)92 (17%)
Subcortical Fazekas group 3 (%)1 (1%)0 (0%)24 (19%)0 (0%)11 (17%)36 (7%)
Mean number of comorbidities per group (SD)3.02 (1.98)3.43 (2.28)3.78 (2.14)3.03 (2.12)3.64 (2.4)3.42 (2.2)
MoCA: Montreal Cognitive Assessment; IL-6: Interleukin-6; CRP: C-reactive protein; BMI: body mass index; CU: cognitively unimpaired; AD: Alzheimer's disease; Mixed: Mixed dementia; MCI: mild cognitive impairment; V-MCI: vascular MCI.

Analyses

The adult upper limit for normal IL-6 reported in the clinical assay used for this study was ≤ 7 pg/mL,49 while the CRP standard normal upper limit was ≤5 pg/mL.50 The number of individuals with IL-6 and CRP above this threshold as well the range of values is presented in Table 2. These values were established to detect clinically significant inflammation, but our goal was to investigate inflammaging, which is defined by chronic low-level inflammation. Clear ranges for chronic low-grade inflammation have not been established; therefore, we decided to analyze the relationship between low, medium, and high levels of inflammation in our cohort according to tertiles in order to highlight the thresholds between the three different levels.
Table 2. Number of participants with inflammation markers above normal levels as described in the clinical assay kits: IL-6 (7 pg/mL) and CRP (5 pg/mL); and range of values per diagnostic group.
VariablesDiagnostic groups
CUMCIV-MCIADMixedTotal
Above normal upper limit n (%)CU Total RangeAbove normal upper limit n (%)MCI Total RangeAbove normal upper limit n (%)V-MCI Total RangeAbove normal upper limit n (%)AD Total RangeAbove normal upper limit n (%)Mixed Total RangeAbove normal upper limit n (%)Total Range
IL-61 (1.1)1.5–11.213 (7.2)1.5–13.414 (11.4)1.5–32.26 (10)1.5–34.611(16)1.5–58.545 (8.7)1.5–58.5
CRP10 (11.3)0.15–7.812 (6.7)0.15–70.39 (7.3)0.2–54.85 (8.3)0.15–30.36 (9.2)0.15–33.842 (8.1)0.15–70.3
IL-6: Interleukin-6; CRP: C-reactive protein; CU: cognitively unimpaired; AD: Alzheimer's disease; Mixed: Mixed dementia; MCI: mild cognitive impairment; V-MCI: vascular MCI.
Cumulative link model (CLM) is a powerful model class for investigating ordinal data outcomes. Observations are treated as categorical, but the ordered nature is exploited, and the flexible regression framework allows in-depth analyses. The CLM can be seen as a model that combines several ordinary logistic regression models into a single model and therefore can be used to identify the effect of the independent variables on an ordinal outcome with more than two levels. In this study, CLM was used to investigate the relationship between the ordinal dependent variables (i.e., IL-6 status described as low, medium, or high; and CRP status described as low, medium, or high) and nine demographic and clinical features (age, sex, diagnostic group, history of smoking, number of comorbidities associated with inflammation, BMI, nutrition score, sleep quality index, and Fazekas score). Analyses were conducted in R version 4.4.0 (R core team, 2024) using the ordinal package (version 2023.12-4.1; Christensen, 2023). The proportional odds assumption was tested using the nominal_test function to confirm that the relationship between the predictors and the log-odds was constant across thresholds. All continuous variables were scaled prior to analysis.
Exploratory analyses revealed that the data was not normally distributed, rather the distribution was positively skewed both for IL-6 and CRP. Outliers were also identified. Data were scaled across diagnostic groups by subtracting the sample mean from the original variables, divided by the standard deviation (values = (x—mean) / SD). Outliers were adjusted with a standard Winsorization procedure (scores exceeding 1.5 standard deviations were rescaled to the highest or lowest observed value within ±1.5 standard deviations from the mean for each diagnostic group). Participants were then divided into tertiles within the values in the dataset. Following the outlier correction, IL-6 values were categorized as low (≤1.5 pg/mL), medium (1.6–3.1 pg/mL), and high (3.2–10.75 pg/mL). CRP values were categorized as low (≤0.6 pg/mL), medium (0.7–1.5 pg/mL), and high (1.51–5.5 pg/mL. For exploratory reasons, and in order to allow contextualization with previous findings in the literature, the relationship between our variables of interest and inflammation markers as continuous variables was also explored. We have included a supplemental analysis using the Spearman correlation for the continuous variables, and the Kruskal-Wallis test for the group tests (see the Supplemental Material).

