Skip to main content
Intended for healthcare professionals

Abstract

Background:

The Coronavirus Disease of 2019 (COVID-19) pandemic catalyzed palliative homecare programs’ increased use of virtual care (by phone/video platforms), but uptake was unknown.

Aim:

To understand clients’ and clinicians’ use and experiences of virtual homecare visits.

Design:

Mixed-methods, cross-sectional survey, and interview study.

Setting/Participants:

Clients receiving palliative homecare in regions of four Canadian provinces were mailed paper surveys (December 2022–June 2023) with quantitative and open-text questions. Palliative homecare clinicians received a corresponding survey by e-mail. Clients and clinicians completing the survey were invited to participate in a qualitative interview.

Results:

Of 378 client respondents to the survey, most had experienced phone virtual care (65%) but only 8% had video visits. Of 265 clinician respondents (53% nurses, 10% allied health, 8% physicians), 70% increased their use of phone and 29% increased video visits during COVID peaks but this was not sustained between waves. Clients favored in-person visits for all activities. Clinicians rated in-person visits more highly for all activities, except for triaging visits (30% perceived virtual modalities better for triaging than in-person, 18% favored in-person, 38% neutral, and 14% had not tried triaging virtually). Qualitative analysis revealed: Factors influencing virtual technology use; Risks and disadvantages of virtual care; Advantages of virtual care; Virtual care’s role; and Adaptations for virtual care.

Conclusions:

Qualitative and quantitative data were convergent, describing virtual visits as beneficial for limited aspects of palliative homecare, with significant utilization challenges. Client and provider barriers must be systematically addressed, if sustained use of virtual technology is to supplement in-person palliative homecare.

Introduction

The COVID-19 pandemic profoundly impacted health care service delivery, including palliative homecare services.1 Clients (patients and their family caregivers) and homecare clinicians (nurses, personal support workers or health care aides, allied health care providers and physicians) faced hardships, such as physical distancing, restrictions on visiting loved ones, and shortages in staff and personal protective equipment (PPE), amid fear and loss.2 The pandemic increased the need for palliative care services, including spiritual and psychosocial support, symptom management, end-of-life discussions and bereavement support.3 However, rising COVID-19 cases and community restrictions made it difficult to continue providing in-person care to people receiving palliative care at home.4
In Canada, virtual care, defined as providing health care from a distance using technology,5 in palliative homecare before the pandemic. It was mostly used to bridge distances in rural contexts, connect with remote specialists, and few programs using asynchronous remote monitoring between visits.6,7 The standard of care, prepandemic, was providing in-person visits for patients receiving palliative-focused care at home. Virtual care expanded rapidly within palliative homecare programs as a result of the pandemic, and clients and clinicians had to quickly adapt to this unfamiliar form of receiving and delivering palliative homecare.8
A qualitative study9 from a single, palliative homecare program and a rapid evidence check5 reported that although patients, caregivers and providers identified some useful features of virtual modalities, they also expressed some challenges, such as issues with trust, ethical concerns, and administrative burdens.
With workforce, environmental, seasonal infections, and other challenges facing homecare delivery, it is important to both quantify and understand virtual care experiences of palliative homecare clients and clinicians at a population level. This multicenter, multiprovince, cross-sectional mixed-methods study explored the experiences of Canadian clients and clinicians with virtual palliative homecare modulated by the pandemic, to understand the ongoing and potential future roles of virtual modalities in palliative homecare delivery. The aims of the research were to describe clients’ and clinicians’ use of, adaptations to, and tips for virtual palliative homecare visits.

Methods

Design and setting

This mixed-methods (quantitative and qualitative) cross-sectional study was conducted across five palliative homecare programs10 in four Canadian provinces, with research ethics board approval from each region: Fraser Health, British Columbia, Alberta Health Services, Calgary Zone and Edmonton Zone, Alberta, Champlain Region, Ottawa, Ontario, and Center intégré universitaire de santé et de services sociaux de la Capitale-Nationale, Quebec. In this study, we defined virtual homecare visits as contact between a client and clinician from a palliative-focused homecare program provided by telephone or online platforms with video capability, in contrast to in-person visits in the client’s home. Sites had policies for staff about using secure video platforms.

