Skip to main content
Intended for healthcare professionals

Abstract

Background

Sarcopenia is increasingly recognized as an imaging-based prognostic factor in various cancers, but its gender-specific radiological indicators in bladder cancer patients undergoing radical cystectomy are not well defined.

Objective

The aim of this study was to identify the radiological sarcopenia parameters that can be used to predict overall survival(OS) in patients who underwent radical cystectomy(RC).

Methods

The data of a total of 183 patients who underwent RC for urothelial bladder cancer and had an abdominal computed tomography(CT) scan within three months prior to surgery, were retrospectively analyzed. Skeletal muscle areas at the L3 vertebral level and average Hounsfield unit(HU) measurements were extracted from the CT images.Based on these measurements, five sarcopenia-related parameters [skeletal muscle index (SMI) type 1, SMI type 2, psoas muscle index(PMI) type 1, PMI type 2, and skeletal muscle density(SMD)] were calculated and investigated their prognostic effect on OS using uni- and multi-variable Cox regression analysis.

Results

The median follow-up period was 22 months(IQR: 10–50).In univariate Cox regression analysis, significant factors affecting overall survival in men included age, pT stage, pN stage, SMI type 1, SMI type 2, and PMI type 2(p < 0.05).In women, significant factors included pT stage, pN stage, and only SMD(p < 0.05).Among radiologic sarcopenia markers, multivariate Cox regression models indicated that significance of the SMI type 1, the SMI type 2 and the PMI type 2 remained as prognostic factors for overall survival in men(p < 0.05). In women, only SMD remained significant(p = 0.018).

Conclusions

Our analysis highlighted that gender-specific radiological sarcopenic parameters impact on OS among patients undergoing RC.SMI type 1, SMI type 2, and PMI type 2 for male and only SMD for female were prognosticators in patients undergoing RC.

Introduction

Radical cystectomy (RC) is the gold standard surgical treatment for patients with localized muscle-invasive bladder cancer, and also patients with Bacillus Calmette-Guerin (BCG) unresponsive non-muscle invasive bladder cancer disease and those with non-muscle invasive bladder cancer in very high-risk group for progression according to current European Association of Urology (EAU) Guidelines.1 However, despite RC, the high rates of morbidity and mortality highlight the importance of identifying factors that can guide the selection of appropriate candidates for this procedure.2 In addition to the existing clinical staging systems, the introduction of new parameters may assist clinicians in optimizing patient selection and treatment planning.35
Sarcopenia has recently received significant attention as an objective preoperative prognostic factor. It is strongly associated with poorer survival outcomes across various cancer types.4,5 Based on recent studies, sarcopenia may be an important factor to consider when assessing the survival rate of BC patients.6
The diagnostic criteria for sarcopenia are widely established by the European Working Group on Sarcopenia in Older People (EWGSOP).7,8 Most studies prefer to diagnose sarcopenia using radiological imaging methods, as these provide higher levels of standardization and objectivity.
There is no comprehensive study evaluating multiple gender-specific radiologic markers of sarcopenia that may be associated with overall survival in patients undergoing radical cystectomy, comparing these markers, and also providing relevant cut-off values for each marker in the Turkish population for this surgery. Therefore, in a retrospective study reflecting the experience of tertiary center, we aimed to contribute to the literature by evaluating the impact of radiologically defined sarcopenia parameters on overall survival in patients undergoing radical cystectomy for bladder cancer and by determining cut-off values specific to the our study. It is hypothesized that these parameters are independent prognostic factors for overall survival.

Materials and methods

Patient selection

A retrospective review of data from a consecutive 252 patients who underwent radical cystectomy with bilateral pelvic lymphadenectomy for bladder cancer between January 2009 and January 2022 was conducted. A total of 69 patients were excluded from the study due to loss to follow-up, non-urothelial tumor biology in cystectomy specimen, preoperative radiation therapy history or missing clinical data (Figure 1). Patients who underwent salvage cystectomy were excluded from the study because they were associated with a high risk of perioperative major complications and therefore early mortality. Patients who received NAC were also included in the study, especially since NAC is recommended before cystectomy by current guidelines. The study included 183 patients who had undergone preoperative abdominal computed tomography imaging within three months before surgery, had been diagnosed with urothelial carcinoma. The demographic, clinical, pathological, oncological, and radiological data of the patients included in the study were accessed. The demographic and clinical data included age, gender, height, weight, body mass index (BMI), smoking status, Age-adjusted Charlson Comorbidity Index (ACCI), time between transurethral resection and radical cystectomy, neoadjuvant chemotherapy history. Pathological data consisted of pathological T (pT) stage, pathological N (pN) stage, presence of variant histology of urothelial carcinoma, and number of lymph nodes removed, adjuvant chemotherapy history, recurrence of disease or death any cause in follow-up was for oncological data. Disease recurrence was defined as any recurrence in the loco-regional recurrence (i.e., the cystectomy site or pelvic lymph nodes), any metachronous recurrence (i.e., distant lymph nodes, bones, or visceral organs), and any urothelial recurrence. Radiological data included multiple numeric measurements based on skeletal muscle, psoas muscle, lomber third vertebrae, as comprehensively described by formulations below.
Figure 1. Selection of patients.
The oncological follow-up was conducted in accordance with institutional protocols and current EAU guidelines.1

Computed tomography image analysis based calculation of radiological sarcopenia parameters