Results

IL-6 status

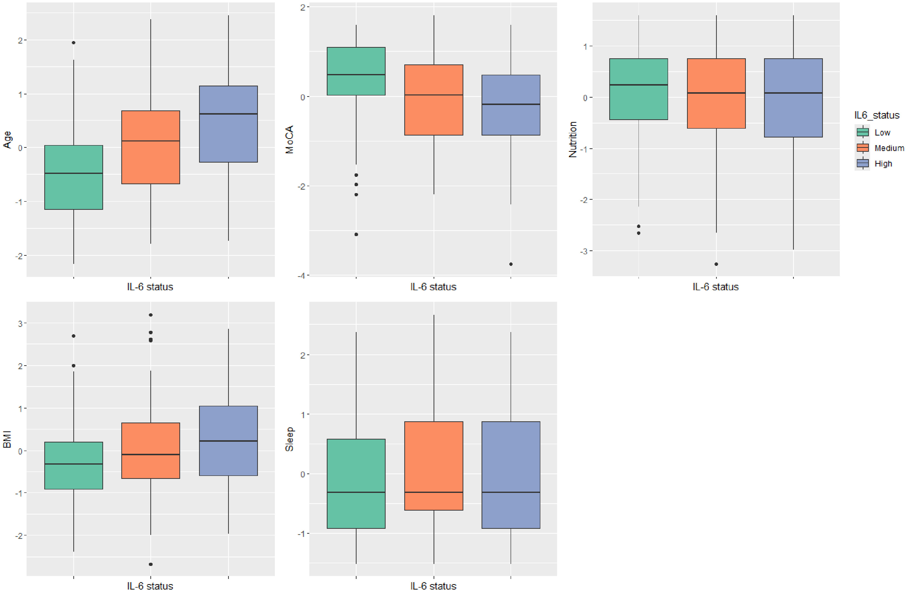
The test of nominal effects for goodness of fit revealed no significant differences for the predictors, demonstrating that the relationship between the predictors was constant. The CLM analysis revealed a relationship between IL-6 status, age, diagnostic group, MoCA scores, nutrition, sleep, BMI, and Fazekas score. Specifically regarding the diagnostic group, we found increased likelihood of higher IL-6 levels in the Mixed, and MCI groups in comparison to the CU group.
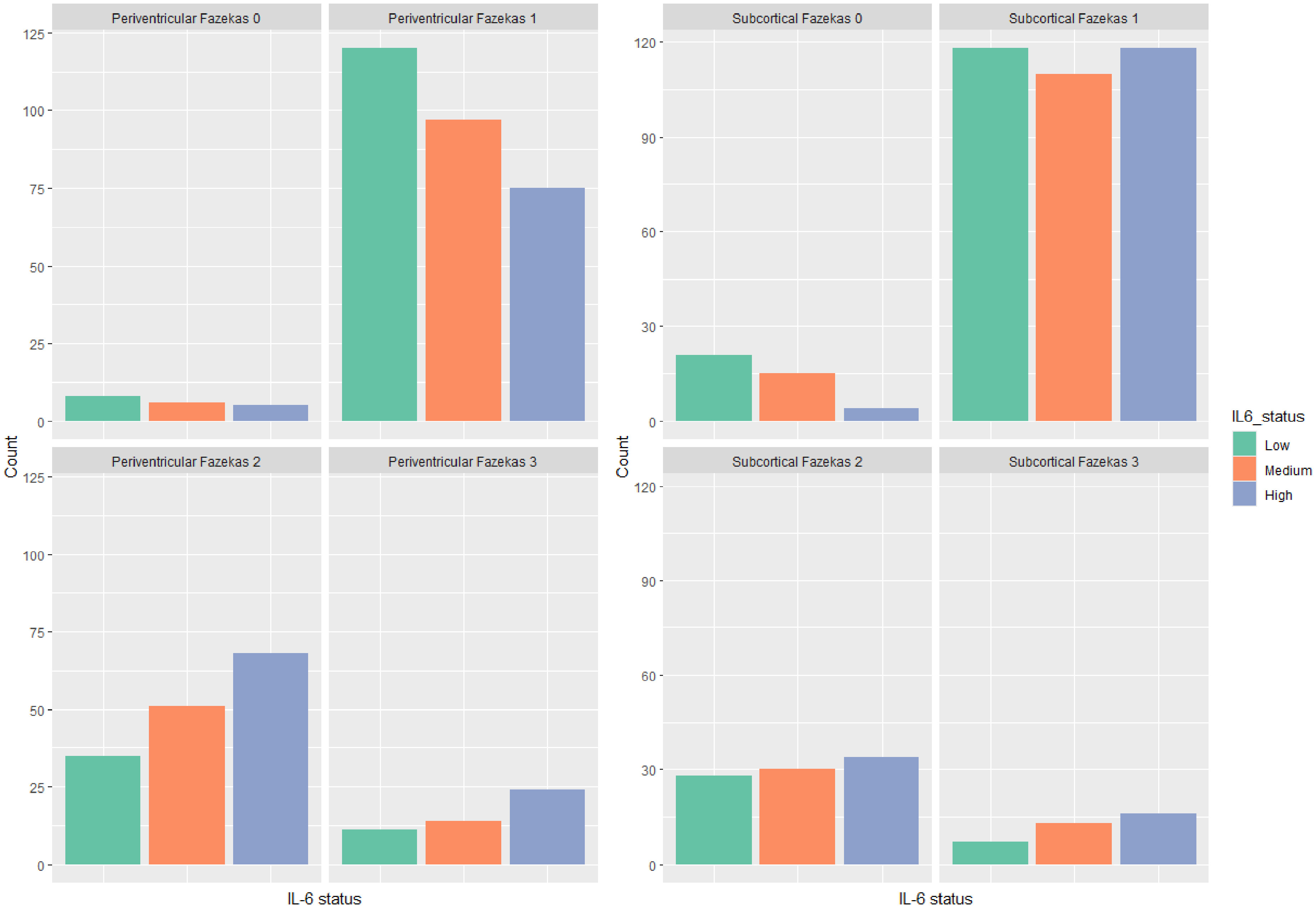
Increase in age, sleep scores and BMI were related to increase in IL-6 levels, and a decrease in MoCA and nutrition were related to increased levels of IL-6. We also found a relationship between IL-6 and the group with Periventricular Fazekas score 1 (a low amount of white matter abnormality), whereby receiving a Fazekas score 1 decreases the odds of being in a higher IL-6 category. A relationship was also found in the Subcortical Fazekas score 1, however all inflammation levels were overrepresented in that group. Results are presented in Table 3 and illustrated in Figures 14. A summary of the number of individuals in each diagnostic group with low, medium, and high IL-6 is presented in Table 4. It should be noted that when comorbidities and IL-6 were examined as continuous variable, there was a significant relationship found between IL-6 levels and number of comorbidities (see Supplemental Material).
Figure 1. Significant findings between IL-6 status and independent variables. IL-6: Interleukin-6; MoCA: Montreal Cognitive Assessment; BMI: body mass index.
Figure 2. IL-6 status per diagnostic group. IL-6: Interleukin-6; AD: Alzheimer's disease; CU: Cognitively unimpaired; MCI: mild cognitive impairment; Mixed: Mixed dementia; V-MCI: vascular MCI.
Figure 3. IL-6 status per Fazekas score. IL-6: Interleukin-6.
Figure 4. Odds ratios for independent variables in association with IL-6 status. MoCA: Montreal Cognitive Assessment; BMI: body mass index; AD: Alzheimer's disease; Mixed: Mixed dementia; MCI: mild cognitive impairment; V-MCI: vascular MCI.
Table 3. Relationship between IL-6 status and independent variables: cumulative link model main effects.
Independent variablesEstimate95% CIORMain effect p
Age0.740.53, 0.952.1p < 0.01*
Diagnosis of AD0.7−0.18, 1.592.01p = 0.12
Diagnosis of Mixed1.020.06, 2.002.79p = 0.03*
Diagnosis of MCI0.90.30, 1.512.47p < 0.01*
Diagnosis of V-MCI0.63−0.13, 1.411.88p = 0.1
MoCA−0.32−0.57, −0.070.72p = 0.01*
Sex (m)0.13−0.23, 0.491.13p = 0.48
Nutrition−0.19−0.37, −0.010.82p = 0.03*
Sleep0.180.01, 0.361.21p = 0.03*
BMI0.50.32, 0.691.66p < 0.01*
Smoking (y)−0.19−1.15, 0.750.82p = 0.69
Comorbidities0.06−0.11, 0.251.06p = 0.47
Fazekas Periventricular 1−0.97−2.00, 0.0390.37p= 0.05*
Fazekas Periventricular 2−0.45−1.57, 0.650.63p= 0.41
Fazekas Periventricular 3−0.51−1.88, 0.840.59p= 0.45
Fazekas Subcortical 10.740.01, 1.512.11p= 0.04*
Fazekas Subcortical 20.15−0.78, 1.111.17p= 0.74
Fazekas Subcortical 30.35−0.11, 0.251.43p = 0.55
CI: Confidence Intervals; OR: Odd ratios; MoCA: Montreal Cognitive Assessment; IL-6: Interleukin-6; BMI: body mass index; AD: Alzheimer's disease; Mixed: Mixed dementia; MCI: mild cognitive impairment; V-MCI: vascular MCI; *statistical significance defined as p ≤ 0.05.
Table 4. Tertile groups: number of individuals with low, medium, and high IL-6 per diagnostic group.
IL-6 statusCU n (%)MCI n (%)V-MCI n (%)AD n (%)Mixed n (%)Total n (%)
Low IL-6: ≤ 1.556 (63.6)58 (32.4)34 (27.8)17 (28.3)9 (13.8)174 (33.8)
Medium IL-6: 1.5-3.121 (23.8)66 (36.8)40 (32.7)21 (35)20 (30)168 (32.6)
High IL-6: > 3.111 (12.5)55 (30.7)48 (39.4)22 (36.6)36 (55.3)172 (33.4)
IL-6: Interleukin-6; CU: Cognitively unimpaired; MCI: mild cognitive impairment; V-MCI: vascular MCI AD: Alzheimer's disease; Mixed: Mixed dementia.

