Skip to main content
Intended for healthcare professionals
Open access
Research article
First published online January 15, 2024

The imbalanced effect of politicization: How EU politicization favours Eurosceptic parties

Abstract

This article investigates how the systemic politicization of the EU is associated with support for different political parties. We argue that, while politicization involves actions by both Eurosceptic and Europhile parties, it does not affect parties at both extremes of the continuum in the same way. To investigate these differentiated effects, we leverage data from the European Elections Study and the Chapel Hill expert survey covering two decades (1999 to 2019). The evidence supports the hypothesis that, when it comes to voters’ preferences, politicization strongly favours Eurosceptic parties. We conclude that the systemic politicization of European issues is thus a one-way street leading to the reinforcement of the constraining dissensus on the EU.

Introduction

Gone are the days when the European Union (EU) was considered an unpoliticized arena. Recent studies suggest that European integration, and EU policies in general, have become increasingly conflictual over the past years, both among political elites and in the media (Atikcan, 2018; Braun et al., 2016; De Vries and Hobolt, 2012; Houde et al, 2022). The politicization of European integration can also be seen at the mass level, with studies showing that the European issue weighs more heavily in citizens’ vote choices than used to be the case just a couple of decades ago (Beaudonnet and Gomez, 2017; Belot and Van Ingelgom, 2015; Carrieri, 2020; De Vries et al., 2011; Goldberg et al., 2020; Le Gall, 2019). This pattern of increasing politicization has not happened everywhere in the EU, and so there is wide variation both within and across countries, but it seems to have impacted most member states (Grossman et al., 2019; Hoeglinger, 2016; Hutter et al., 2016; Hutter and Kerscher, 2014).
Against this background, research on the diverse consequences of EU politicization has become critical. While the process of politicization, and its trajectory across different arenas, has attracted much attention in the literature, there are still gaps in our understanding of how it relates to support for different political parties. So far, the literature has focused on how politicization, or some aspects associated with it (e.g., issue salience), affects preferences for mainstream and protest/challenger parties. But the question of whether the systemic politicization of the EU favours Europhile as well as Eurosceptic parties has been largely overlooked. Does greater politicization within the party system increase individuals’ preferences for parties with more extreme positions on the EU, whether against or in favour? Or does it only benefit those parties that challenge the status quo with positions that entail winding back European integration?
In this article, we tackle these questions by looking at how preferences for parties vary across different levels of systemic EU politicization (that is, the politicization of European integration among political parties). Our study contributes to the current debates in the literature in two ways. First, it provides a framework that enables us to see EU politicization as a process that has mainly benefitted one side of the spectrum. Second, it leverages two decades of data on systemic politicization (using the Chapel Hill expert survey (CHES)) and citizens’ party preferences (using the European Elections Study (ESS) between 1999 and 2019) to test the plausibility of our arguments. To the best of our knowledge, this is the first piece that investigates the association between politicization and party preferences over such a long period of time.
Drawing from social psychology and the literature on niche and challenger parties, we argue that politicization is a one-way street whose effects tend to favour Eurosceptic parties. By definition, EU politicization results from pro-EU parties engaging in a debate over European integration with those who challenge the status quo (‘issue challengers’) (Braun and Grande, 2021; De Vries and Hobolt, 2012; Gattermann et al., 2021). But politicization not only entails raising the salience of EU issues; it also enables Eurosceptic parties to present their viewpoints on equal footing to other positions and gain the status of ‘issue opposition’. This offers Eurosceptic parties good opportunities to boost their electoral support.
Our empirical analysis finds support for this hypothesis. We demonstrate that higher levels of EU politicization are associated with stronger support for parties that hold Eurosceptic positions relative to other parties. In contrast, support for Europhile parties is not unequivocally related to differing levels of politicization.