A 64-detector computed tomography (CT) scanner (Toshiba Medical Systems, Otawara, Japan) was used for imaging. The imaging data were accessed through the Picture Archiving and Communication System (PACS). Images obtained with a 1.25 mm slice interval in non-contrast series were analyzed. Muscle analysis from the CT images was performed using the web-based software package CoreSlicer (version 1.0.0; Montreal, Quebec, Canada).
The CT image slices were retrieved from PACS and imported into CoreSlicer for analysis. The skeletal muscles at the level of the L3 vertebrae, including the rectus abdominis, lateral and oblique abdominal muscles, psoas major, quadratus lumborum, and erector spinae muscles, were assessed using a single cross-sectional slice.9 The total lumbar skeletal muscle area (SMA) at the L3 level was used because it correlates strongly with whole-body muscle volume.7
To identify muscle structures, areas within the (−29) to (150) Hounsfield Unit (HU) range were automatically calculated by the software and manually adjusted when necessary. Through analysis on PACS and CoreSlicer, the SMA, psoas muscle area (PMA), and skeletal muscle density (SMD) values of the patients were calculated as follows:
The areas of muscle structures identified at the midaxial level of the L3 vertebra were measured in square centimeters (cm2). To normalize the SMA and the (PMA, they were divided by the square of the patient's height (cm2/m2). This normalization yielded the skeletal muscle index (SMI) (abbreviated in this study as SMI type 1) and psoas muscle index(PMI) (abbreviated in this study as PMI type 1) as defined in the literature.4,5,10 For this study, the vertebral cross-sectional area (VCA) at the L3 level was also used for normalization. SMA and PMA were normalized by VCA, resulting in SMI type 2 and PMI type 2. The average HU value of the skeletal muscles was calculated to obtain the SMD.
SMI type 1: Total muscle area at the L3 vertebra level (SMA) / height (cm2/m2).
SMI type 2: Total muscle area at the L3 vertebra level (SMA) / L3 VCA.
PMI type 1: Sum of the areas of the right and left psoas muscles at the L3 vertebra level (PMA) / height (cm2/m2).
PMI type 2: Sum of the areas of the right and left psoas muscles at the L3 vertebra level (PMA) / L3 VCA.
SMD: Average HU value of all muscles at the L3 vertebra level (Figure 2).
Figure 2. Color image of skeletal muscles and calculation of corpus vertebrae area from a section taken at the L3 vertebral level.

Optimal threshold determination of radiological sarcopenia parameters

Since muscle mass varies between populations due to differences in ethnicity, geography, and dietary habits, which explains the varying threshold values for sarcopenia found in different studies regarding cancer survival.4,5,10,11 In this study, the threshold values (separately for males and females) and the area under the Receiver Operating Characteristics (ROC) curves for radiological parameters used to assess the relationship between these parameters and overall survival were calculated using ROC analysis. Based on the gender-specific thresholds identified for each radiological parameter, patients were classified into two groups: sarcopenic and non-sarcopenic, and overall survival analysis was performed.

Statistical analysis

Statistical analysis was performed using IBM SPSS version 20.0 (IBM Corp., Armonk, NY, USA). The normality of the data distribution was assessed using the Shapiro-Wilk and Kolmogorov-Smirnov tests. Variables with a normal distribution were presented as mean ± standard deviation, while non-normally distributed variables were expressed as median (25th-75th percentile).
Cut-off values, area under the curve (AUC), sensitivity, and specificity were calculated using ROC analysis in the MedCalc® version 12.5.0.0(MedCalc® Software, Mariakerke, Belgium). Categorical variables were presented as frequencies (percentages). Differences between groups were determined using the independent samples t-test for normally distributed data or the Mann-Whitney U test for non-normally distributed data. The Chi-square test was used for the statistical evaluation of categorical groups.
Univariate and multivariate regression analyses were performed using Cox regression analysis. Overall survival between groups was estimated using the Kaplan-Meier method, and statistical differences between these curves were assessed using the Log-Rank test.
A p-value of <0.05 was considered statistically significant for all hypothesis tests.

Ethical approval

This study was conducted in accordance with the project approval numbered 2022/281 obtained at the Kocaeli University Non-Interventional Clinical Research Ethics Committee meeting dated 24.11.2022.