CRP status

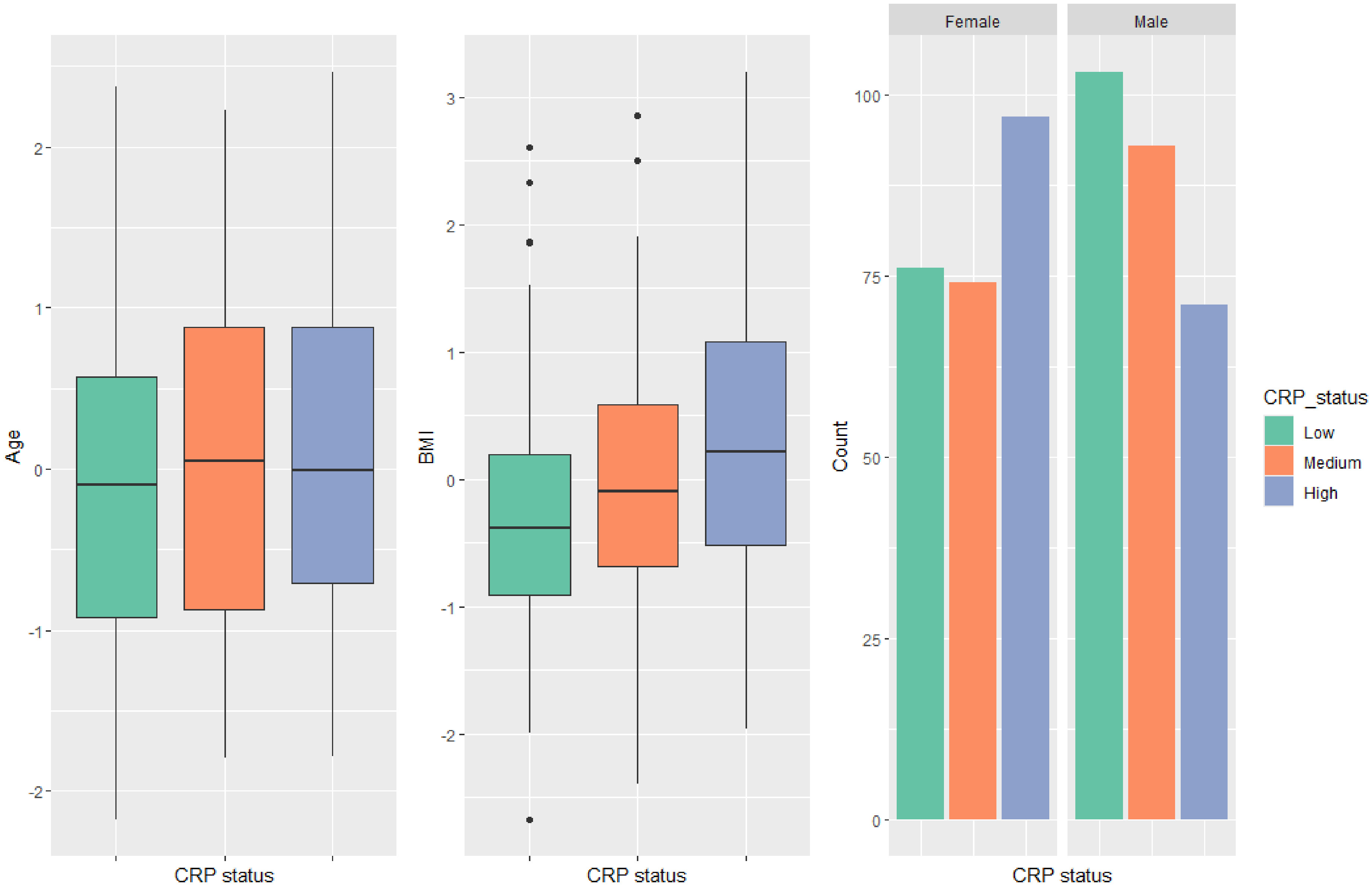
The test of nominal effects for goodness of fit revealed no significant differences for the predictors, demonstrating that the relationship between the predictors was constant. In this analysis, the CLM revealed a main effect between CRP status, age, BMI, and sex, whereby female participants were more likely to have higher levels of CRP than males. Increase in age and BMI were also related to increase in CRP levels. Results are presented in Table 5 and illustrated in Figures 5 and 6. A summary of the number of individuals in each diagnostic group with low, medium, and high CRP is presented in Table 6.
Figure 5. Significant findings between CRP status and independent variables. CRP: C-reactive protein; BMI: Body mass index.
Figure 6. Odds ratios for independent variables in association with CRP status. MoCA: Montreal Cognitive Assessment; IL-6: Interleukin-6; BMI: body mass index; AD: Alzheimer's disease; Mixed: Mixed dementia; MCI: mild cognitive impairment; V-MCI: vascular MCI; BMI: Body mass index.
Table 5. Relationship between CRP status and independent variables: cumulative link model main effects.
Independent variablesEstimate95% CIORMain effect p
Age0.280.09, 0.471.32p < 0.01*
Diagnosis of AD−0.62−1.45, 0.190.53p = 0.07
Diagnosis of Mixed−0.08−0.97, 0.810.91p= 0.85
Diagnosis of MCI−0.03−0.58, 0.50.96p= 0.89
Diagnosis of V-MCI0.22−0.48, 0.931.24p = 0.53
MoCA0.11−0.11, 0.351.12p = 0.31
Sex (m)−0.53−0.89, −0.180.58p< 0.01*
Nutrition−0.15−0.32, 0.020.86p = 0.09
Sleep−0.06−0.23, 0.110.94p = 0.48
BMI0.540.36, 0.721.72p < 0.01*
Smoking (y)0.68−0.3, 1.71.97p = 0.1
Comorbidities0.36−0.34, 0.010.84p = 0.06
Fazekas Periventricular 10.4−0.56, 1.311.44p= 0.44
Fazekas Periventricular 20.87−0.62, 1.431.49p= 0.44
Fazekas Periventricular 3−0.87−0.39, 2.152.38p= 0.17
Fazekas Subcortical 1−0.04−0.71, 0.630.95p= 0.9
Fazekas Subcortical 2−0.34−1.21, 0.530.71p= 0.44
Fazekas Subcortical 3−0.92−2.06, 0.210.39p = 0.11
CI: Confidence Interval, OR: Odds ratios; MoCA: Montreal Cognitive Assessment; CRP: C-reactive protein; BMI: body mass index; AD: Alzheimer's disease; Mixed: Mixed dementia; MCI: mild cognitive impairment; V-MCI: vascular MCI; CI: confidence interval. *statistical significance defined as p ≤ 0.05.
Table 6. Tertile groups: number of individuals with low, medium, and high CRP per diagnostic group.
CRP statusCU
n (%)
MCI
n (%)
V-MCI
n (%)
AD
n (%)
Mixed
n (%)
Total
n (%)
Low CRP: ≤ 0.625 (28.4)61 (34.1)37 (30.3)32 (53.3)24 (36.9)179 (34.8)
Medium CRP: 0.6-1.530 (34.1)64 (35.7)37 (30.3)15 (25)21 (32.3)167 (32.4)
High CRP: > 1.533 (37.5)54 (30.1)48 (39.3)13 (21.6)20 (30.7)168 (32.6)
CRP: C-reactive protein; CU: Cognitively unimpaired; MCI: mild cognitive impairment; V-MCI: vascular MCI; AD: Alzheimer's disease; Mixed: Mixed dementia.