Study population

The study population was (a) active adult (aged ≥18 years) clients receiving home-based palliative and end-of-life care services, and (b) Palliative homecare clinicians (predominantly homecare nurses and case managers, specialist palliative care nurses, palliative consultant physicians, and allied health providers), of the five homecare programs.

Data collection and instruments

Surveys with quantitative and semi-qualitative questions were developed using Michie’s Theoretical Domains Framework11 and “Talk-Aloud”12 testing with patient partners in the research team. Demographic factors such as age, gender, level of education, birthplace, current province and locality (rural–urban) were collected. Data collection occurred between October 2022 and July 2023, which corresponds to the tail-end of the pandemic, declared “over” in May 2023.13 Clinicians were asked about their use of virtual care before, during, and in-between peaks of COVID-19, whereas clients’ questions were naturally about the period in which they were receiving palliative homecare.

Client survey

Homecare administrative assistants at each site mailed the survey, with a cover letter invitation, to clients. The client survey (Supplementary Data S1a) contained 16 quantitative and open text questions that could be completed by the patient/their family/caregiver, either by post (mailed back with prepaid envelope), by phone (with a research coordinator), or online (University of Calgary Survey tool (Qualtrics, Provo, UT).

Clinician survey

Palliative homecare clinicians were identified by homecare managers and sent an e-mail inviting them to complete an online survey (University of Calgary Qualtrics) (October 2022–July 2023). The e-mail was sent to clinicians three times over a three-month period. It contained 17 quantitative and open text questions (Supplementary Data S1b). An invitation was also available nationally for clinicians on the website of the Canadian Homecare Association.14

Qualitative interviews

At the end of the survey, participants were invited to indicate their interest in being interviewed. The semi-structured interview guides were developed using human factors theory, incorporating principles from Critical Incident Technique15 and Cognitive Task Analysis.16 These help participants debrief on how and why they performed homecare tasks with or without virtual care. Interviews were conducted by the research coordinator in Calgary or in Ottawa (December 2022–zJuly 2023) via phone or video platform, as per participant preference. With consent, interviews were recorded and transcribed verbatim with identifiable information redacted.

Data analysis

Concurrent triangulation, mixed methods analysis17,18 was used, meaning quantitative and qualitative data were analyzed within the same time period. This synthesis of quantitative and qualitative findings during interpretation allowed for contextualization and offered nuanced insight into the use of virtual modalities. Reporting guidelines for mixed-methods were followed.19

Quantitative analysis

Participants in both the client and clinician datasets were only included in analysis if they responded to at least the first question about frequency of virtual care usage.
Statistical analysis included descriptive summaries and multivariate analyses. Summary statistics were used to generate frequency counts and percentages to assess response distribution. Regression analysis with an ordered probit model was utilized to investigate the relationships between demographic factors and the five survey responses most aligned with the qualitative themes in this study, namely, frequency of virtual visits during the pandemic, using virtual care for team meetings, barriers to setting up virtual calls, and using virtual methods to triage visits. The demographic factors (see Supplementary Data S1 for definitions) controlled for in the regression analysis for clients were gender, education, birthplace, locality income, and province. The provider regression analysis controlled for age, profession, gender, locality, and province. If a respondent’s province was missing, it was imputed using the first three digits of the postal code clients provided or geocodes of computer IP addresses provided in Qualtrics.

Qualitative analysis

Inductive thematic analysis20 and Thorne’s Interpretive Description21 guided analysis of the experiences of receiving or delivering virtual palliative homecare. Three researchers (J.S.—physician, E.M.S. and S.K.—psychology background) performed a close reading and determined a list of preliminary codes from the transcribed interviews. They consensus-coded two transcripts (chosen at random; one client/caregiver transcript and one clinician transcript). The code book was iteratively refined from line-by-line coding to inductively identify emergent themes and categories. All coding was done using NVivo software (version 12). Each remaining transcript was double-coded by two researchers. The codes were themed independently, and consensus was reached through recurrent meetings of the team. Using the initial codebook, two researchers (J.S. and E.M.S.) also independently coded the open-text responses from the surveys and then met to discuss them. New codes emerging from the survey responses were added in and explored within the interviews. The larger qualitative investigative team (S.R.I., D.V., J.L., J.S., E.M.S., and S.K.) met to review and revise categories and themes.