Results

Of the 183 patients included in the study, 156 (85.2%) were male. The median age was 65 (60–71,IQR) years. Preoperatively, the mean height was 168.9 (±7.26) cm, the mean weight was 73.9 (±10.63) kg, and the median BMI was 25.4 (23.6–27.6) kg/m2.
A history of smoking was present in 146 patients (79.8%). The median age-adjusted Charlson Comorbidity Index (CCI) was calculated as 3 (2–4). Variant histology was observed in 27.3% of patients, with squamous variant being the most common (78%).
According to final pathological specimen analysis, 65 patients (35.5%) had localized disease (pT0-2N0), while 118 patients (64.5%) had locally advanced disease (pT3-4N0 or pT0-4N+). Lymph node involvement was observed in 38.3% of patients. Positive surgical margins were found in 7.7% of patients, and carcinoma in situ (CIS) was identified in 24.3%. Median number of lymph nodes removed were 18 (13–27).
A total of 38 patients (20.8%) received neoadjuvant chemotherapy, while 82 (44.8%) underwent adjuvant chemotherapy. Recurrence was observed in 44.8% of patients, with 21% of these being loco-regional, 51.8% distant metastases, 6.2% metachronous urinary tract recurrence, and 21% multiple site recurrences (both loco-regional and distant). The mean hospital stay was 13 days (±5), and the median follow-up period was 22 months (10–50). During the follow-up period, 120 (65.6%) patients died (Table 1).
Table 1. Demographic, clinical, pathological, oncological, and radiological features of male and female patients.
VariablesMale (n = 156) (%)Female (n = 27) (%)P-value
Age n (%)  0.722
 ≥6590 (57.7)14 (51.9) 
 <6566 (42.3)13 (48.1) 
BMI n (%)  0.632
 <25 kg/m263 (40.4)9 (33.3) 
 ≥25 kg/m293 (59.6)18 (66.7) 
Smoking History, n (%)  0.002
 Yes131 (84)15 (55.6) 
 No25 (16)12 (44.4) 
Time between TUR and RC (months), n (%) 0.897
 ≤3102 (65.4)18 (66.7) 
 >354 (34.6)9 (33.3) 
CCI without age, n (%)  0.468
 <355 (35.3)7 (25.9) 
 ≥3101 (64.7)20 (74.1) 
Neoadjuvant chemotherapy, n (%) 0.180
 Yes35 (22.4)3 (11.1) 
 No121 (77.6)24 (88.9) 
T stage, n (%)  0.302
 ≤ pT263 (40.3)12 (44.4) 
 ≥ pT393 (59.7)15 (55.6) 
N stage, n (%)  0.888
 pN-96 (61.5)17 (63) 
 pN+60 (38.5)10 (37) 
Variant histology, n (%)  0.599
 No115 (73.7)18 (66.7) 
 Yes41 (26.3)9 (33.3) 
 Squamous34 (82.9)5 (55.6) 
 Sarcomatoid4 (9.8)2 (22.2) 
 Micropapillary2 (4.8)0 
 Nested1 (2.5)2 (22.2) 
Number of LNs Removed (median ± SD)18 (13–27)20 (14–28)0.447
Adjuvant chemotherapy, n (%) 0.802
 Yes71 (45.5)11 (40.7) 
 No85 (54.5)16 (59.3) 
Recurrence n (%)  0.503
 No84 (53.8)17 (63) 
 Yes72 (46.2)10 
 Loco-regional13 (18.1)4 (40) 
 Distant40 (55.5)3 (30) 
 Urinary5 (6.9)0 
 Multiple site14 (19.5)3 (30) 
PMI Type 1 mean ± SD7.71 ± 1.735.47 ± 1.14<0.001
PMI Type 2 mean ± SD1.38 ± 0.331.04 ± 0.25<0.001
SMI Type 1 mean ± SD49.82 ± 6.7440.26 ± 4.87<0.001
SMI Type 2 mean ± SD8.98 ± 1.547.77 ± 1.55<0.001
SMD mean ± SD40.81 ± 7.3337.97 ± 7.650.067
Death, n (%)103 (66)17 (63)0.928
CCI: Charlson Comorbidity Index, IQR: Interquartile Range, LN: Lymph Node, RNU: Radical Nephroureterectomy, RC: Radical Cystectomy, SD: Standard Deviation, TUR: Transurethral Resection, BMI: Body Mass Index.
As shown in Table 1, significant differences were found between genders in terms of height, weight, smoking history, and radiological parameters related to sarcopenia (p < 0.05). Radiological parameters related to sarcopenia did not significantly different in patients treated neoadjuvant chemotherapy and those not treated with neoadjuvant chemotherapy (p > 0.05).
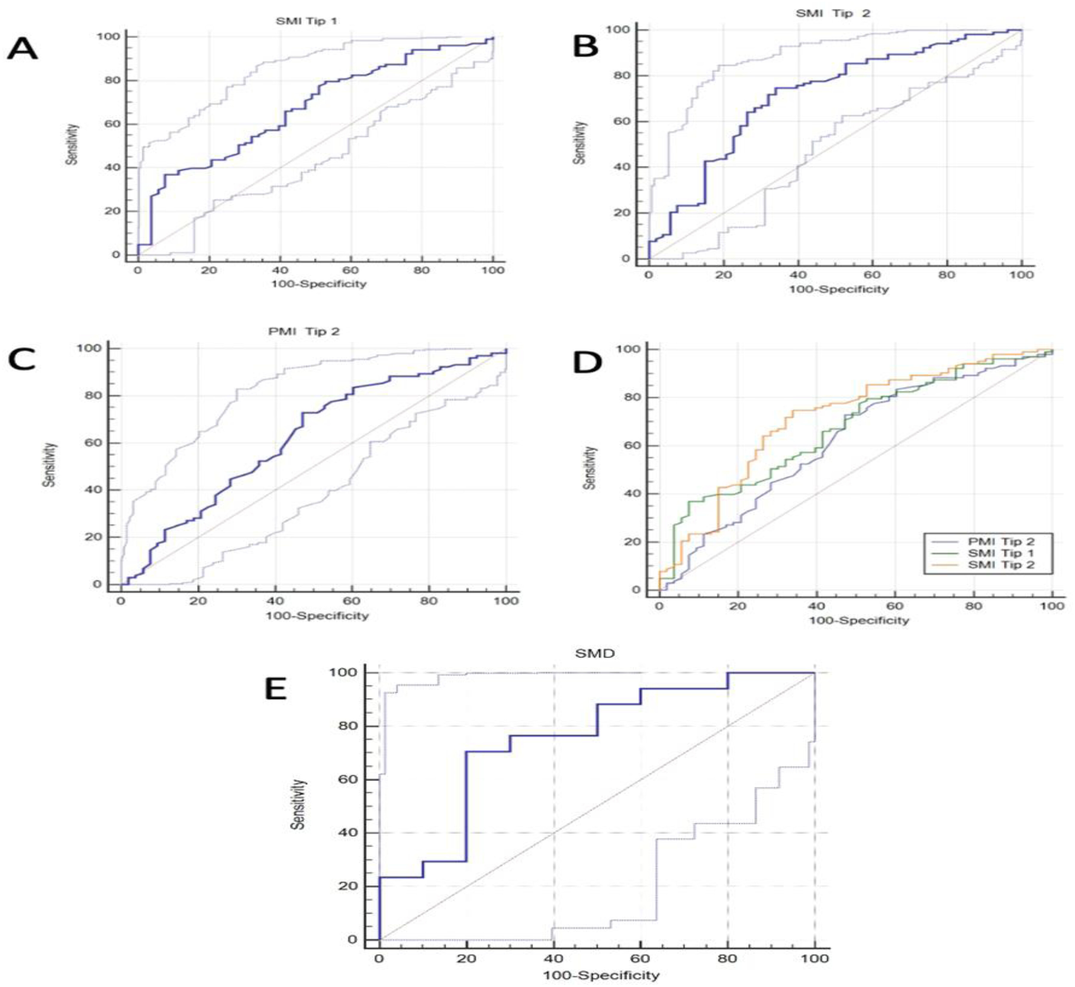
Figure 3 shows ROC analysis for sarcopenic parameters for overall survival. For male patients, the threshold values were calculated as follows: 45.3 cm2/m2 for SMI type 1, with an AUC value of 0.67; 9.53 for SMI type 2, with an AUC value of 0.71; and 1.47 for PMI type 2, with an AUC value of 0.62. In female patients, only the SMD threshold value was determined to be 39 HU, with an AUC value of 0.75.