Theorizing the effect of politicization on voting preferences

Scholars’ views on the significance of the EU as an issue for national and European politics have changed over time. Van Der Eijk and Franklin (2004), for instance, see the EU as a ‘sleeping giant’ – an issue with no sizable effect on vote choice. In their view, a mix of plain disinterest by both elites and the public, alongside the lack of political platforms to express discontent about European integration, prevented the EU from becoming a more important issue in both national and European parliament elections for a long time. Nevertheless, over the past couple of decades, a growing amount of literature has shown attitudes towards integration to have become increasingly important for explaining both turnout and vote choice in both national and European parliament elections (Beaudonnet and Gomez, 2017; Belot and Van Ingelgom, 2015; De Vries, 2007; Le Gall, 2019; Pellegata and Visconti, 2022). Interestingly, the politicization of the EU has been mostly driven by national politics. This is because, as Costa Lobo (2023) argues, the political accountability of EU institutions still happens, primarily, at the national level, with EU issues having become part of the domestic political debate in many member states. It is, therefore, unsurprising that, while there is plenty of evidence that the EU has acquired more importance in recent times, its electoral impact tends to depend on the national political context (Costa Lobo and Lewis-Beck, 2021; Hooghe and Marks, 2018; Hutter and Kriesi, 2019), the strategies of political parties (De Vries, 2010; De Vries and Hobolt, 2012), media salience, and individual characteristics, such as political sophistication and information (De Vries et al., 2011; Hobolt and Wittrock, 2011).
Studies on the politicization of the EU can be divided into two different groups: those that focus on the electoral domain, and those that mainly focus on the discourses of parties and other political actors. Among the former is De Vries (2007), who was the first to show evidence that the EU was becoming an important issue for voters in national elections. For her, the increasing electoral salience of the EU is explained by two inter-related factors: the actions of political entrepreneurs and increasing media attention. Opinions on the EU have been strategically used by some parties to mobilize voters (De Vries et al., 2021; De Vries and Hobolt, 2012; Grande and Hutter, 2016). Once activated by political parties, the EU issue is then likely to trigger EU issue voting, meaning that individuals will begin to look at parties’ positions on European integration in order to make vote choices. Using experimental evidence from six West European countries, Pannico and Costa Lobo (2023) recently found that opinions on the EU do, indeed, have a separate causal impact on party preferences in contemporary Europe. Therefore, when EU issue voting is activated, it has the potential to disturb electoral equilibria formed on the basis of other issues.
A parallel stream of research has studied the politicization of the EU at the elite level, including debates on European integration, European policy and EU institutional design. De Wilde and Zürn (2012: 139) define politicization as a process by which an issue is turned into a matter of public regulation and/or a subject of public discussion. To put it differently, it involves the ‘expansion of the scope of conflict [over a specific issue] within a political system’ (Hutter and Grande, 2014: 1002). Therefore, EU politicization entails not only the existence of a broad set of actors with dissenting views on the EU (polarization), but also more attention being paid to European integration in the public debate (salience).
Research shows that EU politicization has grown (at different paces) across much of the European Union, often prompted by the growing transfer of powers to European institutions, political and economic crises (such as the Great Recession, the Refugee crisis, Brexit), as well as elections and referendums (Börzel and Risse, 2018; De Bruycker, 2017; De Wilde and Zürn, 2012; Kriesi, 2016; Schmidt, 2019; Statham and Trenz, 2015; Turnbull-Dugarte, 2020). Once again, political parties and the media are thought to have played a prominent role in the increasing polarization and salience of the EU issue over time (Bellamy and Kröger, 2016; Braun et al., 2016; Bressanelli et al., 2020; Carrieri, 2020; Costa Lobo and Karremans, 2018; De Bruycker, 2017; Grossman et al., 2019; Hoeglinger, 2016; Hurrelmann et al., 2020; Hutter et al., 2016; Hutter and Kerscher, 2014; Risse, 2014).
Although the literatures on politicization and EU issue voting have rarely talked to each other, in recent years a handful of studies have attempted to merge both lines of research by investigating the link between politicization, public opinion and election outcomes (Costa Lobo, 2023; Goldberg et al., 2020; Vasilopoulou and Gattermann, 2020). Of particular interest to this paper are Van Der Brug et al. (2022), and Carrieri (2020). Van Der Brug et al. (2022) focus on the politicized context of the 2019 European parliament elections in terms of campaign dynamics, media salience, and electoral behavior. They argue that the EU issue has been politicized along three main sub-issues: the common currency (following the Euro zone crisis), immigration (following the Refugee crisis, and with Brexit drastically increasing the nationalist tone in public debates), and democratic backsliding (especially regarding some Central and Eastern European member states such as Hungary and Poland). This context of increasing politicization has, in turn, strengthened EU issue voting in European parliament elections (Braun and Schäfer, 2022; Pellegata and Visconti, 2021). Carrieri (2020), on the other hand, focuses on how attitudes towards the EU are associated with preferences for different parties (beyond European parliament elections), and how this relationship has changed over the years. He argues that EU attitudes have been mobilized by both protest parties and mainstream parties at different times. In 2014, during the aftermath of the financial crisis, people's views on the EU were indeed more strongly associated with support for protest parties than for their mainstream counterparts. However, in 2019, EU issues played a much stronger role in explaining support for mainstream parties than protest parties. Carrieri (2020) attributes this reversal to the higher degree of EU politicization in 2019, which he says was prompted by a Europhile backlash, with mainstream Europhile parties acting as EU issue entrepreneurs and successfully mobilizing voters against the threat to European integration posed by growing Eurosceptic parties. Nevertheless, it is important to note that Carrieri (2020) focuses on how well people's opinions on the EU align with their preferences for mainstream versus protest parties, which is not the same as examining if politicization increases support for some parties rather than others. In fact, his results may simply be reflecting an ongoing realignment, with Eurosceptic voters leaving Europhile mainstream parties and Europhile voters staying with them.
Thus, on the issue of who benefits from EU politicization, there is not a clear answer in the literature. Drawing on Riker's (1986) argument that parties often benefit from shifting the agenda towards issues that divide their competitors’ voters, De Vries and Hobolt (2020) argue that the politicization of neglected issues tends to work in favour of challenger parties.1 This is because, by bringing up new issues that cut across the traditional left-right dimension, such as European integration, challenger parties can drive a wedge among the electorate of the more established parties, whose electoral dominance was built upon voters’ positions on older dimensions of conflict. In contrast to Carrieri (2020), De Vries and Hobolt's (2020) think that mainstream parties do not usually engage in issue entrepreneurship because it is a much riskier electoral strategy for them. However, there is nothing in their argument that precludes the possibility that Eurosceptic and Europhile parties might both benefit from the politicization of the EU, as long as they are challengers.
There are reasons to think that parties at the two positional extremes of the EU issue might indeed be able to benefit from greater levels of politicization. As Walgrave et al. (2012) argue, parties that take on distinctive positions on issues are more likely to benefit from (associative) issue ownership – i.e., being the parties that first come to mind when people think about those issues. To be sure, there are other elements besides issue ownership that are also important. A successful issue entrepreneurship strategy requires focusing on issues with high yields, which are those that can potentially divide the electorate of other parties without dividing one's own electorate (De Sio and Weber, 2020). But here, too, parties with extreme positions on the EU may have a relative advantage. EU issues have been shown to be much more central to Eurosceptic and Europhile parties than is the case for parties that take on a more moderate position on the EU, and the former are also more likely than the latter to attract voters with fairly homogeneous views on the EU (Rovny, 2012).2 Europhile and Eurosceptic parties are, therefore, clear candidates to benefit electorally from greater EU politicization. A highly politicized context will increase the pressure on those parties whose electorate shows a more diverse range of opinions on the EU, driving some of their voters in the direction of parties with less compromising views.
H1: Curvilinear effect. The systemic politicization of the EU issue will increase support for parties with extreme positions on the EU (both Eurosceptic and Europhile) at the expense of parties with moderate positions on the EU.
Notwithstanding this conjecture, there are arguments to believe that the politicization of the EU might have an asymmetric effect on parties, benefiting just one side of the debate. If successful issue entrepreneurship involves disrupting existing electoral equilibria, this can only be done by parties that not only aim to increase the salience of an issue, but also present a distinctive political platform that challenges the positions of other competitors. This is consistent with De Vries and Hobolt's (2020) argument on challenger parties, which we believe is an important conceptual contribution. However, rather than focusing on the concept of challengers as parties without government experience, we suggest paying more attention to the very idea of challengers as parties that aim to disrupt the existing consensus over an issue (‘issue challengers’).
In the particular case of European integration, it is difficult to think of Europhile parties (at least in EU member states) as issue challengers. Rather, it can be argued that those who want to push integration further towards a federal model are also part of the European consensus on the EU, as they do not contest the general framework of European integration. This contrasts with Eurosceptic parties, who want to wind back a process that has so far only gone forward and can therefore present themselves as real challengers. By breaking with elite consensus, Eurosceptic parties aim to benefit from disrupting the existing electoral equilibrium and gain support among those who used to vote for other parties. So, a context of greater politicization is likely to help them to achieve their electoral goals.
Politicization requires both salience and polarization, and it reaches its highest levels when major parties with diametrically different positions on European integration engage in a public debate over this issue. This will normally happen when Europhile parties react to the emergence of Eurosceptic parties by engaging in a public confrontation over European integration. By doing so, however, Europhile parties help to raise the profile of Eurosceptic parties, granting them the opportunity to not only reach out to more voters, but also gain greater social acceptability for their defiant views. Research in social psychology has indeed established that people's behaviour is not only a function of their own attitudes but also of perceived social norms, which depend on what significant others do (descriptive norms) and consider to be socially acceptable (injunctive norms) (Ajzen, 1991; Cialdini, 2011). Therefore, the politicization of the EU is likely to help parties that challenge consensual views on European integration, as it enables them to present their views on an equal footing with those of other parties and gain acceptability as ‘issue opposition’ in a context where the EU acquires high salience. This is consistent with Meguid (2005), who finds that niche parties tend to be more successful when mainstream parties adopt an adversarial strategy. In her view, politicizing the issue does nothing but increase the credibility of niche parties’ positions, thereby giving them an electoral advantage.
H2: Linear effect. The systemic politicization of the EU issue will increase support for Eurosceptic parties, but not for Europhile parties or parties with moderate positions on the EU.

