Skip to main content
Intended for healthcare professionals

Abstract

Countermovement jumps (CMJs) are widely used in athlete training, performance monitoring and research as an indicator of power output. Despite extensive scientific research on CMJs, data for elite track and field athletes is limited, particularly for non-sprint events and female athletes. The purpose of this study was threefold: (i) to compare CMJ performance between elite sprinters and high jumpers; (ii) to compare CMJ performance between elite male and female athletes in these two events; and (iii) to determine which CMJ take-off parameters correlated most strongly with jump height. Twenty-seven elite athletes (sprinters: nine male and seven female; high jumpers: five male and six female) completed three maximal CMJs. Jump height and take-off phase parameters were obtained from the force–time data and compared between groups; additionally, time series comparisons were performed on the force, power and displacement data. There was no difference in jump height or any of the take-off parameters between the sprinters and high jumpers; however, the time series analysis indicated that the sprinters maintained a lower centre of mass position during the latter concentric phase. The male athletes jumped higher than the female athletes (by 10.0 cm or 24.2%; p < 0.001) with significantly greater body weight normalised peak power (17.9%, p = 0.002) and significantly shorter eccentric time (17.4%, p = 0.035). Jump height was most strongly correlated with peak power. In addition, jump height was also strongly correlated with positive impulse and both minimum and mean concentric centre of mass position. These results support the importance of accounting for event and gender when investigating CMJ performance.

Introduction

Track and field athletics comprise numerous events, each requiring specific strength and power characteristics. Sprinters and high jumpers require the ability to produce high force and power output.1,2 The ability to generate high levels of force and power has been identified as the most important contributor to sprint success.3 Vertical jumps, such as countermovement jumps (CMJs), are a simple and effective means to monitor power output from an individual.4,5 The short durations of these jumps have made them a popular tool to quantify the explosive capabilities of an athlete to assess asymmetry in performance and scientific research.59 In particular, vertical jump performance is of interest to strength and conditioning coaches, allowing them to monitor an athlete’s neuromuscular status (i.e. supercompensation effects from training intervention and fatigue) and power progression with minimal disruption to the training program.6
Various parameters to assess the performance of CMJ may be derived from force plate data and the resulting force/power/velocity-time curves.10,11 Impulse measurement and rate of force development (RFD) have been explored as a potential indicator of CMJ performance, although the evidence is inconclusive. For example, Ferragut et al.12 reported a strong positive relationship between positive impulse and jump height, whilst other studies found only a weak relationship or no relationship at all.4,13 Similarly, for peak RFD, studies have reported a strong positive relationship with jump height,14,15 whilst others found only a weak relationship or no relationship at all.12,16 These contradicting results may be attributed to the poor reliability of RFD parameters evaluated from force plate data during CMJs.3,14 RFD parameters are reported to have very poor reliability and were, therefore, excluded from this study.14
For male sprinters, there is a significant, widely documented relationship between jump performance (CMJ height), peak power and time to 5, 10, 60, 100 and 300 m.1721 Markström and Olsson19 found very little difference in CMJ performance between sprinters and jump athletes. It is noted, however, that their jump group contained a mix of high jumpers and triple jumpers rather than a single discipline. Furthermore, studies have predominantly focused on male athletes and covered a diverse range of sports and training histories.6 Typically, males jump approximately 25% higher than females, reportedly due to differences in muscular structure. This muscular structure allows males to produce higher relative forces, however, temporal jump parameters remain similar for the two genders.22,23 Within the wider jump literature, these differences between genders have been documented, but the knowledge regarding jump performance for female athletes remains limited.18,2224
The most effective measure of CMJ performance is jump height and a large volume of research has investigated the relationship between jump height and derived take-off parameters.6 The reviewed literature reported a very strong positive correlation (r > 0.80) between peak power and jump height.4,13,16,25 Peak force has been found to have a moderate to strong positive correlation with jump height (r = 0.52–0.82).13,14,16 More recently, Souza et al.5 examined the reliability of CMJ measurements. The study found that peak force had the best reliability scores (r = 0.99), as well as jump height (r = 0.94), although the study was conducted with non-elite athletes. Although peak force was a more reliable measure, the authors also note that monitoring jump height has practical benefits for sports involving jumping,5 however, less is known about the jump performance of other track and field athletes and how this relates to event performance.
Based on the identified gaps in knowledge in CMJ performance for elite track and field athletes, the purpose of this study was threefold: (1) to compare CMJ performance between elite sprinters and high jumpers; (2) to compare CMJ performance between elite male and female athletes in these two events and (3) to determine which CMJ take-off parameters correlated most strongly with jump height. It was hypothesised that the sprinters and high jumpers would generate similar CMJ parameters, including jump height. It was further hypothesised that: (i) the male athletes would jump higher and exhibit greater (body weight normalised) forces and powers during take-off compared with female athletes and (ii) the temporal parameters would not differ. Finally, it was hypothesised that peak power would correlate most strongly with jump height for all athletes.