Figure 3. ROC curve representation of radiological parameters that may affect overall survival in male and female patients who underwent radical cystectomy, along with a schematic representation of sensitivity and specificity values (A-D represent male patients, E represents female patients). (The light-coloured curves in figures A, B, C and E indicate the confidence interval of the parameters). A) SMI type 1: sensitivity 36.8% and specificity 92.4%. B) SMI type 2: sensitivity 74.7% and specificity 66%. C) PMI type 2: sensitivity 72.8% and specificity 52.8%. D) Comparison between SMI type 1–2 and PMI type 2. E) SMD: sensitivity 70.5% and specificity 80%.
Among male patients, there was a statistically significant difference in age and BMI between sarcopenic and non-sarcopenic patients based on radiological parameters (p < 0.05). In female patients, when comparing sarcopenic and non-sarcopenic groups based on radiological parameters, only age showed a significant difference (p < 0.05, Supplement Table 1).
Univariate and multivariate analyses were conducted to identify factors affecting overall survival. In male patients, univariate Cox regression analysis showed that age (HR: 1.56 95% CI:1.04–2.34), pT stage (HR: 2.22 95% CI:1.45–3.39), pN stage (HR: 1.89 95% CI:1.26–2.86.), SMI type 1 (HR: 2.48 95% CI:1.64–3.73), SMI type 2 (HR: 2.75 95% CI:1.75–4.32), and PMI type 2 (HR: 2.07 95% CI:1.33–3.2) were significantly associated with overall survival (p < 0.05). In female patients, univariate Cox regression analysis revealed that pT stage (HR: 3.64 95% CI:1.26–10.52), pN stage (HR: 3.21 95% CI:1.15–8.92), and only SMD (HR: 3.36 95% CI:1.17–9.64) were significant predictors of overall survival (p < 0.05) (Table 2).
Table 2. Univariate cox regression analysis for factors affecting overall survival in male and female populations.
 MaleFemale
VariablesHR (95% CI)P-valueHR (95% CI)P-value
Age (<65 vs. ≥65) (Ref: <65)1.56 (1.04–2.34)0.032.46 (0.9–6.73)0.079
pT Stage (≤T2 vs. ≥T3) (Ref: ≤T2)2.22 (1.45–3.39)<0.0013.64 (1.26–10.52)0.017
pN Stage (Positive vs. Negative) (Ref: Negative)1.89 (1.26–2.86)0.0023.21 (1.15–8.92)0.025
Variant Histology (Positive vs. Negative) (Ref: Negative)1.39 (0.91–2.11)0.121.46 (0.53–3.97)0.457
Time Between TUR and RC (months) (≤3 vs. >3) (Ref: ≤3)0.86 (0.56–1.3)0.4812.71 (0.97–7.52)0.055
CCI Adjusted for Age (<3 vs. ≥3) (Ref: <3)0.87 (0.57–1.31)0.5173.41 (0.77–15)0.105
CIS (Positive vs. Negative) (Ref: Negative)1.47 (0.97–2.24)0.0681.71 (0.63–4.65)0.29
Number of LNs Removed (≤18 vs. >18) (Ref: ≤18)0.93 (0.63–1.38)0.746N/A
Number of LNs Removed (≤20 vs. >20) (Ref: ≤20)N/A0.69 (0.25–1.88)0.476
SMI Type 1 (≤45.3 vs. >45.3) (Ref: >45.3)2.48 (1.64–3.73)<0.001N/A
SMI Type 2 (≤9.53 vs. >9.53) (Ref: >9.53)2.75 (1.75–4.32)<0.001N/A
PMI Type 2 (≤1.47 vs. >1.47) (Ref: >1.47)2.07 (1.33–3.2)0.001N/A
SMD (≤39 vs. >39) (Ref: >39)N/A3.36 (1.17–9.64)0.024
CCI: Charlson Comorbidity Index, CIS: Carcinoma in-situ, CI: Confidence Interval, pT: Pathological T Stage, pN: Pathological N Stage, PMI: Psoas Muscle Index, RC: Radical Cystectomy, SMI: Skeletal Muscle Index, TUR: Transurethral Resection, Ref: Reference, HR: Hazard Ratio
Multivariate Cox regression analysis in male patients involved three separate models adjusting age, pT, pN and each radiological sarcopenia parameter (SMI type 1, SMI type 2, and PMI type 2), which had been found as significant predictor in univariate analysis. In all multivariable models, the SMI type 1, SMI type 2, and PMI type 2 remained significant for overall survival (p < 0.05). On the other hand, in female patients, when modeling based on SMD, the significance of pT and N stages was disappeared, while SMD remained a significant independent prognostic factor for overall survival (p = 0.018) (Table 3).
Table 3. Multivariate cox regression analysis for variables affecting overall survival in male and female populations.
Model (Population)VariablesHR (95% CI)P-value
Model SMI Type 1 (Male)Age (<65 vs. ≥65) (Ref: <65)0.64 (1.02–1.63)0.091
pT Stage (≤T2 vs. ≥T3) (Ref: ≤T2)1.92 (1.23–3.01)0.004
pN Stage (Positive vs. Negative) (Ref: Negative)1.54 (1.00–2.35)0.045
SMI Type 1 (≤45.3 vs. >45.3) (Ref: >45.3)2.45 (1.54–3.9)<0.001
Model SMI Type 2 (Male)Age (<65 vs. ≥65) (Ref: <65)0.98 (0.64–1.52)0.957
pT Stage (≤T2 vs. ≥T3) (Ref: ≤T2)1.99 (1.26–3.14)0.003
pN Stage (Positive vs. Negative) (Ref: Negative)1.63 (1.06–2.51)0.025
SMI Type 2 (≤9.53 vs. >9.53) (Ref: >9.53)2.95 (1.81–4.79)<0.001