Data and method

Our hypotheses will be tested using four waves of the ESS: 1999, 2004, 2009, and 2019.3 Other existing waves were not included because of the lack of relevant control variables.4 Besides the ESS, we measure systemic politicization using expert survey data on political parties from the 1999 to 2019 CHES trend dataset (Bakker et al., 2015, 2020). Most ESS and CHES studies took place in the same years. This was not the case for the 2004 and 2009 ESS, which we matched with the nearest available CHES wave (2002 and 2006, respectively). Luxemburg was not included in the CHES before 2009, and so it only enters our sample thereafter.
Our dependent variable is individuals’ declared Propensity to Vote (PTV) for each party, a variable that is measured by asking respondents ‘We have a number of parties in <country>each of which would like to get your vote. How probable is it that you will ever vote for the following parties? Please answer on a scale where 0 means ‘not at all probable’ and 10 means “very probable”’. Respondents are then presented with a list of all relevant parties. PTV are a measure of latent support for political parties at the time that the survey was conducted. They tap directly into the concept of party utility (Downs, 1957) and have been demonstrated to have many desirable properties (De Vries and Tillman, 2011; Van Der Eijk et al., 2006). First of all, PTV are strongly related to vote choice. In European countries, over 90% of voters choose the party with the highest PTV (Van Der Brug and Van Der EIjk, 2007; Van Der Eijk et al., 1996; Van Der Eijk et al., 1999). Second, contrary to vote recall questions, PTV are directly measured for all parties, and not just for the party chosen by respondents (if they vote at all). This solves the problem of deriving people's support for small parties, as subsamples of voters for these parties tend to be too small in analyses of vote choice, which poses statistical power issues. Third, as PTV are not binary vote choice variables, their analysis is not affected by problems such as the independence of irrelevant alternatives. Lastly, using PTV enables researchers to assess the effect of country-level variables in cross-country analyses (something that standard conditional logistic regression models do not allow for) without needing to transform the dependent variable by grouping parties together (as in multilevel logistic regression models, which in comparative research forces researchers to focus on examining the vote for a specific party family versus others).
To use PTV as our dependent variable, the dataset needs to be restructured from a format where each respondent is an observation to one where there is an observation for each respondent-party combination, with each respondent having as many PTV as relevant parties (Van Der Eijk et al., 2006). If there are seven parties in the party system, respondents are asked to provide seven PTV (one for each party). This means that, in the same way as we would do with conditional logistic models, the unit of analysis in our transformed dataset (i.e., stacked dataset) is not individuals but individual-party dyads.
An important point about using a stacked dataset is that individual-specific variables (e.g., gender, religion, etc.) cannot be directly used in the model, as variables that only change between individuals cannot possibly explain the variance of PTV scores within individuals. We know, however, that certain individual characteristics are linked to preferences for different parties: for example, in Europe one might expect religious voters to prefer Christian democratic parties to other alternatives. To capture this, the literature recommends transforming individual-specific variables into ‘party affinities’ (i.e., variables connecting individual characteristics to specific party preferences) (Franklin and Renko, 2013). Technically speaking, this is done by adopting a two-step procedure. First, PTV for each party are separately regressed on each individual-specific variable, and the predicted utilities (y-hats) are then centred on their mean values and stored;5 in a second step, those y-hats are introduced, instead of the raw variables, as predictors in the final models (Van Der Eijk et al., 2006: 441–442).6 Thus computed, the transformed variables measure how much support each party receives above (or below) average among individuals who share the same characteristics as the respondent (e.g., women). The procedure only involves a linear transformation of the original variables, but the resulting variable varies across both individuals and parties and is, therefore, suitable for a dataset of individual-party dyads such as ours. The only disadvantage of transforming individual-specific variables in this way is that regression coefficients derived from them only indicate whether certain individual-level characteristics are associated (and how strongly) with support for different parties in general, without providing more specific information. However, this is only a minor problem in our case, because our hypotheses do not focus on individual-specific variables, which are only introduced in the models as controls (see Online appendix for summary statistics).
To analyse the data, we use multilevel linear models with random effects by individual (to account for individual-party dyads being clustered within individuals) and country-year (to account for individuals being clustered within survey waves and countries).7 Results do not change when we introduce country as an additional level.