Results

Survey respondents

A total of 378 clients responded from 3320 surveys mailed (11.4% response rate, printing and mailing cost per response was approximately $94.00). Inclusion criteria for analysis were met for 367 surveys (97%). Sixty-two percentage of the responses were patients, 38% were caregivers, and 1% were undisclosed (Table 1 Demographics). Paper surveys were more complete in their responses, with 99.65% of questions completed, compared to 88.76% when completed online. Of 265 clinicians who responded, 215 surveys were eligible for analysis (81%) (Table 2 Demographics). The majority (71%) were nursing professionals. There were 651 open-text responses from clients and 405 from clinicians.
Table 1. Quantitative Survey Client Demographics
Demographic variableCategoryN (%)
Age18–344 (1)
35–4920 (5)
50–6462 (17)
65–74105 (29)
75+163 (44)
Prefer not to disclose3 (1)
Did not answer10 (3)
GenderWoman204 (56)
Man146 (40)
Non-Binary6 (2)
I prefer not to answer2 (1)
Did not answer9 (2)
EducationUniversity graduate degree47 (13)
University undergraduate degree77 (21)
College degree84 (23)
High school diploma80 (22)
Less than grade 1261 (17)
Prefer not to disclose8 (2)
Did not answer10 (3)
BirthplaceCanada287 (78)
Outside Canada58 (16)
Prefer not to answer8 (2)
Did not answer14 (4)
ProvinceAlberta112 (31)
British Columbia49 (13)
Ontario135 (37)
Quebec71 (19)
Homecare DurationLess than one month27 (7)
One to two months59 (16)
Three to six months78 (21)
Seven months to one year83 (23)
Greater than one year119 (32)
Did not answer1 (0)
How often does a homecare provider visit you at home?Less than once a month52 (14)
One to three times a month85 (23)
Weekly75 (20)
Two to six times a week77 (21)
Daily72 (20)
Did not answer6 (2)
Table 2. Quantitative Survey Clinician Demographics
Demographic variableCategoryN (%)
Age18–3434 (16)
35–4985 (40)
50–6474 (34)
65–7412 (6)
Prefer not to disclose3 (1)
Did not answer7 (3)
GenderWoman180 (84)
Man24 (11)
I prefer not to answer4 (2)
Did not answer7 (3)
Profession/RoleHomecare Aide/Personal Support Worker6 (3)
Family Physician6 (3)
Consultant Palliative Care Physician13 (6)
Allied Health Professional (e.g., social worker, spiritual care, occupational therapist)25 (12)
Consultant Palliative Care Nurse or Nurse Practitioner31 (14)
Palliative Care Coordinator (Case Manager)44 (20)
Homecare Nurse73 (34)
Other10 (5)
Did not answer7 (3)
How many years have you been in your profession?0–5 years7 (3)
5–10 years7 (3)
10–15 years5 (2)
15–20 years7 (3)
20–25 years8 (4)
>25 years5 (2)
Did not answer176 (82)
ProvinceNova Scotia2 (1)
Saskatchewan2 (1)
New Brunswick3 (1)
Newfoundland and Labrador3 (1)
Northwest Territories3 (1)
Manitoba6 (3)
British Columbia26 (12)
Quebec41 (19)
Ontario60 (28)
Alberta69 (32)
LocalityUrban100 (47)
Mixed67 (31)
Rural35 (16)
Other6 (3)
Did not answer7 (3)