Model PMI Type 2 (Male)Age (<65 vs. ≥65) (Ref: <65)1.25 (0.82–1.90)0.292
pT Stage (≤T2 vs. ≥T3) (Ref: ≤T2)1.80 (1.14–2.85)0.011
pN Stage (Positive vs. Negative) (Ref: Negative)1.44 (0.94–2.22)0.093
PMI Type 2 (≤1.47 vs. >1.47) (Ref: >1.47)1.74 (1.10–2.75)0.016
Model SMD (Female)pT Stage (≤T2 vs. ≥T3) (Ref: ≤T2)2.74 (0.82–9.11)0.099
pN Stage (Positive vs. Negative) (Ref: Negative)2.21 (0.70–6.99)0.174
SMD (≤39 vs. >39) (Ref: >39)3.68 (1.24–10.89)0.018
pT: Pathological T Stage, pN: Pathological N Stage, PMI: Psoas Muscle Index, SMI: Skeletal Muscle Index, SMD: Skelethal Muscle Density, Ref:Reference, HR:Hazard Ratio
There was no significant difference in overall survival rates between male and female patients. The 24-month cumulative overall survival rate was 53.4% for men and 38.9% for women (Log-rank p = 0.704, Supplement Figure 1).
Among 156 male patients, there was a significant difference in overall survival between sarcopenic and non-sarcopenic groups categorized according to radiological sarcopenic markers including SMI type I, SMI type 2, and PMI type 2. In the SMI type 1 classification, the 24-month cumulative overall survival rate was 33.2% for sarcopenic patients (n = 42) and 61.1% for non-sarcopenics (n = 114) (Log-rank p < 0.001). In the SMI type 2 classification, the 24-month cumulative overall survival rate was 42% for sarcopenic patients (n = 95) and 71.7% for non-sarcopenics (n = 61) (Log-rank p < 0.001). When classified by PMI type 2, there was also a significant difference between sarcopenic (n = 100) and non-sarcopenic (n = 56) male patients, with 24-month cumulative overall survival rates of 43.9% and 70.8%, respectively (Log-rank p = 0.001) (Supplement Figure 2).
In female patients classified by SMD, the 24-month cumulative overall survival rate was 21.4% for sarcopenic patients (n = 14) and 58.7% for non-sarcopenics (n = 13), with a statistically significant difference (Log-rank p = 0.014).
Subgroup analyses performed for localized (pT0-2N0) and locally advanced disease (>pT2 or pN+) by Kaplan-Meier survival curves indicated that 101 male patients with locally advanced bladder cancer when classified by SMI type 1, the 24-month cumulative overall survival rate was 27.6% for sarcopenic patients (n = 29) and 52.1% for non-sarcopenics (n = 72) to be statistically different (Log-rank p = 0.001). In the SMI type 2 classification for this group, the 24-month cumulative overall survival rate was 34.4% for sarcopenic patients (n = 64) and 63.8% for non-sarcopenics (n = 37) to be statistically different (Log-rank p < 0.001). Similarly, in the PMI type 2 classification, the 24-month cumulative overall survival rates for sarcopenic (n = 68) and non-sarcopenic (n = 33) male patients with locally advanced bladder cancer were 36.8% and 62.5%, respectively, as statistically different (Log-rank p = 0.005 (Supplement Figure 3).
Among 55 male patients with localized bladder cancer (pT0-2 and pN-), the 24-month cumulative overall survival rates were 44.9% for sarcopenic patients (n = 13) and 76.2% for non-sarcopenics (n = 42) to be statistically different when classified by SMI type 1 (Log-rank p = 0.002). When classified by SMI type 2, the 24-month cumulative overall survival rates were 57.5% (sarcopenic, n = 31) and 83.3% (non-sarcopenic, n = 24), respectively, as statistically different (Log-rank p = 0.021)(Supplement Figure 4). However, there was no statistically significant difference in 24-month cumulative overall survival between male patients classified as sarcopenic or nonsarcopenic according to PMI Type 2 with localized bladder cancer (Log-rank p = 0.118, Supplement Figure 5).
In 17 female patients with locally advanced bladder cancer (> pT2 or pN+), all sarcopenic (n = 10) patients classified by SMD died within 24 months, while the 24-month overall survival rate in the non-sarcopenic group (n = 7) was 34.3% as statistically different (Log-rank p = 0.031). There was no statistically significant difference in 24-month cumulative overall survival between female patients classified as sarcopenic or nonsarcopenic according to SMD with localized bladder cancer (Log-rank p = 0.295) (Supplement Figure 6).