Methods

A between subject research study design was utilised to address the research gaps and hypotheses developed from the literature review. For the study, male and female elite athlete participants were recruited. The independent variables were gender and discipline, while the dependent variables to be measured included jump height and force platform data (detailed in Table 2). Athletes were instructed to conduct their usual warm up for a regular training session. Following the warm up, athletes performed three maximal CMJ trials from a standing start position. All the athletes were used to performing CMJs in training. However, three practice jumps, rather than just one, were included to ensure that each athlete was comfortable performing the movement on the force plates, as well as for the investigator to ensure the athlete was performing the CMJ correctly. Athletes stood with one foot on each force plate and their hands on their waist. They were instructed to stand stationary for 2 s to allow their body weight to be determined.11 Athletes were then instructed to perform a CMJ for maximum height, keeping their hands on their waist during the jump. To reduce the risk of fatigue, a minimum of 2 min rest was allowed between jumps.
Table 2. Jump parameters derived from the force platform data.
ParameterDescriptionUnit
JHMaximum height of the athlete’s centre of mass relative to the height at take-off(m)
FMINMinimum force recorded during the take-off phase(BW)
FMAXMaximum force recorded during the take-off phase(BW)
FCONMean force during the concentric phase(BW)
PMAXMaximum power recorded during the take-off phase(BW·m·s–1)
ZNEGTotal negative impulse during the take-off phase(BW·s)
ZPOSTotal positive impulse during the take-off phase(BW·s)
SMINMinimum height of the athlete centre of mass relative to standing during the take-off phase(normalised to body height)(m·BH–1)
tECC,REDTime spent in the eccentric deceleration phase(s)
tCONTime spent in the concentric phase(s)

Subjects

Ethical approval for the study was obtained from the Loughborough University Ethical Advisory Committee. All participants were informed of the benefits and risks of participating. They completed and signed the informed consent forms prior to participation. Twenty-seven elite athletes, 14 males and 13 females, volunteered to participate (Table 1). Athletes specialising in sprinting (100 m (F = 4, M = 6) and 200 m (F = 3, M = 3)) and high jumping disciplines were selected due to their availability for testing and familiarity with CMJ. The participants had a range of years of experience in their disciplines: high jumpers (F = 5.8 ± 1.8, M = 6.6 ± 2.3), sprinting (F = 6.7 ± 2.1, M = 4.8 ± 3). All participants had competed at the international level; however, competition results were not disclosed (under 18 through to senior). Participants had been injury free in the 3 months prior to testing.
Table 1. Descriptive characteristics of the athletes
 MaleFemaleGroup differences
 SprinterHigh jumperSprinterHigh jumperMale versus femaleSprinter versus high jumper
N (Total = 27)9576m = 14, f = 13S = 16, HJ = 11
Age (years)22.3 ± 3.521.4 ± 1.121.7 ± 2.122.2 ± 2.0  
Body height, BH (m)1.81 ± 0.071.82 ± 0.041.66 ± 0.081.76 ± 0.050.003 
Body mass (kg)76.4 ± 6.472.5 ± 4.463.3 ± 6.564.5 ± 4.7<0.001 
BMI (kg·m–2)23.4 ± 1.321.9 ± 1.722.9 ± 2.320.8 ± 1.6 0.013
Significant differences between genders or events are indicated in group differences columns. Data collection took place in the athletes’ usual training environment. The jumps were performed using two force plates (9602, Kistler, Eulachstrasse, Switzerland) installed in one of the lifting platforms in the gym situated within a combined indoor – outdoor track and field training facility. Tri-axial data from the two force plates were collected synchronously at 1000 Hz via a laptop computer. A qualitative record of jump technique was obtained from frontal and sagittal plane video footage captured using two high speed video cameras (i.e. Exilim EX-ZR200, Casio, Tokyo, Japan) sampling at 240 Hz.