Operationalization

Systemic politicization

To measure politicization, we draw on Hutter and Kriesi's (Hutter and Kriesi, 2019, 2022)index of systemic politicization, which could otherwise be defined as party-system politicization. The index is operationalized as the multiplication of salience and polarization, and therefore assumes that the highest levels of politicization are found in contexts where an issue (in this case, European integration) is not only very salient to all the major political parties, but also the latter hold diametrically different positions on that issue. As such, this index of ‘systemic politicization’ is a simplified version of Hutter and Grande's (2014) well-known index of EU politicization that focuses solely on political parties.
Therefore, the systemic politicization index is the product of salience and polarization.
The salience of European integration is measured in this way:
Salience(S)=j=1Jωjsj
where j is any party with representation in the national parliament, ωj is the vote share of party j and sj is the importance party j gives to the EU issue.
Following Taylor and Herman (1971), polarization is measured by using the variance of the party system distribution, which is:
Polarization(P)=j=1Jωj(pjp¯)2
where ωj is the vote share of party j (i.e., the number of votes received by the party divided by the total number of valid votes), pj is the position of party j on the EU, and p¯ is the mean position of the party system distribution,8 that is:
p¯=j=1Jωjpj
Our index of systemic politicization of the European Union has been constructed using data from the CHES (Bakker et al., 2015, 2020) and covers the period ranging from 1989 to 2019. In this section, we provide a descriptive analysis for the whole period in order to show readers the different trajectories of EU politicization across countries and over time. However, it is important to note that survey data were not available for the whole period, so our analysis in the next section does not cover all the years for which we calculated the index.
To compute the systemic EU politicization index, we rely on two main CHES variables: (a) an indicator measuring the relative salience of European integration for each party (measured on a 0 to 10 scale, where 0 means European integration is never mentioned by the party and 10 means it is the most important issue for that party); and (b) an indicator measuring parties’ overall position on European integration (measured on a 1 to 7 scale, where 1 means they are strongly opposed to European integration and 7 means they are strongly in favour).9
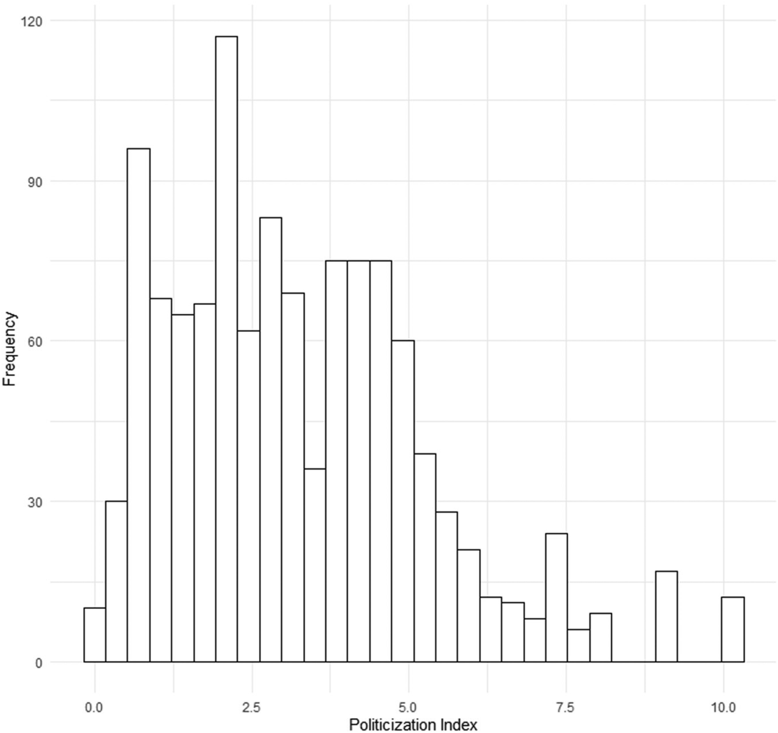
After applying the above formulae, we obtained an index of politicization that ranges from 0 to 10.17 with a mean value of 3.27. Its distribution is shown in Figure 1. The UK in 2019, with 8.99, and Italy in 2014, with 10.17, are the highest scores.
Figure 1. Distribution of systemic EU politicization scores from 1989 to 2019.
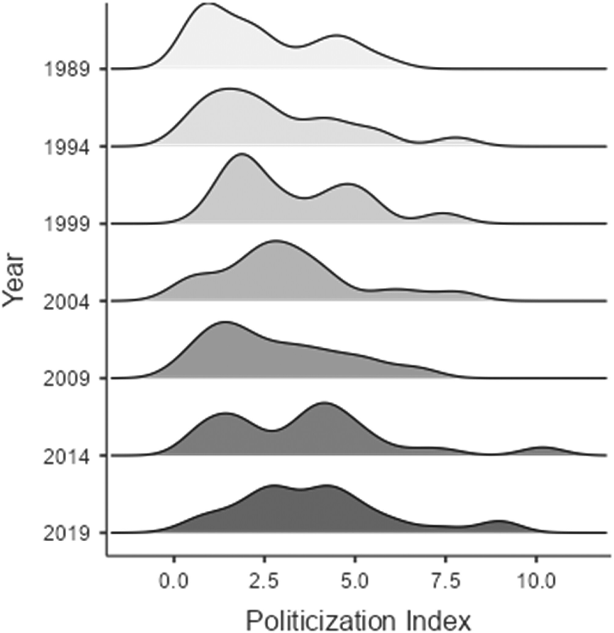
The distribution of systemic EU politicization over time is shown in Figure 2. The politicization index scores do not vary significantly across election years, as it ranges, on average, from 2.39 in 1989 to 3.91 in 2019. Both the mean and the spread of the distribution increase over the years, especially when one compares the 1990s and the 2010s, as the number of party-systems exhibiting very low levels of politicization decreases over time. The distribution of the index shows an increase in politicization after the European debt crisis of 2009, with few countries showing low levels of politicization and some countries showing extraordinarily high levels in 2014 and 2019. This is in line with existing literature on the topic. Braun and Grande (2021), in particular, provide an explanation for the overall increase of politicization in four party systems (Austria, the UK, France, and Germany): mainstream parties react to challenger parties by politicizing the European issue, especially in national elections, thereby becoming central in the spread of politicization to the entire system.
Figure 2. Systemic EU politicization from 1989 to 2019 over time (density plots).
In most Western European countries, politicization has been growing over time (Figure 3). This is the case in Germany, Greece, Ireland, Netherlands, Italy, the UK, Spain, Ireland, as well as Flanders and Wallonia (respectively, the Dutch- and French-speaking areas of Belgium, which we have split in our analysis because they have completely different party systems). This is partly in line with results from Silva et al. (2022), who find an increase in politicization in bailed-out countries over the period following the Euro crisis. Other party systems, such as France, Hungary, Estonia, Bulgaria and Lithuania, show an increase, but not necessarily a linear one. Denmark, Sweden, and (interestingly) Portugal show a decreasing trend over the period. For Eastern and Central European countries, there is arguably a decrease following higher levels of politicization at the time of accession. Lastly, for several party-systems (Croatia, Malta, Luxemburg, and Cyprus), we cannot assess time trends due to the lack of data spanning a sufficiently long period of time.
Figure 3. Systemic EU politicization from 1989 to 2019 over time across countries (party systems for Belgium).
We see peaks in EU politicization on three occasions, depending on the country: (a) around the accession years for Austria, Finland, and Sweden (followed by a stabilization and a decrease); (b) around 1992 at the time of the Maastricht Treaty for France specifically (but also in Denmark, right after the country's second referendum on the Maastricht Treaty); and (c) in 2014, in the aftermath of the euro crisis, in most countries. Additionally, politicization peaks in the UK following the 2016 Brexit referendum, and also in France in 2019 (the 2017 presidential election was framed over the European issue).
In the literature, politicization has mainly been operationalized using media data (Hutter et al., 2016; Hutter and Grande, 2014; Silva et al., 2022), providing in-depth over time and comparative analysis of the process but with limited geographical coverage. The results provided by our politicization index, at the party-system level, are in line with existing studies and offer a broader geographical and time coverage.