Discussion

This study utilized a well-characterized cohort of an older Canadian sample with and without cognitive impairment and dementia to investigate levels of peripheral inflammation, aging, lifestyle, clinical features, and different types of cognitive impairment. Our results are in agreement with previous literature indicating a relationship between inflammation and aging. We have found that peripheral inflammation is common but by no means ubiquitous across neurodegenerative disease, and demonstrated that some variables are more strongly correlated with inflammation markers (aging and elevated BMI).
We specified groups with low, medium, and high levels of inflammation represented by the sample tertiles. Using this approach, we observed the expected cumulative relationship between levels of IL-6 and aging, BMI, nutrition, sleep, and MRI white matter changes (Fazekas scores). There was also a relationship between levels of IL-6 and cognitive function, represented by MoCA scores. Finally, there was a relationship between levels of IL-6 and diagnosis of MCI and Mixed, when compared to cognitively unimpaired older adults. We also found a relationship between CRP and age, BMI, and sex. These results have confirmed and expanded previous findings in the literature, as discussed below. Importantly, we found only a small percentage of individuals with IL-6 and CRP levels above the normal upper limit, demonstrating that few participants showed signs of clinical inflammation (i.e., approximately 8% individuals had IL-6 levels >7 pg/ml, as per the clinical assay specifications49). Within these participants, the highest occurrence of inflammation was in the Mixed and V-MCI groups.
To our knowledge, this is the first study to investigate IL-6 and CRP levels in AD, MCI, V-MCI, Mixed dementia, and cognitively unimpaired older adults in the same cohort. The difference between diagnostic groups is a novel and important finding in our study. We found increased levels of IL-6 to be present in the cohort of subjects with mixed dementia, but not AD, when both groups were compared to cognitively unimpaired controls. This is consistent with the idea that vascular factors mediate the effect of peripheral inflammation on cognitive impairment.
Mounting evidence suggests that the pathophysiology of ADRD is marked by more than neurological changes, but also by burden in the periphery.185153 Although a specific relationship between ADRD and peripheral inflammation has not been established, vascular disease is a known point of convergence between inflammation and cognitive impairment. Cerebrovascular disorders such as stroke and cerebral small vessel disease are known to disturb neurovascular function and affect the BBB, which may trigger neuro-inflammation.54,55
Vascular dysfunction is often present in AD, but the participants in the COMPASS-ND study go through rigorous clinical and imaging scrutiny in order to obtain a final diagnosis, and the absence of significant vascular disease on MRI scanning is a core criteria for the diagnosis of AD. The scarcity of increased IL-6 levels in the AD cohort when compared to the mixed dementia group is also consistent with the idea that vascular dysfunction can compromise the integrity of the BBB and mediate the effect of peripheral inflammation on cognitive impairment.30,31
It would be expected that if vascular factors mediate the effect of peripheral inflammation on cognitive impairment, then inflammation levels should bear a strong relationship with vascular findings on MRI, and this is indeed the case. We found a relationship between IL-6 and the group with Fazekas score of 1, whereby receiving a Fazekas score of 1 (effectively the lowest rating of white matter MRI changes) decreases the log cumulative odds of being in a higher IL-6 category. Because of their age, very few participants had a Fazekas score of 0, representing no white matter change. The large majority (90%) of the cohort had a Fazekas score of 1 (pencil thin lesions) or 2 (beginning confluence of lesions). A significant relationship was also found in the group with Subcortical Fazekas 1; however, all IL-6 status were overrepresented in that group, without indication of a continuous relationship between variables. These findings suggest that elevations in IL-6 may be largely contributing to cognitive impairment via vascular mechanisms. This conclusion is tentative, given that IL-6 is also elevated in MCI subjects.
Although we did not find a significant difference in IL-6 levels in the group with AD (in comparison with the cognitively unimpaired group), we did find elevated IL-6 in the group of subjects with MCI, in often cases a prodromal early phase of AD. A number of explanations can be proposed for this finding, not mutually exclusive. Perhaps peripheral inflammation is an early feature in the time-course of events whose cascade results in AD. Perhaps the evident drop in BMI in the AD group (poor nutrition is a characteristic of AD56) results in a decrease in the degree of peripheral inflammation.
Notably, elevation in IL-6 was shown to be related to a diagnosis of neurodegenerative conditions and cognitive impairment as reflected in the MoCA scores, while CRP was not. In normal healthy conditions, the BBB regulates the passage of substances from the bloodstream into the brain, meaning that not much IL-6 crosses the barrier under normal circumstances. Under inflammatory conditions, the integrity of the BBB can be compromised. This increased permeability allows cytokines like IL-6 to cross more readily. Conditions such as infections, traumatic brain injury, or dementia can lead to elevated levels of IL-6 in the central nervous system (CNS).31 CRP is a protein mechanistically downstream from IL-6, and may simply be a less sensitive biomarker. Although inflammatory conditions or brain injuries may compromise the integrity of the BBB and allow some proteins to cross more readily, the BBB restricts the passage of large molecules like CRP. Our findings suggest that IL-6 may exert a more robust effect from the periphery to the CNS.
Only a few individuals who were cognitively unimpaired (n = 11, or 12%) were present in the High IL-6 group. At the same time, there existed individuals in all dementia and pre-dementia categories who did not show peripheral inflammation. Elevated IL-6 is therefore not ubiquitous in dementia—perhaps peripheral inflammation defines a mechanistic subgroup within each dementia cohort.
In agreement with previous studies, differences were also observed in the analyses investigating sex differences, whereby more female participants had increased levels of CRP than males. Differences in aging between male and female participants have been widely investigated in the literature.57 In general, female participants tend to have higher total life expectancy than males, but female participants have an increased risk to live an unhealthy longevity characterized by functional impairment, which has been dubbed the female–male health–survival paradox.58,59 It has been suggested that this paradox may be caused by hormonal and genetic sex-related differences. For instance, age at natural menopause is considered a marker of biological aging and is increasingly recognized as a marker for chronic disease risk in later life and age-related morbidity and mortality.60,61 We did not find the same results in the IL-6 analysis. The reason for this discrepancy is unknown but may be related to inherent differences between IL-6 and CRP. IL-6 is a multifunctional cytokine, which are small proteins produced by a variety of cells and tissue throughout the body. In turn, CRP is a larger protein produced by the liver, induced by cytokines such as IL-6, IL-1, and TNF-alpha. It is possible that differences in liver function or other hormonal or genetic characteristics might differently affect CRP production in female participants. Further studies should investigate these hypotheses.