Data analysis

The statistical parametric mapping (SPM) analysis was performed in MATLAB, while all remaining statistical analyses were performed using IBM SPSS statistics package 22 (SPSS, Chicago, IL, USA) and Python.26 Significance for the study was set at p < 0.05. The force plate data were post-processed using a custom program (MATLAB, MathWorks Inc., Natick, MA, USA). Raw force data were filtered using a low-pass Butterworth filter with a cut-off frequency of 40 Hz (frequency determined from raw data using the method presented in a study by Winter27). The start of the jump was defined as the point where the vertical force first dropped below 98% of body weight. Vertical velocity and displacement were then determined through integration and double integration, respectively, of acceleration data. Take-off was defined as the instant when the vertical force first fell below 10 N. Jump height (JH) was determined from vertical velocity at take-off. All force and power parameters were normalised to body weight and displacement was normalised to standing height. In addition to jump height, ten jump parameters associated with this preparatory phase were evaluated (Table 2 and Figure 1). Finally, to allow further comparison between jumps, the time series data from the start of the jump to the concentric phase were interpolated to 1001 points. All force and power parameters were normalised to body weight and displacement was normalised to standing height. Maximum power in Watts was calculated using equation (1):
P=mavPPeak=maadtPPeak
(1)
where m = mass (kg), a = acceleration (ms−2), v= velocity (ms−1), and PPeak = Peak power (W) prior to take-off (TO) automatically derived within MATLAB.
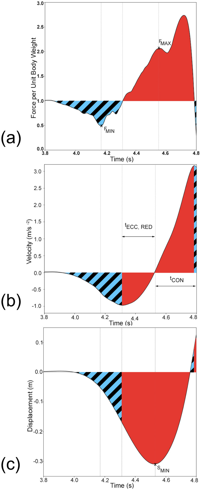
Figure 1. Typical time series data for: (a) vertical force, (b) centre of mass velocity, and (c) centre of mass displacement throughout countermovement jump. Shaded areas above zero are positive impulse (red) and shaded areas below zero are negative impulse (striped blue) in the force graph.
The best jump for each athlete, defined as the one with the greatest jump height, was selected as input to the statistical analysis. Descriptive statistics (i.e. mean and standard deviation) were calculated for each jump parameter. The Shapiro-Wilk and Levene Tests were used to test for normality and homoscedasticity of the data, which resulted in subsequent statistical analysis employing non-parametric tests. To compare jump performance between athlete event groups and genders, a Scheirer-Ray-Hare Test was used on jump height and the 10 jump parameters. Cohen’s d effect sizes (ES) were calculated where significant differences were identified. An ES of 0–0.2 was considered trivial, 0.2–0.6 small, 0.6–1.2 moderate and 1.2–2.0 large.28 In addition, SPM was used to compare the interpolated time series data (i.e. force, power and displacement) from the entire take-off period between athlete event groups and genders.29 To test for relationships between jump height and each of the ten jump parameters, Spearman’s rank correlation (rS) was used. The strength of the correlation was classified as the following: absolute value = 0.0–0.2 very weak, 0.2–0.4 weak, 0.4–0.6 moderate, 0.6–0.8 strong, 0.8–1.0 very strong.30