Discussion

Radical cystectomy is a challenging surgical procedure, often performed in older adults, with high rates of morbidity and mortality. A decrease in muscle density in the body may be an indicator of a catabolic process such as muscle breakdown. In this context, recent studies have demonstrated that muscle mass can predict complication rates, perioperative mortality, and long-term mortality in patients with bladder cancer treated with radical cystectomy.1214 Especially in the era of developing radiologic-based artificial intelligence, radiologic sarcopenia assessment of patients scheduled for radical cystectomy may provide us with a non-invasive prediction of how the survival of patients will progress. Therefore, determining whether patients undergoing radical cystectomy are sarcopenic may help in patient selection and prognosis prediction.In this study, sarcopenia-associated markers were identified by analyzing computed tomography images and calculating the cross-sectional areas of skeletal muscles at the L3 vertebral level. Based on these measurements, gender-specific optimal cutoff values were established, and sarcopenic patients were categorized according to the specific markers. Radiologically based sarcopenic assessments were used to predict overall survival, with each marker being evaluated individually and comparatively. Our study has shown that there are clear differences between male and female patients in terms of muscle mass or sarcopenia markers. It was necessary to examine the markers associated with sarcopenia separately in these two genders with different muscle masses, and we emphasized this point.
The optimal cutoff value for SMD was determined as 39 HU in females, while in males, the optimal cutoff values for SMI Type 1, SMI Type 2, and PMI Type 2 were calculated as 45.3 cm2/m2, 9.53, and 1.47, respectively. Patients identified as sarcopenic according to these markers were found to have significantly poorer overall survival outcomes.
In the literature, the most commonly used threshold values for SMI Type 1 are those established by Martin et al.(For men: SMI <43 cm2/m2 for BMI <25 kg/m2 and SMI <53 cm2/m2 for BMI ≥ 25 kg/m2, women: SMI <41 cm2/m2), Prado et al. (For men: SMI ≤52.4 cm2/m2 and women SMI ≤38.5 cm2/m2), and the Lancet Oncology Consensus (For men: SMI ≤55 cm2/m2 and women SMI ≤39 cm2/m2). Martin et al. employed a formula incorporating BMI for male patients. More recent publications predominantly use thresholds independent of BMI, as defined by Prado et al. or the Lancet Oncology Consensus.5,11 We believe the relatively lower threshold value for SMI Type 1 identified in our study may be attributable to factors such as ethnicity, dietary habits, and geographical variations.
The five-year overall survival rate for patients undergoing radical cystectomy due to muscle-invasive bladder cancer is approximately 50%.15 A review of the literature reveals that more than half of the patients had tumors staged at pT2 or lower.15,16 The VESPER randomized controlled trial, one of the more recent studies, reported a 5-year overall survival of approximately 60% in patients who received neoadjuvant chemotherapy before cystectomy.17 In our study, 59% of patients had tumors staged at pT3 or higher, and the rate of adjuvant chemotherapy was lower than this proportion (44.8%). This likely explains, at least in part, the lower overall survival rates observed in our study compared to the literature.
Several studies have demonstrated the prognostic value of sarcopenia in cancer patients.12,18,19 Consistent with the literature, the overall survival rates of patients classified as sarcopenic or non-sarcopenic based on the thresholds determined for SMI Type 1, PMI Type 2 in males, and SMD in females were significantly lower for the sarcopenic groups.4,5,10,12,20
The most commonly used threshold values for SMI Type 1 in the literature are those determined by Martin et al.4. This study demonstrated that SMI Type 1 is an independent prognostic factor for overall survival in patients with gastrointestinal and lung cancers. Psutka et al. were among the first to show that sarcopenic patients, classified by SMI Type 1, undergoing radical cystectomy for bladder cancer had worse overall survival compared to non-sarcopenic patients (39% vs. 70%).12 Similarly, a study by Mayr et al. demonstrated that sarcopenia defined by SMI Type 1 is an independent risk factor for overall survival in patients undergoing radical cystectomy for bladder cancer (HR 1.43; 95% CI: 1.09–1.87; p = 0.01).21 In our study, sarcopenia classified as SMI Type 1 was demonstrated to be a strong independent predictor of overall survival in male patients. Sarcopenic patients exhibited an approximately 2.5-fold lower overall survival rate, with a 24-month cumulative overall survival rate of 33.2%.
Unlike prior studies, our study was the first to evaluate sarcopenia using SMI Type 2 (total muscle area at the L3 vertebra divided by L3 vertebral cross-sectional area). Male patients were classified as sarcopenic or non-sarcopenic based on SMI Type 2. Our analysis revealed that SMI Type 2 is a strong independent prognostic factor for overall survival in male patients. Sarcopenic patients demonstrated an approximately 3-fold lower overall survival rate, with a 24-month cumulative overall survival rate of 42%.
Another parameter for sarcopenia based on muscle area is PMI. Various methods and thresholds for PMI have been reported in the literature.10,18,2224 In our study, appropriate thresholds for PMI Type 1 could not be determined for either gender. However, using the novel PMI Type 2 defined in our study, we established a threshold for male patients and classified them as sarcopenic or non-sarcopenic. Both univariate and multivariate regression analyses demonstrated that PMI Type 2 is a strong independent prognostic factor for overall survival in male patients. Sarcopenic patients exhibited an approximately 1.75-fold lower overall survival rate, with a 24-month cumulative overall survival rate of 43.9%. In particular, some systematic reviews have shown that the L3 or L4 vertebrae are the sections that best reflect muscle density in studies on sarcopenia.25,26 In our study, we emphasized the prognostic value of SMI 2 and PMI 2, obtained from the L3 VCA-based psoas muscle and general cross-sectional muscle assessments in patients undergoing radical cystectomy for bladder cancer.
Another prognostic factor in cancer patients is SMD, which reflects the fat infiltration within muscle tissue. Lower SMD values indicate greater fat content and reduced muscle quality. Sarcopenia defined by SMD is also referred to as myosteatosis in the literature. Few studies have evaluated myosteatosis as a prognostic factor in bladder cancer. Yamashita et al. assessed 123 patients undergoing radical cystectomy for bladder cancer and reported that myosteatosis was an independent prognostic factor for cancer-specific survival (HR 3.53; 95% CI: 1.30–12.50; p = 0.04) but not for overall survival (p = 0.10).20 Engelmann et al., in a recent study involving 657 patients undergoing radical cystectomy, demonstrated that low SMD values were significantly associated with decreased overall survival.14 Our study showed that female patients classified by SMD had lower overall survival in the sarcopenic group compared to the non-sarcopenic group. SMD was identified as a strong independent prognostic factor for overall survival in women in the multivariate Cox regression model (HR 3.68; 95% CI: 1.24–10.89) (Table 3). The 24-month cumulative overall survival rates for sarcopenic and non-sarcopenic groups were 21.4% and 58.7%, respectively (p = 0.014). Evaluating the above studies emphasizing myosteatosis as an important prognostic factor for bladder cancer, it is clear that male and female patients were seperately analyzed in these papers. It should be noted that male and female have different muscle masses in both quantity and structure. In our study, we also demonstrated a significant difference in muscle mass between the sexes. We speculate that one underlying mechanism may be hormonal, and that estrogen may also be associated with myosteatosis. Therefore, unlike in men, we believe that a different sarcopenic prognostic marker (SMD) may have been identified in female cohort, due to the fat density in their musculature, regardless of the small number of patients.
An additional significant finding was the evaluation of sarcopenia parameters based on localized versus locally advanced disease. Fukushima et al. demonstrated that sarcopenia is an independent risk factor for shorter overall survival in patients with advanced urothelial carcinoma (11 vs. 31 months).27 Kasahara et al. evaluated 27 patients with advanced bladder cancer treated with gemcitabine and nedaplatin, reporting mean overall survival of 223 days in the sarcopenic group compared to 561 days in the non-sarcopenic group.22 In our study, SMI Type 1, SMI Type 2, and PMI Type 2 were significant predictors of overall survival in males with locally advanced disease, while SMD was significant in females. In localized disease, SMI Type 1 and SMI Type 2 remained as significant predictors in males, but PMI Type 2 and SMD were not in both male and female patients.