Our data suggest that obesity (elevated BMI) is a major driver of inflammation in aging, considering that significant differences were found both in IL-6 and CRP levels, with higher OR than other clinical variables investigated (OR 1.66 in the IL-6 analysis, OR 1.72 in the CRP analysis). In our sample, 200 participants (39.4%) were overweight (BMI range: 24.9–29.9) and 114 (22.1%) were obese (BMI: 30-48).
The relationship between BMI and inflammation was the most robust association in our sample, alongside aging. This suggests that obesity may be a key driver of peripheral inflammation in the elderly population. Adipose tissue is one of the main sources of IL-6 and aging-related increase in adiposity has been suggested as one of them main probable triggers of inflammaging.18 Adipose tissue-derived IL-6 may have an effect on metabolism through several mechanisms, including adipose tissue-specific gene expression, triglyceride release, lipoprotein lipase downregulation, and insulin sensitivity.62 Obesity is a complex condition that can be influenced by many factors like genetics, diet, physical activity levels, environmental, socioeconomic, and behavioral factors. It is also associated with an increased risk of developing aging related conditions like diabetes, atherosclerosis, cardiovascular disease, and other chronic conditions. Obesity seems to be at the crossroads of several conditions associated with aging, inflammation, and possibly contributing to neurodegeneration and dementia. Future studies should investigate the effect of obesity in cognitive impairment taking into consideration the possible direct or indirect routes through which this condition can affect brain health.
Decreased sleep and less brain protective diets were also factors, but weaker ones. Nutrition scores were found to be related to IL-6 levels whereby worse nutrition was linked to increase in IL-6. It is known that specific foods and nutrients can help modulate acute and chronic inflammation status,63,64 and the benefits of a healthy diet for successful aging are widely known. However, the impact of dietary intervention trials to prevent dementia has proven less efficacious than expected.65 Further studies should investigate the relationship between BMI, nutrition, aging, and cognitive impairment to assess if specific nutrition plans focusing on BMI reduction and/or anti-inflammatory diets can increase successful aging.
A relationship between cognitive impairment, sleep disturbances and increased risk of dementia has been widely explored.66,67 Sleep disturbances are a common feature of dementia, and nearly half of all adults older than 60 years of age report sleep disturbances.68 Sleep disturbances are linked to inflammation, and inflammation has been linked to increased Aβ and vascular burden.68 Since both sleep disturbance and inflammation are modifiable risk factors for dementia, understanding of the mechanisms linking sleep disturbance and dementia could facilitate the identification of targets for prevention.
The mechanisms underlying neurodegeneration and dementia are complex and multifaceted. A combination of several environmental and genetic factors are related to its etiology and progression. As such, a combination of lifestyle changes including weight management, anti-inflammatory diet, and better sleep habits, would likely be effective interventions strategies for reducing dementia risk.
As a limitation, an investigation of the relationship between increased BMI and increased body fat content, levels of exercise, and activities of daily living were not part of the scope of this study. The inclusion of these factors in future studies might help describe the relationship between BMI, nutrition and inflammation. A relationship between inflammation and comorbidities was not found when the tertiles approach was used, but a correlation did emerge when IL-6 and comorbidities were examined as continuous variables. This is consistent with a large literature demonstrating that various disease states (cardiovascular disease, diabetes, hypertension, hyperlipidemia, for instance) can increase the degree of peripheral inflammation. Note that we did not investigate the relationship between specific comorbidities and peripheral inflammation but rather considered the number of comorbidities as a factor. It is possible that some of the comorbidities we identified may be more significantly related to peripheral inflammation than others. For instance, diabetes type II (DT2) is a risk factor for cognitive dysfunction and is associated with elevated levels of IL-6 and CRP, as well as elevated BMI. In this study, 53 individuals reported having been diagnosed with DT2 (10.3% of the cohort). Within the CRP status groups, the distribution of individuals with diabetes was essentially uniform, with 19 individuals in Group 0 (10.6% of the group); 16 individuals in Group 1 (9.5%); and 18 individuals in group 2 (10.7%). In the IL-6 status groups we found 12 individuals in Group 0 (6.8%); 15 individuals in Group 1 (8.9%); and 26 individuals in Group 2 (15.1%). The mean MoCA score was identical between individuals with and without a diagnosis of DT2 (M = 22), but mean BMI was higher in individuals with DT2 (M = 28) in comparison with individuals without DT2 (M = 26). Future studies should further investigate these relationships.
Further, although the MoCA is a validated tool for detecting cognitive impairment, it is not a full neuropsychological evaluation. Future studies will investigate the relationship between inflammation levels and a complete neuropsychological battery.
We did not find a relationship between inflammation and smoking, but very few of our participants reported a history of smoking (17 out of 514, or 3.3%). A comparison within a group of aging participants with a larger presence of smokers could lead to different results. Finally, the investigation would be considerably helped by longitudinal data, which is currently being collected on most of the cohort.
Clearly, peripheral low grade inflammation is common; if 36% of cognitively unimpaired older individuals display elevated IL-6, and roughly 70% of those with cognitive impairment also do so (such individuals make up roughly 20% of the aging population, according to the Alzheimer Society of Canada69), then roughly 42% of older individuals show peripheral inflammation. Moreover, there is a clear split—about half of such individuals would show some form of cognitive impairment, while the other half do not. This in itself is illuminating—clearly the presence of peripheral inflammation, while predisposing towards development of cognitive impairment, is not incompatible with the presence of normal cognition. Ongoing longitudinal follow-up of this Canadian cohort should allow us to better understand the prognosis of low grade peripheral inflammation in those who are cognitively unimpaired.
We trust that a better understanding of the mechanisms related to the effects of peripheral inflammation, neuroinflammation, and cognitive impairment may contribute to the prevention and treatment of dementia. Future studies in this cohort will investigate the association between peripheral inflammation and neuro-inflammation in relation to other biomarkers of cognitive impairment and dementia.