Party-level Euroscepticism and voter characteristics

Our hypotheses state that politicization will have different effects on parties depending on their own position on the EU. To identify parties’ positions, we use the CHES indicator mentioned in the previous section. As a further robustness check, we also test our hypotheses using individuals’ own perceptions of party positions on the EU, which is measured through responses to the following question: ‘Some say European unification should be pushed further. Others say it already has gone too far. Where would you place the following parties on this scale, where 0 means “already gone too far” and 10 means “should be pushed further”?’. This measure taps directly into how individuals perceive parties, and so it is arguably superior for testing our hypotheses than the measure provided by experts.
Alongside parties’ positions on the EU, we introduce a number of controls. First, we control for the Euclidean distance between individuals’ own position on European integration and the perceived position of each party on this issue. By doing so, we make sure that any potential association between politicization and support for Eurosceptic/Europhile parties is not driven by voters with extreme views on the issue being more vocal about their support for parties with radical views when politicization is greater. Second, we also control for Euclidean distance between individuals’ position on the ideological left-right scale and the perceived position of each party. Third, we introduce a trichotomous variable measuring whether a party was in the government (1) or in the opposition (0) before the survey was conducted. If the party was in the government for part of the year, the variable takes the value 0.5. The models include an interaction between this indicator and the index of systemic politicization to control for the possibility that EU politicization might favour opposition parties more than government parties, regardless of their position on the EU. And fourth, we also control for parties’ vote share in the last general election, as voters tend to prefer larger parties for reasons that have little to do with politicization or their position on the EU (Marsh, 2007: 57).
In addition, we control for the following individual-level characteristics: age, gender (male or female), education (age at which individuals finished formal education), religious identity (belonging to a religion or denomination or not), type of area of residence (urban, semi/rural, or rural), and employment status (active, retired, homemaker, and unemployed). As mentioned in the data and method section, these variables were transformed into y-hats. Thus, their coefficients only measure the association between different values of the relevant variable (e.g., being unemployed or not) and preferences for different parties. The Online appendix provides summary statistics for all variables.

Results

Table 1 shows the results of our multilevel models using PTV as dependent variable (from now on we will refer to the dependent variable as party support). Model 1 is a baseline model that is provided as point of reference for other models, but it also offers valuable information. The model enables us to assess the unmoderated effect of systemic politicization and parties’ positions on the EU. The positive coefficient for the latter indicates that parties that support European integration tend to be more successful than Eurosceptic parties. This finding makes sense because the majority of mainstream parties’ support (different degrees of) European integration, with very few of them being strongly Eurosceptic. On the other hand, systemic politicization does not have a statistically significant effect on party support. This, too, is an interesting finding because a negative and statistically significant coefficient would have indicated that politicization erodes people's support for political parties in general, and that does not seem to be the case.
Table 1. The effect of EU politicization on party support. Multilevel linear models.
 Model 1Model 2aModel 2bModel 3
Systemic EU politicization0.010.08**0.0010.08***
 (0.02)(0.03)(0.02)(0.02)
Party position on EU scale0.07***0.12* 0.13***
 (0.00)(0.05) (0.01)
Eurosceptic party (ref: moderate)  −0.51*** 
   (0.06) 
Europhile party (ref: moderate)  0.09*** 
   (0.02) 
EU politicization × Party position on EU −0.01 −0.02***
  (0.01) (0.00)
Party position on EU (quadratic term) 0.00  
  (0.01)  
EU politicization × Party position on EU (quadratic) −0.00  
  (0.00)  
EU politicization × Eurosceptic  0.07*** 
   (0.01) 
EU politicization × Europhile  0.01 
   (0.01) 
Government party−0.26***−0.30***−0.22***−0.30***
 (0.02)(0.03)(0.02)(0.02)
EU Politicization × Government party−0.03***−0.02**−0.03***−0.02**
 (0.01)(0.01)(0.01)(0.01)
Party-voter EU distance−0.04***−0.04***−0.04***−0.04***
 (0.00)(0.00)(0.00)(0.00)
Party-voter left-right distance−0.55***−0.55***−0.55***−0.55***
 (0.00)(0.00)(0.00)(0.00)
Party-vote share at last election0.05***0.05***0.05***0.05***
 (0.00)(0.00)(0.00)(0.00)
Age (yhat)0.14***0.14***0.14***0.14***
 (0.01)(0.01)(0.01)(0.01)
Education (yhat)0.21***0.21***0.21***0.21***
 (0.01)(0.01)(0.01)(0.01)
Employment status: homemaker (yhat)0.08***0.08***0.08***0.08***
 (0.01)(0.01)(0.01)(0.01)
Employment status: unemployed (yhat)0.09***0.09***0.09***0.09***
 (0.01)(0.01)(0.01)(0.01)
Employment status: retired (yhat)0.09***0.09***0.09***0.09***
 (0.01)(0.01)(0.01)(0.01)
Gender (yhat)0.14***0.14***0.14***0.14***
 (0.01)(0.01)(0.01)(0.01)
Urbanization (yhat)0.17***0.17***0.17***0.17***
 (0.01)(0.01)(0.01)(0.01)
Religion (yhat)0.23***0.23***0.23***0.23***
 (0.01)(0.01)(0.01)(0.01)
Constant4.67***4.38***5.01***4.35***
 (0.1)(0.13)(0.1)(0.10)
Random part    
σ² country0.080.080.080.08
 (0.03)(0.03)(0.03)(0.03)
σ² wave-country0.060.070.070.07
 (0.01)(0.01)(0.01)(0.01)
σ² respondent0.720.720.730.72
 (0.01)(0.01)(0.01)(0.01)
σ² residual6.446.446.446.44
 (0.02)(0.02)(0.02)(0.02)
N individuals50,84450,84450,84450,844
N wave-countries80808080
N countriesa28282828
Note: Standard errors in parentheses ***p < 0.01, **p < 0.05, *p < 0.1
a
For the purpose of the analysis, Belgium has been split into Wallonia and Flanders.
Before moving on to Model 2, it is worth commenting on the effect of some of the control variables in Model 1. First, government parties seem to enjoy lower levels of support than opposition parties even in scenarios of no politicization, highlighting the fact that governing tends to have an electoral cost (it is important to bear in mind that the models control for party size in the last election). The negative coefficient for the interaction between systemic politicization and being in government suggests that the former further decreases support for government parties, thereby benefiting opposition parties the most. We also find that voters prefer parties that are perceived to be closer to their own position on European integration and on the left-right scale, the former distance having, unsurprisingly a much stronger effect (−0.55 versus −0.04 for party-voter EU distance). Finally, all individual-level characteristics (age, gender, employment status, education, religious identity, and urbanization of the place of residence) are significantly associated with support for different parties.
Once we have described the findings in the baseline model, it is time to assess how much empirical support is found for our hypotheses in the data. Our first hypothesis (H1 – curvilinear effect) states that politicization will benefit parties with extreme positions on the EU, regardless of whether they are strongly against or in favour of integration. We test this hypothesis by introducing a quadratic term for parties’ positions on the EU and interacting this with our systemic politicization index. As can be seen in Model 2a, none of the interaction terms is statistically significant. This suggests that, contrary to H2, politicization is not associated with greater support for parties with extreme views on the EU. Model 2b tests the same hypothesis using dummies distinguishing between Europhile, Eurosceptic and other parties (the reference category), instead of a quadratic term. Only the interaction between the level of politicization and Eurosceptic parties is statistically significant, with a coefficient of 0.07, meaning that the higher the level of systemic politicization, the more voters express preferences for Eurosceptic parties (and not Europhile parties) confirming that H1 does not hold. This leads us to discard H1.10
Our second hypothesis (H2 - linear effect) states that systemic politicization is only positively associated with support for Eurosceptic parties. To test this hypothesis, Model 3 introduces an interaction between a party's position on European integration and systemic politicization. We remind readers that higher values on the European integration scale mean stronger support for integration. Therefore, if Eurosceptic parties benefit more than other parties from the politicization of the EU, then the coefficient for the interaction term should be negative and statistically significant. As a first step, we focus on the constituent term accounting for parties’ position on the EU. The fact that this coefficient is positive and statistically significant (0.13) suggests that when the systemic politicization index is zero (there is no politicization of the EU issue), Europhile parties tend to garner more support than Eurosceptic parties. Next, let us look at the interaction term. The coefficient for the interaction between parties’ positions on the EU and systemic politicization is both negative and statistically significant (−0.02). This suggests that politicization is associated with larger support for Eurosceptic parties, which is consistent with H2. Thus, the politicization of the EU may erode the electoral advantage that Europhile parties usually enjoy over Eurosceptic parties.
In order to better assess the total effect of this interaction, Figure 4 presents the average marginal effect (AME) of increasing systemic EU politicization by one unit for parties with different positions on European integration. Two things clearly stand out in Figure 4. First, politicization does not have the same effect for all parties. EU politicization is associated with greater support for Eurosceptic parties. For Europhile parties, the overall interaction effect is, if anything, slightly negative. Second, the effect of politicization on party support is only statistically significant for those parties that clearly oppose European integration (values 1 and 2 on the 1 to 7 EU scale). For Europhile parties, but also for parties with a centrist position on European integration, confidence intervals overlap with zero (the line of ‘no effect’), which indicates that the relationship between politicization and party support for such parties is not straightforward. All in all, results provide strong evidence in favour of H2, suggesting that it is parties with a Eurosceptic outlook that stand to benefit the most from a scenario of increased politicization of the EU issue.
Figure 4. Effect of systemic EU polarization and party positions on European integration (Model 3).
To make effect sizes comparable, a model with standardized variables is shown in the Online appendix. A one-standard deviation increase in EU politicization is associated with a 0.13 increase in the propensity to vote for the most Eurosceptic parties. This is not a small effect. The magnitude of this coefficient is similar to that of other variables included in the model (e.g., age, gender, urbanization) and is slightly greater than the standardized effect of EU distance (0.085), although much smaller than the standardized effect of left-right distance (1.36).