Limitations

This study has several limitations, including its single-center and retrospective design. Therefore, we clearly acknowledge that our results in the study need to be validated with external cohort studies in order to be generalizable. Given that some of the AUCs’ values mentioned above are relatively low and confidence intervals are relatively wide, we also acknowledge that our study may have limited statistical power. Additionally, the absence of disease-specific survival data and limited female patient numbers might have influenced the results. Furthermore, frailty symptoms were not evaluated, although these are crucial for a comprehensive clinical assessment of sarcopenia.8 Taken together, our findings may be supported by future prospective studies in which radiological sarcopenic patients are evaluated using frailty symptom questionnaires.

Conclusion

In conclusion, by determining sarcopenia parameters obtained from CTroutinely used in almost all bladder cancer patients for staging purposes, we foundthat three sarcopenia parameters (SMI type 1, SMI type 2, and PMI type 2) in male patients and one (SMD) in female patients are prognostic factors that significantly affect overall survival.
Our study is the first to recognize SMI type 2 and PMI type 2 as prognostic indicators in patients undergoing radical cystectomy. We believe that the radiological sarcopenia markers and threshold values we identified in our study can be confirmed in multicenter studies representing different ethnic groups.

Acknowledgements

We thank Dr Özgür Çakır for his help in the analysis of radiological images and Dr Sibel Balcı for her help in statistical analysis. This study is the doctoral thesis of Enes Malik Akdaş. Thanks to his thesis advisor Dr Kerem Teke for his contributions.

Declaration of conflicting interests

The authors declared no potential conflicts of interest with respect to the research, authorship, and/or publication of this article.

Funding

The authors received no financial support for the research, authorship, and/or publication of this article.

ORCID iDs

Data availability statement

Data are available upon reasonable request to the Corresponding Author.