Acknowledgements

This paper uses data from the COMPASS-ND study of the CCNA (The Canadian Consortium on Neurodegeneration in Aging) which is supported by a grant (# FRN1632902) from the Canadian Institutes of Health Research with funding from several partners (Brain Canada, Alzheimer Society of Canada, Women's Brain Health Initiative, Picov Family Foundation, New Brunswick Health Research Foundation, Saskatchewan Health Research Foundation, Ontario Brain Institute). Dr Howard Chertkow is the Scientific Director of CCNA and a member of the COMPASS-ND cross-cutting program. Dr Pedro Rosa-Neto is leader of CCNA Team 2: Inflammation & nerve growth factors. Dr Natalie Phillips is leader of Team 17: Interventions at the sensory and cognitive interface. Dr Michael Borrie is the COMPASS-ND Lead.

Ethical considerations

Ethics approval for secondary data analysis was obtained from Baycrest Health Sciences Research Ethics Board on February 11, 2025 (REB# 25-06).

Consent to participate

Written informed consent was obtained from all participants.

Consent for publication

Not applicable

Declaration of conflicting interests

The authors declared the following potential conflicts of interest with respect to the research, authorship, and/or publication of this article: Pedro Rosa-Neto has received personal compensation in the form of consulting fees from Novonordist, Eisai, and Eli Lilly; spends 20% effort on relevant clinical procedures for McGill University Research Centre for Studies in Aging—Lumbar Punctures—biomarkers studies; and receives the following research support: Operating Funding—Weston Brain Institute, Neuroinflammation Research; Operating funds—Canadian Institutes of Health Research (CIHR) (FRN, 152985), Tau propagation Research; and Infrastructure Funds—Fonds de Recherche du Québec – Santé (FRQS; (MOP-11-51-31), Aging cohort.
Dr Howard Chertkow has been supported by a Foundation Grant from the CIHR (Canadian Institutes for Health Research), along with operating funds from the Weston Foundation, Weston Brain Institute, and the National Institute of Health (USA) (Aging Research)-Phase II clinical trial of transcranial direct current stimulation in the treatment of primary progressive aphasia-1R01AG075111-01A1. Dr Chertkow directs the Bank Centre for Clinical Trials Research at Baycrest, which carries out pharmaceutical clinical trial activities sponsored by pharma companies. Any profits from these are returned to the research institute at Baycrest. Dr Chertkow, via the Bank Centre for Clinical Trials Research, has participated as a site PI in the past five years for pharmaceutical clinical trial activities sponsored by the following companies: Hoffmann-La Roche Limited, Eli Lilly Corp., Anavex Life Sciences, Alector LLC, Eisai, Bristol-Myers-Squibb (BMS), AriBio, Biogen MA Inc., IntelGenX Corp., and Immunocal. Dr Chertkow has received honoraria for sitting on advisory boards for Eisai, Biogen, and Lilly Inc. in Canada.
The remaining authors declared no potential conflicts of interest with respect to the research, authorship, and/or publication of this article.

Funding

The authors disclosed receipt of the following financial support for the research, authorship, and/or publication of this article: This work was supported by the Bresver Family Foundation.

ORCID iDs

Data availability statement

The data supporting the findings of this study are available in the Canadian Consortium on Neurodegeneration in Aging Longitudinal Online Research and Imaging System (LORIS) at https://ccna.loris.ca.