Robustness checks

We carried out a number of robustness checks, which can be found in the Online appendix. First, we used an alternative politicization index where larger parties are given the same weight as smaller parties. Second, we used respondents’ perceived party positions on the EU rather than experts’ placement on parties. Third, we controlled the number of parties. Fourth, we introduced interactions between politicization and party family, party ideology and an indicator for challenger (versus dominant) party. Fifth, we replicated our models using only data for 2019 – a year where Carrieri (2020) suggests that the tone of politicization might have been different due to Europhile backlash. Our conclusions remained unchanged.

Conclusion

EU politicization has been a focus of EU studies for more than 15 years. While our knowledge of the role played by both mainstream and challenger/protest parties in the politicization of the EU issue is relatively rich, so far the literature has not paid attention to how politicization is related to support for parties with different positions on the EU.
In this paper, we have argued that, while greater levels of politicization necessitate from the actions of both Eurosceptic and Europhile parties, it is mainly the former that stand to gain from politicized contexts. We tested two alternative hypotheses. The first hypothesis stated that systemic politicization benefits parties with extreme positions on the issue, with both Europhiles and Eurosceptics benefiting from the louder message. The second hypothesis stated that only Eurosceptic parties can be considered as challengers of the status quo, and therefore it is only such parties that, by disrupting existing electoral equilibria, benefit from the politicization of the EU. Our results are largely consistent with the second hypothesis, suggesting that the spread of conflict over European integration in electoral campaigns normalizes the views of Eurosceptic parties and provides them with a popularity boost, which, on the whole, Europhile and moderate parties are not positively affected by.
Our findings have important consequences for electoral competition and the way in which parties address the EU issue across EU member states. Existing studies have shown how parties (and other actors) have reacted and adjusted to European integration by gradually positioning themselves on this issue, either avoiding or seizing it, and by adapting their discourse to counterbalance authority delegation. Other studies have shown how mainstream parties have been forced to engage in more critical views of integration to compete in elections with strongly Eurosceptic challenger parties, leading to an increase in politicization across political spectrum and party systems. Our study now shows that this latter strategy is only likely to benefit Eurosceptic parties. Therefore, this politicization process turns out to be a one-way street where positions are polarized by both sides, but the marginal gains are not homogeneously distributed along the political spectrum. Strongly anti-integration positions have more to gain from the politicization of the EU than pro-integration positions, which opens the door to the severe strengthening of the ‘constraining dissensus’ on the EU in the coming years. To some extent, our findings are consistent with Nai et al.'s (2022) study of the 2019 European parliament election, where harsh campaigning only seems to have worked in favour of Eurosceptic parties.
Our study suffers from some limitations, which future research may be able to deal with. One of the most obvious limitations is the repeated cross-sectional nature of our data. Even though this has provided us with a decent amount of variation in the main independent variable (EU politicization), panel data would be required in order to test for the underlying mechanisms and to deal with some of the causality issues inherent to cross-sectional research. Moreover, although we attempted to look at whether politicization would have a different impact in a context (the 2019 European parliament election) where the main ‘tone’ on the EU in the media and public discourse was positive (or indeed, less negative), future research might be able to look at this question with better instruments, as and when they are developed.

Acknowledgements

We would like to thank colleagues who commented on previous versions of this paper presented at the RESTEP workshop, the International Conference of Europeanists 2021, and the EPOP 2021 Conference. We would also like to thank four anonymous reviewers for their fantastic comments, as well as the journal editors for their excellent job at handling our submission.

Funding

The author(s) disclosed receipt of the following financial support for the research, authorship, and/or publication of this article: This work benefited from the financial support of the RESTEP - RÉSeau Transatlantique sur l’Europe Politique (Jean Monnet research network, Erasmus  +  program, grant number: 587460-EPP-1-2017-1-CA-EPPJMO-NETWORK).