Results

There were no significant differences between the elite sprinters and high jumpers in either jump height or the ten jump parameters (Table 3). However, the time series analysis revealed differences in centre of mass position during the concentric phase immediately prior to take-off (Figure 2). The elite sprinters maintained a significantly lower centre of mass position (p = 0.001) compared with the elite high jumpers, although the two converged toward the instant of take-off.
Table 3. Mean (±SD) for all jump parameters.
ParameterMale (M)Female (F)M versus F (combined S, HJ)
SHJSHJp-value (effect size)
JH (m)0.464 ± 0.0610.428 ± 0.0460.371 ± 0.0490.329 ± 0.049<0.001 (1.83)
FMIN (BW)0.322 ± 0.1410.293 ± 0.1340.281 ± 0.2700.191 ± 0.116 
FMAX (BW)2.66 ± 0.152.53 ± 0.162.76 ± 0.422.60 ± 0.22 
FCON (BW)2.19 ± 0.112.14 ± 0.112.19 ± 0.222.05 ± 0.20 
PMAX (BW·m·s1)6.64 ± 0.506.31 ± 0.265.84 ± 0.704.99 ± 0.640.002 (1.70)
ZNEG (BW·s)–0.142 ± 0.024–0.140 ± 0.024–0.140 ± 0.038–0.149 ± 0.015 
ZPOS (BW·s)0.448 ± 0.0350.433 ± 0.0380.414 ± 0.0520.405 ± 0.021 
SMIN (m·BH1)–0.192 ± 0.032–0.173 ± 0.036–0.171 ± 0.025–0.157 ± 0.035 
tECC,RED (s)0.178 ± 0.0300.163 ± 0.0220.149 ± 0.0450.137 ± 0.0290.035 (0.88)
tCON (s)0.258 ± 0.0270.259 ± 0.0360.233 ± 0.0300.250 ± 0.048 
Significant differences (with the effect size) between genders or events are indicated for Sprinters (S) and High Jumpers (HJ). JH is the maximum height of the athlete’s centre of mass relative to the height at take-off. FMIN is the minimum force and FMAX is the maximum force recorded during the take-off phase. FCON is the mean force during the concentric phase. PMAX is the maximum power recorded during the take-off phase. ZNEG is the total negative and ZPOS is the total positive impulse during the take-off phase. SMIN is the minimum height of the athlete centre of mass relative to standing during the take-off phase (normalised to body height). tECC,RED is the time spent in the eccentric deceleration phase. tCON is the time spent in the concentric phase.
Figure 2. SPM results illustrating the time series data for vertical force, power and displacement comparing the sprinters versus high jumpers (a, c and e) and the males versus females (b, d and f). Time has been normalised to the percent of take-off phase and the curves show the mean and the shaded region shows one standard deviation for each group. Time periods showing a significant difference between groups have been cross-hatched with the corresponding p-value. The single vertical line marks the boundary between the eccentric and concentric phases of the take-off phase.
The elite male athletes jumped significantly higher (by 24.2%) than the elite female athletes (0.451 ± 0.057 m vs 0.351 ± 0.052 m; p < 0.001; large ES) (Table 3). The elite male athletes also had significantly higher (body weight normalised) peak power (by 17.9%; p = 0.002; large ES) and longer eccentric deceleration phase (17.4%; p = 0.035; moderate ES). The time series analysis reinforced the increased peak power for the elite male athletes (p = 0.002) compared with the elite female athletes (Figure 2).
Jump height was very strongly correlated with peak power (rS = 0.901, p < 0.001) and very strongly or strongly correlated with positive impulse (rS = 0.821, p < 0.001), minimum centre of mass position (rS = −0.667, p < 0.001) and mean concentric phase centre of mass position (rS = −0.747, p < 0.001). Regarding temporal variables, jump height was only weakly correlated with eccentric deceleration time (rs = 0.396, p = 0.042) (Table 4).
Table 4. Spearman’s correlation coefficient (rS) for all jump parameters that demonstrated a significant correlation with jump height.
ParameterrS95% confidenceintervals on rSp-value
PMAX0.9010.791–0.955<0.001
ZPOS0.8210.644–0.914<0.001
SMIN–0.667–0.839–0.381<0.001
tECC,RED0.3960.023–0.6680.042
PMAX is maximum power recorded during the take-off phase (BW·m·s−1), ZPOS is total positive impulse during the take-off phase (BW·s), SMIN is minimum height of the athlete centre of mass relative to standing during the take-off phase (normalised to body height) (m·BH−1), and tECC,RED is time spent in the eccentric deceleration phase (s).