References

1. Ahmad MA, Kareem O, Khushtar M, et al. Neuroinflammation: a potential risk for dementia. Int J Mol Sci 2022; 23: 616.
2. Mekli K, Lophatananon A, Maharani A, et al. Association between an inflammatory biomarker score and future dementia diagnosis in the population-based UK Biobank cohort of 500,000 people. PloS One 2023; 18: e0288045.
3. Leonardo S, Fregni F. Association of inflammation and cognition in the elderly: a systematic review and meta-analysis. Front Aging Neurosci 2023; 15: 1069439.
4. Tan ZS, Beiser AS, Seshadri S, et al. Inflammatory markers and the risk of Alzheimer disease: the Framingham study. Neurology 2007; 68: 1902–1908.
5. Schuitemaker A, Dik MG, Veerhuis R, et al. Inflammatory markers in AD and MCI patients with different biomarker profiles—interpretation of serum and CSF levels. Neurobiol Aging 2010; 31: 1655–1655.
6. Shen X-N, Niu L-D, Wang Y-J, et al. Inflammatory markers in Alzheimer’s disease and mild cognitive impairment: a meta-analysis and systematic review of 170 studies. J Neurol Neurosurg Psychiatry 2019; 90: 590–598.
7. Li X, Li C, Zhang W, et al. Inflammation and aging: signaling pathways and intervention therapies. Signal Transduct Target Ther 2023; 8: 239.
8. Lecordier S, Manrique-Castano D, El Moghrabi Y, et al. Neurovascular alterations in vascular dementia: emphasis on risk factors. Front Aging Neurosci 2021; 13: 727590–727590.
9. Nagpal R, Shively CA, Register TC, et al. Gut microbiome-Mediterranean diet interactions in improving host health. F1000Res 2019; 8: 699.
10. McGrattan AM, McGuinness B, McKinley MC, et al. Diet and inflammation in cognitive ageing and Alzheimer’s disease. Curr Nutr Rep 2019; 8: 53–65.
11. Szczechowiak K, Diniz BS, Leszek J. Diet and Alzheimer's dementia–Nutritional approach to modulate inflammation. Pharmacol Biochem Behav 2019; 184: 172743.
12. Gubbels Bupp MR. Sex, the aging immune system, and chronic disease. Cell Immunol 2015; 294: 102–110.
13. Irwin MR, Olmstead R, Carroll JE. Sleep disturbance, sleep duration, and inflammation: a systematic review and meta-analysis of cohort studies and experimental sleep deprivation. Biol Psychiatry 2016; 80: 40–52.
14. Franceschi C, Garagnani P, Parini P, et al. Inflammaging: a new immune–metabolic viewpoint for age-related diseases. Nat Rev Endocrinol 2018; 14: 576–590.
15. Darabseh MZ, Maden-Wilkinson TM, Welbourne G, et al. Fourteen days of smoking cessation improves muscle fatigue resistance and reverses markers of systemic inflammation. Sci Rep 2021; 11: 12286.
16. Saint-André V, Charbit B, Biton A, et al. Smoking changes adaptive immunity with persistent effects. Nature 2024; 626: 827–835.
17. Del Giudice M, Gangestad SW. Rethinking IL-6 and CRP: why they are more than inflammatory biomarkers, and why it matters. Brain Behav Immun 2018; 70: 61–75.
18. Puzianowska-Kuźnicka M, Owczarz M, Wieczorowska-Tobis K, et al. Interleukin-6 and C-reactive protein, successful aging, and mortality: the PolSenior study. Immun Ageing 2016; 13: 21–21.
19. Zhao Z, Zhang J, Wu Y, et al. Plasma IL-6 levels and their association with brain health and dementia risk: a population-based cohort study. Brain Behav Immun 2024; 120: 430–438.
20. Permpoonputtana K, Namyen J, Buntup D, et al. Association of cognitive impairment and peripheral inflammation in methamphetamine-dependent patients: a cross-sectional study on neuroinflammatory markers TNF-α and IL-6. Clin Psychopharmacol Neurosci 2025; 23: 234.
21. Chen YH, Jan JS, Yang CH, et al. Cognitive sequelae of COVID-19: mechanistic insights and therapeutic approaches. CNS Neurosci Therap 2025; 31: e70348.
22. Baune BT, Konrad C, Grotegerd D, et al. Interleukin-6 gene (IL-6): a possible role in brain morphology in the healthy adult brain. J Neuroinflammation 2012; 9: 25.
23. Williams JA, Burgess S, Suckling J, et al. Inflammation and brain structure in schizophrenia and other neuropsychiatric disorders: a Mendelian randomization study. JAMA Psychiatry 2022; 79: 498–507.
24. Guo Y, Jiang X, Jia L, et al. Altered gray matter volumes and plasma IL-6 level in major depressive disorder patients with suicidal ideation. Neuroimage Clin 2023; 38: 103403.
25. Harrell ER, Bui C, Newman SD, et al. A mixed-effects model of associations between interleukin-6 and hippocampal volume. J Gerontol A Biol Sci Med Sci 2022; 77: 683–688.
26. Chen Y, Yu Y. Tau and neuroinflammation in Alzheimer’s disease: interplay mechanisms and clinical translation. J Neuroinflammation 2023; 20: 165.
27. Chen H, Cao Y, Ma Y, et al. Age-and sex-specific modifiable risk factor profiles of dementia: evidence from the UK biobank. Eur J Epidemiol 2023; 38: 83–93.
28. Khan MA, Mujahid M. Recent advances in electrochemical and optical biosensors designed for detection of interleukin 6. Sensors 2020; 20: 646.
29. Mei B, Li J, Zuo Z. Dexmedetomidine attenuates sepsis-associated inflammation and encephalopathy via central α2A adrenoceptor. Brain Behav Immun 2021; 91: 296–314.
30. Alaqel SI, Imran M, Khan A, et al. Aging, vascular dysfunction, and the blood–brain barrier: unveiling the pathophysiology of stroke in older adults. Biogerontology 2025; 26: 67.
31. Grebenciucova E, VanHaerents S. Interleukin 6: at the interface of human health and disease. Front Immunol 2023; 14: 1255533.
32. McDade TW. Three common assumptions about inflammation, aging, and health that are probably wrong. Proc Natl Acad Sci U S A 2023; 120: e2317232120.
33. Said EA, Al-Reesi I, Al-Shizawi N, et al. Defining IL-6 levels in healthy individuals: a meta-analysis. J Med Virol 2021; 93: 3915–3924.
34. Maggio M, Guralnik JM, Longo DL, et al. Interleukin-6 in aging and chronic disease: a magnificent pathway. J Gerontol A Biol Sci Med Sci 2006; 61: 575–584.
35. Capitani E, Della Sala S, Spinnler H. Controversial neuropsychological issues in Alzheimer's disease: influence of onset-age and hemispheric asymmetry of impairment. Cortex 1990; 26: 133–145.
36. Paran Y, Yablecovitch D, Choshen G, et al. C-reactive protein velocity to distinguish febrile bacterial infections from non-bacterial febrile illnesses in the emergency department. Crit Care 2009; 13: R50.