ORCID iD

Footnotes

1. De Vries and Hobolt's (2020) analysis focuses on national elections, but there is no reason why their arguments could not apply to second-order elections as well.
2. Rovny (2012) does not specify if he looks at vote in national or European parliament elections, but presumably he focused on first-order (national) elections.
3. We used the 1989–2004 Trend file (Marsh and Mikhaylov, 2008) to which we added the 2009 and 2019 Voter study (Schmitt et al., 2020; Van Egmond et al., 2013).
4. Data from the 2014 round are not included because there is no information on the distance between respondents’ and parties’ positions on the EU. The battery asking respondents about parties’ positions on European integration was invalidated due to an error with the wording.
5. The procedure is done for each year separately, as affinities between parties and groups of voters can change over time.
6. In addition to centring, we have also standardized the y-hats to ease the comparison of their coefficients.
7. As Belgium contains two distinct party systems, the analysis treats the French-speaking and the Dutch-speaking areas as two separate units.
8. We follow the literature in assuming that greater politicization is achieved when larger parties have extreme positions on the EU and talk a lot about this issue. Alternatively, it could be thought that the highest levels of politicization can be reached if major parties engage in a discussion over the EU with an extreme competitor no matter how small this is – in other words, size matters for salience but not for polarization. We tested this by constructing an alternative index that only weights the salience component of the formula by parties’ vote share. Findings remained essentially the same.
9. For the purpose of computing the index of politicization we normalized the position variable into a 0 to 10 range.
10. We do this by constructing two binary variables accounting for whether a party has a strongly Eurosceptic or a strongly Europhile profile, with moderate parties being in the reference category. We categorise parties with values lower than 2 on the 7-point CHESscale as being Eurosceptic, with those having values higher than 6 being classified as Europhile.