Discussion

The first hypothesis, that the elite sprinters and high jumpers would generate similar results across all CMJ parameters, was generally supported. The only difference between the two groups was that the elite sprinters kept their centre of mass position lower (relative to standing) during the latter concentric phase toward take-off. This observation was noted for both genders. The second hypothesis, that the elite males and females would differ in jump height, as well as body weight normalised forces and powers rather than the temporal variables, was partially supported. The elite male athletes jumped significantly higher and generated significantly higher peak power, but there was no difference in the force parameters. The elite male athletes spent a longer time in the eccentric deceleration phase. The third hypothesis, that peak power would correlate most strongly with jump height, was fully supported with the correlation classified as very strong (rS = 0.905).
The between event CMJ parameter results were in agreement with Markström and Olsson19 who also found no significant differences between elite male sprinters and jumpers. To the author’s knowledge, there is no directly comparable literature including female track and field athletes and, therefore, the current results provide a relevant addition to the existing literature. Despite the lack of difference in jump parameters, the time series analysis indicated that the sprinters maintained a significantly lower centre of mass position during the latter concentric phase compared to the high jumpers. This may be related to the more flexed lower body configuration in the explosive first step of a sprint start compared with the take-off step in high jump.31,32 A similar outcome was reported by Laffaye et al.23 based on principal component analysis of CMJ time series data for elite athletes from four team sports (American football, basketball, baseball and volleyball). The results of the study and the body of literature indicate the possible existence of event-specific signatures in elite athletes’ CMJ performance, which highlights the importance of considering event discipline in assessment of CMJ to aid coaches and trainers in developing more relevant training programs.
The increased jump height for the elite male athletes compared with the elite female athletes observed here (24.2% or 10 cm) was slightly less than previously reported in the literature regarding elite/college level athletes across a range of sports (26.4%23), recreational college athletes (30.8%18) and untrained individuals (31.2%22). The increased peak power determined in the present study (17.9%) was similar to that reported for college athletes from a range of sports (20.4%23) and untrained individuals (17.6%22). In contrast to Laffaye et al.,23 this study found no difference in mean concentric force between elite male and elite female athletes. In contrast with previous studies that reported no temporal differences between males and females in CMJs, in this study, elite male athletes spent on average 17.4% (30 ms) longer in the eccentric deceleration phase when compared with elite female athletes. The results of the present study suggest that differences in CMJ height between males and females may decrease as the performance level of the athletes increase. This may be, in part, due to elite female athletes modulating the temporal characteristics of the jump.
Maximal jump height is achieved through maximising centre of mass velocity at take-off and, when measured from standing, the centre of mass position at take-off.33 Maximizing centre of mass velocity at take-off equates to maximising net impulse, typically through increasing mean concentric force and/or minimising eccentric time.23 Furthermore, evidence suggests that the strength and power of an athlete influences jump performance more so than technique.4,34 In support of this, strength and power based training intervention studies have demonstrated improved CMJ performance principally through an increased countermovement magnitude and eccentric lower-limb stiffness,35 in addition to maintaining high concentric forces for longer periods of time, leading to higher peak powers.36
The inter-subject correlation results from this study generally support these observations. Similarly, the very strong relationship between jump height and positive impulse has also been reported previously.4,12,13 The results of the present study support these positive correlations; however, it is noted that this may be a result of combining the male and female results across disciplines. Additionally, a recent study by Linthorne suggested that the relationship between jump height and peak power may be artificially inflated.9 In addition, Linthorne also suggested that this relationship is not a direct cause-effect relationship and may not be the most relevant variable for assessing athletes from a neuromuscular perspective.9 However, the use of jump height was considered relevant to sports involving jumping and is commonly utilised to assess CMJ performance.5
Strong relationships between jump height and both minimum and mean concentric centre of mass positions have not been reported previously within correlational studies, but these findings do fit with the aforementioned strength and power training intervention studies.36 The current findings do not support those of Laffaye et al.23 with respect to the importance of maximising mean concentric force and minimising eccentric time to maximise jump height. However, those authors investigated a more diverse athlete population comprising four different team sports, which may have contributed to the difference in findings.