Interview participants

Semi-structured interviews were conducted with 14 participants (2 clients, 3 caregivers, 9 clinicians). All interviewees were women (Tables 3 and 4 Demographics).
Table 3. Qualitative Interview Client Demographics
Client/caregiver #ConditionProvinceEducationTech capabilityAgeSelf-described genderSelf-described race/ethnicityFirst language
Patient (P1)ALSONGraduate degreeNeutral70sFemaleCaucasianEnglish
Patient (P2)Breast CancerABBachelor’s degreeVery capable30sFemaleHalf European, half First NationsEnglish
Caregiver (C1)Son has congenital heart defect and autismONHigh schoolNeutral50sFemaleCaucasianEnglish
Caregiver (C2)Mom had metastatic breast cancerABBachelor’s degreeVery capable50sFemaleCaucasianEnglish
Caregiver (C3)Mom is in late stage of Alzheimer’sABPostsecondary diplomaSomewhat capable50sFemaleCaucasianEnglish
Table 4. Qualitative Interview Clinician Demographics
Clinician role #Years working in roleYears serving homecareEducation on virtual careTech capabilityAgeSelf-described genderSelf-described race/ethnicityFirst languageProvince
Social worker (SW1)2622NoneSomewhat capable50sFemaleCaucasianEnglishAB
Case manager RN (N1)2020LittleNeutral60sFemaleCaucasianEnglishAB
RPN (N2)1414NoneSomewhat capable60sFemaleCaucasian & SpanishEnglishON
Systems case manager (N3)1010LittleVery capable50sFemaleCaucasianEnglishAB
RN (N4)97SomeVery capable30sFemaleCaucasianEnglishAB
Case manager RN (N5)88NoneVery capable50sFemaleCaucasianEnglishAB
RPN (N6)13SomeVery capable40sFemaleAsianMandarinON
Palliative nurse practitioner (SPN1)11SomeSomewhat capable40sFemaleCaucasianEnglishON
Clinical nurse specialist/Palliative consultant (SPN2)75LittleSomewhat capable30sFemaleCaucasianEnglishAB

Frequency of virtual visits in palliative homecare

Half of the clients had experienced virtual visits (30% reported for a few of their visits, 20% for many of their visits), but, for the majority (65%), these virtual visits were by telephone. Only 8.7% reported any use of online video visits and, for 7.5%, this modality was only used for a few of their virtual visits (Fig. 1a). Most clients (55%) reported that they were not often given the choice of having a virtual visit.
FIG. 1. Frequency of virtual visit use (phone and video) by clients and clinicians. (a) Client reported frequency of phone visits. (b) Client reported frequency of video visits. (c) Clinician reported frequency of phone visits by phase of pandemic. (d) Clinician reported frequency of video visits by phase of pandemic.
Clinicians reported a marked increase in the frequency of their use of virtual visits through pandemic peaks (Fig. 1b), with a doubling in those using phones “often” and a seven-fold increase in using video visits “often.” However, even at pandemic peaks, 29% had never used video visits, 41% used these rarely and only 29% used video visits often, and this was not sustained beyond the peaks.
Multivariate regression analysis (Supplementary Data S2) revealed significant differences in the frequency of phone visits across professions, during the peaks of the pandemic. Compared with physicians, nurse consultants, and nurse practitioners, health care aides were 60.3% less likely to use phones often for virtual visits (p < 0.001) and 20.8% more likely to use phones rarely (p = 0.041). Homecare nurses were 18.4% less likely to use phones often (p = 0.04), but 13.9% more likely to use them rarely (p = 0.032) compared with physicians.
Differences in video visits were observed across gender groups, urban–rural practice groups and provinces. Male clinicians were 16.4% less likely to have used video visits often compared with females (p = 0.013). Physicians serving urban areas were 16.7% more likely to use video visits often (p = 0.044), compared with clinicians in rural areas. Compared with clinicians from QC, those from AB, BC, and ON were 20.1%−22.4% more likely to have used phone visits often during the peak of the pandemic. BC clinicians were 17.1% less likely to have never used video visits.