References

Ajzen I (1991) The theory of planned behavior. Organizational Behavior and Human Decision Processes 50(2): 179–211.
Atikcan EÖ (2018) Agenda control in EU referendum campaigns: The power of the anti-EU side. European Journal of Political Research 57(1): 93–115.
Bakker R, De Vries C, Edwards E, et al. (2015) Measuring party positions in Europe: The Chapel Hill expert survey trend file, 1999–2010. Party Politics 21(1): 143–152.
Bakker R, Hooghe L, Jolly SK, et al. (2020) 1999–2019 Chapel Hill Expert Survey (CHES) trend file. Version 1.2 Available at: https://www.chesdata.eu/1999-2019chestrend (accessed 27 November 2023).
Beaudonnet L, Gomez R (2017) Red Europe versus no Europe? The impact of attitudes towards the EU and the economic crisis on radical-left voting. West European Politics 40(2): 316–335.
Bellamy R, Kröger S (2016) The politicization of European integration: National parliaments and the democratic disconnect. Comparative European Politics 14(2): 125–130.
Belot C, Van Ingelgom V (2015) Les attitudes européennes ont-elles enfin joué un rôle dans les élections au Parlement européen ? Revue Européenne des Sciences Sociales. European Journal of Social Sciences 53(1): 49–78.
Börzel TA, Risse T (2018) From the euro to the Schengen crises: European integration theories, politicization, and identity politics. Journal of European Public Policy 25(1): 83–108.
Braun D, Grande E (2021) Politicizing Europe in elections to the European Parliament (1994–2019): The crucial role of mainstream parties. Journal of Common Market Studies 59(5): 1124–1141.
Braun D, Hutter S, Kerscher A (2016) What type of Europe? The salience of polity and policy issues in European Parliament elections. European Union Politics 17(4): 570–592.
Braun D, Schäfer C (2022) Issues that mobilize Europe. The role of key policy issues for voter turnout in the 2019 European Parliament election. European Union Politics 23(1): 120–140.
Bressanelli E, Koop C, Reh C (2020) EU Actors under pressure: Politicisation and depoliticisation as strategic responses. Journal of European Public Policy 27(3): 329–341.
Carrieri L (2020) The Impact of European Integration on West European Politics: Committed Pro-Europeans Strike Back. Cham: Palgrave Macmillan.
Cialdini RB (2011) The focus theory of normative conduct. In: Van Lange PA, Kruglanski AW, Higgins ET (Eds) Handbook of Theories of Social Psychology: Collection: Volumes 1 And 2. London: Sage Publications, pp.295–312.
Costa Lobo M (2023) The Impact of EU Politicisation on Voting Behaviour in Europe. Cham: Palgrave Macmillan.
Costa Lobo M, Karremans J (2018) Revisiting the politicization of the EU. A three-dimensional approach. In: Costa Lobo M, Carreira da Silva F, Zúquete JP (eds) Changing Societies: Legacies and Challenges. Citizenship in Crisis. Lisboa: Imprensa de Ciências Sociais, pp.51–71.
Costa Lobo M, Lewis-Beck MS (2021) The European Union and political behaviour: The shadow of the great recession. Electoral Studies 70(1): 1–5.
De Bruycker I (2017) Politicization and the public interest: When do the elites in Brussels address public interests in EU policy debates? European Union Politics 18(4): 603–619.
De Sio L, Weber T (2020) Issue yield, campaign communication, and electoral performance: A six-country comparative analysis. West European Politics 43(3): 720–745.
De Vries C, Hobolt S (2020) The rise of challenger parties. Political Insight 11(3): 16–19.
De Vries CE (2007) Sleeping giant: Fact or fairytale?: How European integration affects national elections. European Union Politics 8(3): 363–385.
De Vries CE (2010) EU Issue voting: Asset or liability?: How European integration affects parties’ electoral fortunes. European Union Politics 11(1): 89–117.
De Vries CE, Hobolt SB (2012) When dimensions collide: The electoral success of issue entrepreneurs. European Union Politics 13(2): 246–268.
De Vries CE, Hobolt SB, Walter S (2021) Politicizing international cooperation: The mass public, political entrepreneurs, and political opportunity structures. International Organization 75(2): 306–332.
De Vries CE, Tillman ER (2011) European Union Issue voting in east and west Europe: The role of political context. Comparative European Politics 9(1): 1–17.
De Vries CE, van der Brug W, van Egmond MH, et al. (2011) Individual and contextual variation in EU issue voting: The role of political information. Electoral Studies 30(1): 16–28.
Downs A (1957) An economic theory of political action in a democracy. Journal of Political Economy 65(2): 135–150.
Franklin MN, Renko M (2013) Studying party choice. In: Bruter M, Lodge M (eds) Political Science Research Methods in Action. Research Methods Series. London: Palgrave Macmillan UK, pp.93–118.
Gattermann K, de Vreese CH, van der Brug W (2021) Introduction to the special issue: No longer second-order? Explaining the European Parliament elections of 2019. Politics 41(4): 423–432.
Goldberg AC, van Elsas EJ, de Vreese CH (2020) Mismatch? Comparing elite and citizen polarisation on EU issues across four countries. Journal of European Public Policy 27(2): 310–328.
Grande E, Hutter S (2016) Beyond authority transfer: Explaining the politicisation of Europe. West European Politics 39(1): 23–43.
Grossman E, Persico S, Guinaudeau I (2019) Les partis et l’Europe. Politique Européenne 64(2): 56–85.
Hobolt SB, Wittrock J (2011) The second-order election model revisited: An experimental test of vote choices in European Parliament elections. Electoral Studies 30(1): 29–40.
Hoeglinger D (2016) Politicizing European Integration: Struggling with the Awakening Giant. Houndmills: Palgrave Macmillan.
Hooghe L, Marks G (2018) Cleavage theory meets Europe’s crises: Lipset, Rokkan, and the transnational cleavage. Journal of European Public Policy 25(1): 109–135.
Houde A M, Laloux T, Le Corre M et al. (eds) 2022 The Politicization of the European Union. Bruxelles: Éditions de l'Université de Bruxelles.
Hurrelmann A, Kerr S, Gora A, et al. (2020) Framing the eurozone crisis in national parliaments: Is the economic cleavage really declining? Revue d’Intégration Européenne. Journal of European Integration 42(4): 489–507.
Hutter S, Grande E (2014) Politicizing Europe in the national electoral arena: A comparative analysis of five West European countries, 1970–2010. Journal of Common Market Studies 52(5): 1002–1018.
Hutter S, Grande E, Kriesi H (eds) (2016) Politicising Europe : Integration and Mass Politics. Cambridge: Cambridge University Press.
Hutter S, Kerscher A (2014) Politicizing Europe in hard times: Conflicts over Europe in France in a long-term perspective, 1974–2012. Journal of European Integration 36(3): 267–282.
Hutter S, Kriesi H (2019) Politicizing Europe in times of crisis. Journal of European Public Policy 26(7): 996–1017.
Hutter S, Kriesi H (2022) Politicising immigration in times of crisis. Journal of Ethnic and Migration Studies 48(2): 341–365.
Kriesi H (2016) The politicization of European integration. Journal of Common Market Studies 54(S1): 32–47.
Le Gall C (2019) EU Authority, politicization and EU issue voting. Politique Européenne 2019/2(64): 32–55.
Marsh M (2007) European Parliament elections and losses by governing parties. In: European Elections and Domestic Politics: Lessons from the Past and Scenarios for the Future. Notre Dame: University of Notre Dame Press, pp.51–72.
Marsh M, Mikhaylov S (2008) EES trend file. Available at: https://www.tcd.ie/Political_Science/people/michael_marsh/ees_trend_file.php (accessed 27 November 2023).
Meguid BM (2005) Competition between unequals: The role of mainstream party strategy in niche party success. American Political Science Review 99(3): 347–359.
Nai A, Medeiros M, Maier M, et al. (2022) Euroscepticism and the use of negative, uncivil and emotional campaigns in the 2019 European Parliament election: A winning combination. European Union Politics 23(1): 21–42.
Pannico R, Costa Lobo M (2023) Experimental evidence of EU issue voting. In: Costa Lobo M (ed) The Impact of EU Politicisation on Voting Behaviour in Europe. Cham: Palgrave Macmillan, pp.115–142.
Pellegata A, Visconti F (2022) Voting for a social Europe? European solidarity and voting behaviour in the 2019 European elections. European Union Politics 23(1): 77–99.
Riker WH (1986) The Art of Political Manipulation. New Haven: Yale University Press.
Risse T (2014) European Public Spheres: Politics Is Back. Cambridge: Cambridge University Press.
Rovny J (2012) Who emphasizes and who blurs? Party strategies in multidimensional competition. European Union Politics 13(2): 269–292.
Schmidt VA (2019) Politicization in the EU: Between national politics and EU political dynamics. Journal of European Public Policy 26(7): 1018–1036.
Schmitt H, Hobolt SB, Van der Brug W, et al. (2020) European parliament election study 2019, voter study. Available at: https://search.gesis.org/research_data/ZA7581 (accessed 27 November 2023).
Silva T, Kartalis Y, Costa Lobo M (2022) Highlighting supranational institutions? An automated analysis of EU politicisation (2002–2017). West European Politics 45(4): 816–840.
Statham P, Trenz HJ (2015) Understanding the mechanisms of EU politicization: Lessons from the eurozone crisis. Comparative European Politics 13(3): 287–306.
Taylor M, Herman VM (1971) Party systems and government stability. American Political Science Review 65(1): 28–37.
Turnbull-Dugarte SJ (2020) The impact of EU intervention on political parties’ politicisation of Europe following the financial crisis. West European Politics 43(4): 894–918.
Van der Brug W, Gattermann K, de Vreese CH (2022) Electoral responses to the increased contestation over European integration. The European elections of 2019 and beyond. European Union Politics 23(1): 3–20.
Van Der Brug W, Van Der Eijk C (2007) European Elections and Domestic Politics: Lessons from the Past and Scenarios for the Future. Notre Dame: University of Notre Dame Press.
Van der Eijk C, Franklin M, Marsh M (1996) What voters teach us about Europe-wide elections: What Europe-wide elections teach us about voters. Electoral Studies 15(2): 149–166.
Van Der Eijk C, Franklin M, Van der Brug W (1999) Policy preferences and party choice. In: Schmitt H, Thomassen J (eds) Political Representation and Legitimacy in the European Union. Oxford: Oxford University Press, pp.161–185.
Van Der Eijk C, Franklin MN (2004) Potential for contestation on European matters at national elections in Europe. In: Marks G, Steenbergen MR (eds) European Integration and Political Conflict. Cambridge: Cambridge University Press, pp.32–50.
Van der Eijk C, van der Brug W, Kroh M, et al. (2006) Rethinking the dependent variable in voting behavior: On the measurement and analysis of electoral utilities. Electoral Studies 25(3): 424–447.
Van Egmond MH, van der Brug W, Hobolt SB, et al. (2013) European parliament election study 2009, voter study. Available at: https://search.gesis.org/research_data/ZA5055 (accessed 27 November 2023).
Vasilopoulou S, Gattermann K (2020) Does politicisation matter for EU representation? A comparison of four European Parliament elections. Journal of Common Market Studies 59(3): 661–678.
Walgrave S, Lefevere J, Tresch A (2012) The associative dimension of issue ownership. Public Opinion Quarterly 76(4): 771–782.
De Wilde and Zürn M (2012) Can the politicization of European integration be reversed? Journal of Common Market Studies 50(S1): 137–153.

Supplementary Material

Please find the following supplemental material available below.

For Open Access articles published under a Creative Commons License, all supplemental material carries the same license as the article it is associated with.

For non-Open Access articles published, all supplemental material carries a non-exclusive license, and permission requests for re-use of supplemental material or any part of supplemental material shall be sent directly to the copyright owner as specified in the copyright notice associated with the article.