Limitations

A limitation of the study was the small sample size for each group (total = 27, group n = 5–9) due to the focus on (internationally) elite athletes, which inherently limits the sampling population compared with studies focused on non-elite level athletes or larger groups in team-based sports. However, every athlete conducted CMJs regularly within their training program and demonstrated high consistency in their three jump performances (the mean coefficient of variation in jump height was 2.5 ± 1.1%), which both lend support to the validity of the current findings. Elite athletes from sprint and high jump disciplines were available for the research study, but the authors acknowledge that this group of athletes from only two sports may limit the generalisability of results. Although the results contribute to the wider body of research, further studies are required to assess whether similar results would be observed in additional disciplines. A further limitation is that not all jump related parameters can be measured with good reliability. While peak values (i.e. power, force and velocity) tend to show very good reliability, the mean and temporal values tend to show poorer reliability.3 Ultimately, while these limitations are unlikely to have impacted the main outcomes of this study, they may have limited the ability to identify differences or correlations in some of the jump parameters analysed.

Conclusion

To conclude, this is the first study to investigate and compare CMJ performance between elite male and elite female sprinters and high jumpers. The first key outcome was the lack of difference in jump performance parameters between the sprinters and high jumpers, despite evidence that sprinters maintained a significantly lower centre of mass position during the latter concentric phase of the take-off. The second key outcome was that the male athletes jumped significantly higher than the female athletes, however, the difference was less than that reported for lower level athletes. Finally, this study confirmed the strong positive correlation between jump height, peak power and positive impulse, in addition to identifying strong (negative) correlations between jump height and both minimum and mean concentric centre of mass position. In combination, these results provide evidence for the use of CMJ performance as a simple means to assess peak power. The results suggest that CMJ measures need to account for the gender, experience and sporting history of the athlete.

Acknowledgments

The authors would like to thank the athletes involved in the study, as well as the staff at British Athletics for their time and patience during the data collection.

Declaration of conflicting interests

The author(s) declared no potential conflicts of interest with respect to the research, authorship, and/or publication of this article.

Funding

The author(s) disclosed receipt of the following financial support for the research, authorship, and/or publication of this article: EPSRC grant: Adaptive Informatics for Intelligent Manufacturing (AI2M) reference EP/K014137/1.