37. Kushner I, Antonelli MJ. What should we regard as an “elevated” C-reactive protein level? Ann Intern Med 2015; 163: 326.
38. Chertkow H, Borrie M, Whitehead V, et al. The comprehensive assessment of neurodegeneration and dementia: Canadian cohort study. Can J Neurol Sci 2019; 46: 499–511.
39. Marian V, Blumenfeld HK, Kaushanskaya M. The language experience and proficiency questionnaire (LEAP-Q): assessing language profiles in bilinguals and multilinguals. J Speech Lang Hear Res 2007; 50: 940–967.
40. Nasreddine ZS, Phillips NA, Bédirian V, et al. The Montreal cognitive assessment, MoCA: a brief screening tool for mild cognitive impairment. J Am Geriatr Soc 2005; 53: 695–699.
41. Mohaddes Z, Das S, Abou-Haidar R, et al. National neuroinformatics framework for Canadian consortium on neurodegeneration in aging (CCNA). Front Neuroinform 2018; 12: 85.
42. Shatenstein B, Nadon S, Godin C, et al. Development and validation of a food frequency questionnaire. Can J Diet Pract Res 2005; 66: 67–75.
43. Keller HH, Goy R, Kane SL. Validity and reliability of SCREEN II (seniors in the community: risk evaluation for eating and nutrition, version II). Eur J Clin Nutr 2005; 59: 1149–1157.
44. Buysse DJ, Reynolds CF 3rd, Monk TH, et al. The Pittsburgh Sleep Quality Index: a new instrument for psychiatric practice and research. Psychiatry Res 1989; 28: 193–213.
45. Postuma RB, Gagnon JF, Vendette M, et al. Quantifying the risk of neurodegenerative disease in idiopathic REM sleep behavior disorder. Neurology 2009; 72: 1296–1300.
46. Mallon L, Broman JE, Hetta J. Restless legs symptoms with sleepiness in relation to mortality: 20-year follow-up study of a middle-aged Swedish population. Psychiatry Clin Neurosci 2008; 62: 457–463.
47. Winkelman JW, Shahar E, Sharief I, et al. Association of restless legs syndrome and cardiovascular disease in the sleep heart health study. Neurology 2008; 70: 35–42.
48. Fazekas F, Kleinert R, Offenbacher H, et al. Pathologic correlates of incidental MRI white matter signal hyperintensities. Neurology 1993; 43: 1683–1689.
49. Diagnostics R. Elecsys IL-6 assay: Instructions for use under Emergency Use Authorization. U.S. Food and Drug Administration., https://www.fda.gov/media/138595/download (2020).
50. Dati F, Johnson AM, Whicher JT. The existing interim consensus reference ranges and the future approach. Clin Chem Lab Med 2001; 39: 1134–1136.
51. Swardfager W, Lanctôt K, Rothenburg L, et al. A meta-analysis of cytokines in Alzheimer's disease. Biol Psychiatry 2010; 68: 930–941.
52. Brosseron F, Krauthausen M, Kummer M, et al. Body fluid cytokine levels in mild cognitive impairment and Alzheimer’s disease: a comparative overview. Mol Neurobiol 2014; 50: 534–544.
53. Lyra e Silva NM, Gonçalves RA, Pascoal TA, et al. Pro-inflammatory interleukin-6 signaling links cognitive impairments and peripheral metabolic alterations in Alzheimer’s disease. Transl Psychiatry 2021; 11: 251–251.
54. Noe CR, Noe-Letschnig M, Handschuh P, et al. Dysfunction of the blood-brain barrier—a key step in neurodegeneration and dementia. Front Aging Neurosci 2020; 12: 185.
55. Hussain B, Fang C, Chang J. Blood-brain barrier breakdown: an emerging biomarker of cognitive impairment in normal aging and dementia. Front Neurosci 2021; 15: 688090.
56. Franx BA, Arnoldussen IA, Kiliaan AJ, et al. Weight loss in patients with dementia: considering the potential impact of pharmacotherapy. Drugs Aging 2017; 34: 425–436.
57. Olivieri F, Marchegiani F, Matacchione G, et al. Sex/gender-related differences in inflammaging. Mech Ageing Dev 2023; 211: 111792.
58. Case AC, Paxson C. Sex Differences in Morbidity and Mortality. Cambridge, MA: National Bureau of Economic Research, 2004.
59. Oksuzyan A, Juel K, Vaupel JW, et al. Men: good health and high mortality. Sex differences in health and aging. Aging Clin Exp Res 2008; 20: 91–102.
60. Finch CE. The menopause and aging, a comparative perspective. J Steroid Biochem Mol Biol 2014; 142: 132–141.
61. Schoenaker DAJM, Jackson CA, Rowlands JV, et al. Socioeconomic position, lifestyle factors and age at natural menopause: a systematic review and meta-analyses of studies across six continents. Int J Epidemiol 2014; 43: 1542–1562.
62. Eder K, Baffy N, Falus A, et al. major inflammatory mediator interleukin-6 and obesity. Inflamm Res 2009; 58: 727–736.
63. Minihane AM, Vinoy S, Russell WR, et al. Low-grade inflammation, diet composition and health: current research evidence and its translation. Br J Nutr 2015; 114: 999–1012.
64. Charisis S, Ntanasi E, Yannakoulia M, et al. Diet inflammatory index and dementia incidence: a population-based study. Neurology 2021; 97: e2381–e2391.
65. Stephen R, Barbera M, Peters R, et al. Development of the first WHO guidelines for risk reduction of cognitive decline and dementia: lessons learned and future directions. Front Neurol 2021; 12: 763573.
66. Ju Y-ES, Lucey BP, Holtzman DM. Sleep and Alzheimer disease pathology—a bidirectional relationship. Nat Rev Neurol 2014; 10: 115–119.
67. Zhang Y, Ren R, Yang L, et al. Sleep in Alzheimer’s disease: a systematic review and meta-analysis of polysomnographic findings. Transl Psychiatry 2022; 12: 136–136.
68. Irwin MR, Vitiello MV. Implications of sleep disturbance and inflammation for Alzheimer's disease dementia. Lancet Neurol 2019; 18: 296–306.
69. Alzheimer Society of Canada. Rising tide: the impact of dementia on Canadian society. Toronto, Ontario: Alzheimer Society of Canada, 2010.

Supplementary Material

Please find the following supplemental material available below.

For Open Access articles published under a Creative Commons License, all supplemental material carries the same license as the article it is associated with.

For non-Open Access articles published, all supplemental material carries a non-exclusive license, and permission requests for re-use of supplemental material or any part of supplemental material shall be sent directly to the copyright owner as specified in the copyright notice associated with the article.