References

1. Gontero P, Birtle A, Capoun O, et al. European Association of Urology Guidelines on Non–muscle-invasive Bladder Cancer (TaT1 and Carcinoma In Situ)—A Summary of the 2024 Guidelines Update. Eur Urol 2024; 86(6): 531–549.
2. Cinar NB, Yilmaz H, Avci IE, et al. Reporting perioperative complications of radical cystectomy: the influence of using standard methodology based on ICARUS and EAU quality criteria. J World J Surg Oncol 2023; 21: 58.
3. Teke K, Avci I, Cinar N, et al. Immune-inflammatory-nutritional status predicts oncologic outcomes after radical cystectomy for urothelial carcinoma of bladder. J Actas Urológicas Españolas 2023; 47: 430–440.
4. Martin L, Birdsell L, MacDonald N, et al. Cancer cachexia in the age of obesity: skeletal muscle depletion is a powerful prognostic factor, independent of body mass index. J Clin Oncol 2013; 31: 1539–1547.
5. Prado CM, Lieffers JR, McCargar LJ, et al. Prevalence and clinical implications of sarcopenic obesity in patients with solid tumours of the respiratory and gastrointestinal tracts: a population-based study. Lancet Oncol 2008; 9: 629–635.
6. Zeng Y, Cai C, Pan N. Prognostic effects of sarcopenia on patients with bladder cancer: a systematic review and meta-analysis. Cancer Investig 2024: 1–15.
7. Cruz-Jentoft AJ, Baeyens JP, Bauer JM, et al. Sarcopenia: European consensus on definition and diagnosis: report of the European Working Group on Sarcopenia in Older People. Age Ageing 2010; 39: 412–423.
8. Cruz-Jentoft AJ, Bahat G, Bauer J, et al. Sarcopenia: revised European consensus on definition and diagnosis. Age Ageing 2019; 48: 16–31.
9. Shen W, Punyanitya M, Wang Z, et al. Total body skeletal muscle and adipose tissue volumes: estimation from a single abdominal cross-sectional image. J Appl Physiol 2004; 97: 2333–2338.
10. Derstine BA, Holcombe SA, Ross BE, et al. Skeletal muscle cutoff values for sarcopenia diagnosis using T10 to L5 measurements in a healthy US population. Sci Rep 2018; 8: 11369.
11. Fearon K, Strasser F, Anker SD, et al. Definition and classification of cancer cachexia: an international consensus. Lancet Oncol 2011; 12: 489–495.
12. Psutka SP, Carrasco A, Schmit GD, et al. Sarcopenia in patients with bladder cancer undergoing radical cystectomy: impact on cancer-specific and all-cause mortality. Cancers (Basel) 2014; 120: 2910–2918.
13. Ibilibor C, Psutka SP, Herrera J, et al. The association between sarcopenia and bladder cancer-specific mortality and all-cause mortality after radical cystectomy: a systematic review and meta-analysis. Arab J Urol 2021; 19: 98–103.
14. Engelmann SU, Pickl C, Haas M, et al. Body composition of patients undergoing radical cystectomy for bladder cancer: sarcopenia, low psoas muscle index, and myosteatosis are independent risk factors for mortality. Cancers (Basel) 2023; 15: 1778.
15. Ghoneim MA, Abdel-Latif M, El-Mekresh M, et al. Radical cystectomy for carcinoma of the bladder: 2,720 consecutive cases 5 years later. J Urol 2008; 180: 121–127.
16. Stein JP, Lieskovsky G, Cote R, et al. Radical cystectomy in the treatment of invasive bladder cancer: long-term results in 1,054 patients. J Clin Oncol 2001; 19: 666–675.
17. Pfister C, Gravis G, Flechon A, et al. Perioperative dose-dense methotrexate, vinblastine, doxorubicin, and cisplatin in muscle-invasive bladder cancer (VESPER): survival endpoints at 5 years in an open-label, randomised, phase 3 study. Lancet Oncol 2024; 25: 255–264.
18. Lee C, Park I-J, Kim K-W, et al. Influence of postoperative changes in sarcopenia on long-term survival in non-metastatic colorectal cancer patients. Cancers (Basel) 2021; 13: 2410.
19. Smith AB, Deal AM, Yu H, et al. Sarcopenia as a predictor of complications and survival following radical cystectomy. J Urol 2014; 191: 1714–1720.
20. Yamashita S, Iguchi T, Koike H, et al. Impact of preoperative sarcopenia and myosteatosis on prognosis after radical cystectomy in patients with bladder cancer. Int J Urol 2021; 28: 757–762.
21. Mayr R, Gierth M, Zeman F, et al. Sarcopenia as a comorbidity-independent predictor of survival following radical cystectomy for bladder cancer. J Cachexia, Sarcopenia Muscle 2018; 9: 505–513.
22. Kasahara R, Kawahara T, Ohtake S, et al. A low psoas muscle index before treatment can predict a poorer prognosis in advanced bladder cancer patients who receive gemcitabine and nedaplatin therapy. BioMed Res Int 2017; 2017: 7981549.
23. Ahmadi H, Montie JE, Weizer AZ, et al. Patient psoas muscle mass as a predictor of complications and survival after radical cystectomy. Curr Urol Rep 2015; 16: 1–7.
24. Oliver J, Vemana G, Vetter J, et al. 1626 Sarcopenia predicts post-operative complications and length of stay following radical cystectomy. J Urol 2013; 189: e668–e669.
25. Sumbal R, Sumbal A, Ali Baig MM. Which vertebral level should be used to calculate sarcopenia in COVID-19 patients? A systematic review and meta-analysis. Clin Nutr ESPEN 2023; 56: –8.
26. Meyer HJ, Wienke A, Surov A. Computed tomography-defined body composition as prognostic markers for unfavourable outcomes and in-hospital mortality in coronavirus disease 2019. J Cachexia Sarcopenia Muscle 2022; 13: 159–168.
27. Fukushima H, Yokoyama M, Nakanishi Y, et al. Sarcopenia as a prognostic biomarker of advanced urothelial carcinoma. PloS one 2015; 10: e0115895.

Supplementary Material

Please find the following supplemental material available below.

For Open Access articles published under a Creative Commons License, all supplemental material carries the same license as the article it is associated with.

For non-Open Access articles published, all supplemental material carries a non-exclusive license, and permission requests for re-use of supplemental material or any part of supplemental material shall be sent directly to the copyright owner as specified in the copyright notice associated with the article.