ORCID iDs

References

1. Harland MJ, Steele JR. Biomechanics of the sprint start. Sport Med 1997; 23: 11–20.
2. Dapena J. Biomechanical analysis of the Fosbury-flop. Track Tech 1988; 104: 3307–3317.
3. Hori N, Newton RU, Kawamori N, et al. Reliability of performance measurements derived from ground reaction force data during countermovement jump and the influence of sampling frequency. J Strength Cond Res 2009; 23: 874–882.
4. Aragón-Vargas LF, Gross M. Kinesiological factors in vertical jump performance: differences among individuals. J Appl Biomech 1997; 13: 24–44.
5. Souza AA, Bottaro M, Rocha VA, et al. Reliability and test-retest agreement of mechanical variables obtained during countermovement jump. Int J Exerc Sci 2020; 13(4): 6–17.
6. Claudino JG, Cronin J, Mezêncio B, et al. The countermovement jump to monitor neuromuscular status: a meta-analysis. J Sci Med Sport 2017; 20(4): 397–402.
7. Lake JP, Mundy PD, Comfort P, et al. Do the peak and mean force methods of assessing vertical jump force asymmetry agree? Sport Biomech 2020; 19(2): 227–234.
8. Petrigna L, Karsten B, Marcolin G, et al. A review of countermovement and squat jump testing methods in the context of public health examination in adolescence: reliability and feasibility of current testing procedures. Front Physiol 2019; 10: 1–19.
9. Linthorne NP. The correlation between jump height and mechanical power in a countermovement jump is artificially inflated. Sport Biomech 2020; 00(00): 1–19.
10. Cormie P, BcBride JM, McCaulley O. Power-time, force-time, and velocity-time curve analysis of the countermovement jump: impact of training. J Strength Cond Res 2009; 23(1): 177–186.
11. McMahon JJ, Suchomel TJ, Lake JP, et al. Understanding the key phases of the countermovement jump force-time curve. Strength Cond J 2018; 40(4): 96–106.
12. Ferragut C, Cortadellas J, Arteaga R, et al. Prediction of vertical jump height. Role of mechanical impulse and muscle mass of lower limb. Eur J Hum Mov 2003; 20: 7–22.
13. González-Badillo JJ, Marques MC. Relationship between kinematic factors and countermovement jump height in trained track and field athletes. J Strength Cond Res 2010; 24: 3443–3447.
14. McLellan CP, Lovell DI, Gass GC. The role of rate of force development on vertical jump performance. J Strength Cond Res 2011; 25: 379–385.
15. Marques MC, Izquierdo M, Marinho DA, et al. Association between force-time curve characteristics and vertical jump performance in trained athletes. J Strength Cond Res 2015; 29: 2045–2049.
16. Dowling JJ, Vamos L. Identification of kinetic and temporal factors related to vertical jump performance. J Appl Biomech 1993; 9: 95–110.
17. Hennessy L, Kilty J. Relationship of the stretch-shortening cycle to sprint performance in trained athletes. J Strength Cond Res 2001; 15: 326–331.
18. Hudgins B, Scharfenberg J, Triplett NT, et al. Relationship between jumping ability and running performance in events of varying distance. J Strength Cond Res 2013; 27: 563–567.
19. Markström JL, Olsson CJ. Countermovement jump peak force relative to body weight and jump height as predictors for sprint running performance: (in)homogeneity of track and field athletes? J Strength Cond Res 2013; 27: 944–953.
20. Maulder PS, Bradshaw EJ, Keogh J. Jump kinetic determinants of sprint acceleration performance from starting blocks in male sprinters. J Sport Sci Med 2006; 5(5): 359–366.
21. Sleivert G, Taingahue M. The relationship between maximal jump-squat power and sprint acceleration in athletes. Eur J Appl Physiol 2004; 91(1): 46–52.
22. Mayhew JL, Salm PC. Gender differences in anaerobic power tests. Eur J Appl Physiol 1990; 60: 133–138.
23. Laffaye G, Wanger PP, Tomlson TIL. Countermovement jump height: gender and sport-specific differences in force-time variables. J Strength Cond Res 2014; 28: 1096–1105.
24. Stiffle MR, Sanfilippo JL, Brooks MA, et al. Counter movement vertical jump force and power differs by gender and sport. Med Sci Sports Exerc 2014; 46: 728–729.
25. Jiménez-Reyes P, Samozino P, Cuadrado-Peñfiel V, et al. Effect of countermovement on power-force-velocity profile. Eur J Appl Physiol 2014; 114: 2281–2288.
26. Pataky TC. One-dimensional statistical parametric mapping in Python. Comput Methods Biomech Biomed Eng 2012; 15(3): 295–301.
27. Winter DA. Biomechanics and motor control of human movement. 4th ed. Hoboken: John Wiley & Sons, 2009, pp.1–370.
28. Hopkins WG. A scale of magnitudes for effect statistics. A New View of Statistics, http://sportsci.org/resource/stats/effectmag.html (2002, accessed 1 January 2016).
29. Pataky TC, Robinson MA, Vanrenterghem J. Vector field statistical analysis of kinematic and force trajectories. J Biomech 2013; 46: 2394–2401.
30. Dancey C, Reidy J. Statistics without maths for psychology. 7th ed. New York: Pearson; 2017.
31. Charalambous L, Irwin G, Bezodis IN, et al. Lower limb joint kinetics and ankle joint stiffness in the sprint start push-off. J Sports Sci 2012; 30: 1–9.
32. Isolehto J, Virmavirta M, Kyrolainen H, et al. Biomechanical analysis of the high jump at the 2005 IAAF World Championships in Athletics. New Stud Athl 2007; 22: 17–27.
33. Reiser RF, Rocheford EC, Armstrong CJ. Building a better understanding of basic mechanical principles through analysis of the vertical jump. Strength Cond J 2006; 28: 70–80.
34. Vanezis A, Lees A. A biomechanical analysis of good and poor performers of the vertical jump. Ergonomics 2005; 48: 1594–1603.
35. Hunter JP, Marshall RN. Effects of power and flexibility training on vertical jump technique. Med Sci Sports Exerc 2002; 34: 478–486.
36. Cormie P, McBride JM, McCaulley GO. Power-time, force-time, and velocity-time curve analysis of the countermovement jump: impact of training. J Strength Cond Res 2009; 23: 177–186.