Mixed-methods results

Our analysis revealed largely convergent information from the qualitative (Fig. 2) and quantitative data (Figs. 3 and 4) that increases understanding of the reported frequencies and experiences of virtual visits in palliative homecare. Five predominant themes were identified: (1) Factors for using virtual technology (i.e., “Who can we use it with? What contextual elements shape decisions around the use of virtual visits?”); (2) Risks and disadvantages of virtual visits (i.e., “What are the problems?”); (3) Advantages of virtual visits (i.e., “What are the benefits?”); (4) Role of virtual visits in homecare (i.e., “What can it best be used for?”); and (5) Adaptations for virtual visits (i.e., “How can we use it better?”). We present the synthesis using a “weaving approach” with the qualitative and quantitative findings presented together for each theme.22
FIG. 2. Themes about experiences and perspectives about virtual palliative homecare emergent from client and clinician qualitative interviews and survey open text.
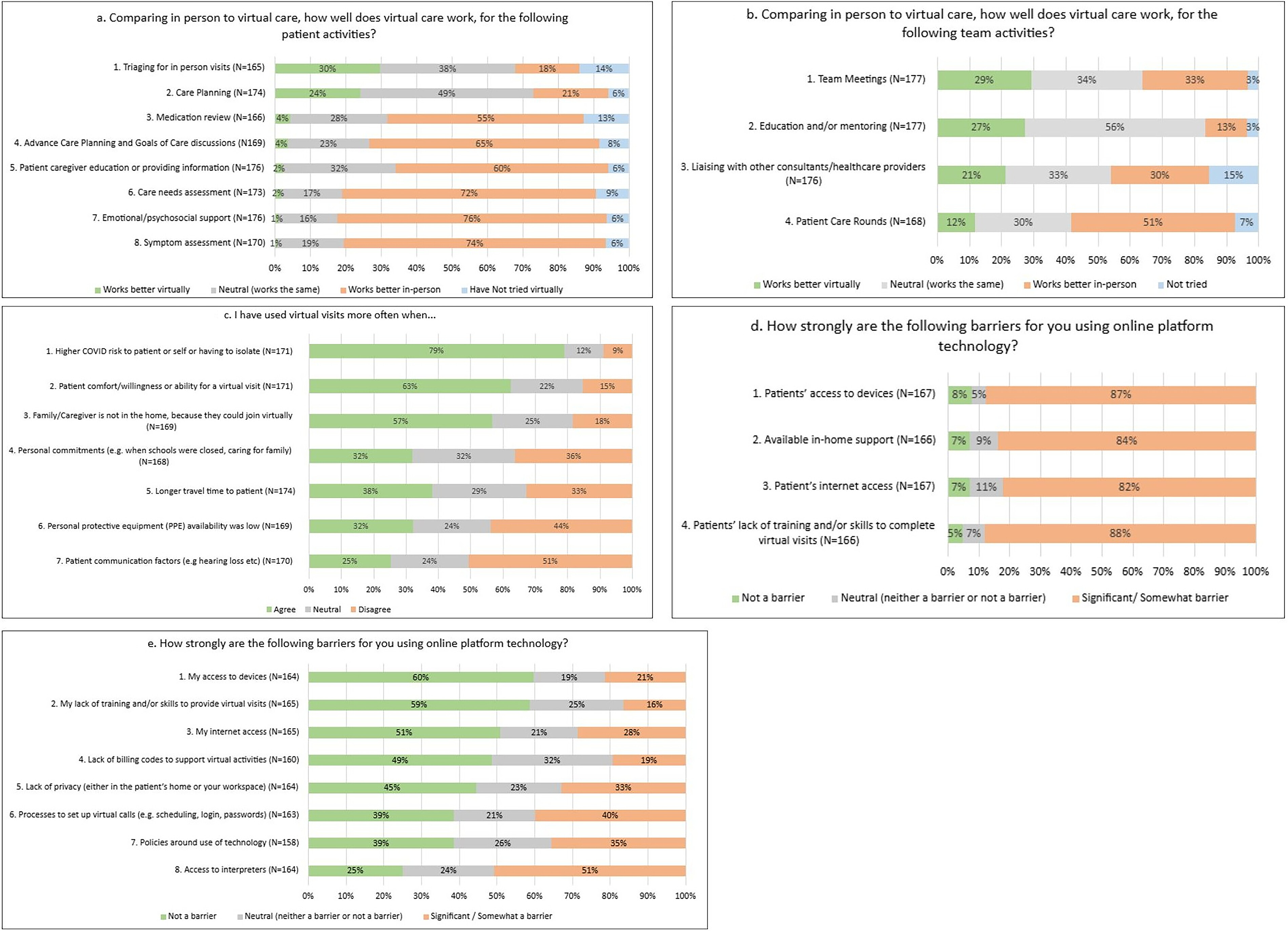
FIG. 3. Client survey quantitative results-Experiences of virtual visits.
FIG. 4. Clinician survey quantitative results-Experiences of virtual visits.

Factors for using virtual technology

Clinicians and clients identified certain prerequisites to be considered when deciding whether a virtual visit is appropriate. Subthemes include technology factors, client factors, clinician factors, and homecare system factors.

Technology factors

Challenges with using video visits for both clients and providers included Internet reliability, the need to recharge devices, and the availability of easy-to-use platforms. Internet reliability for clients was noted as a significant barrier (clients [39%] and clinicians [82%]). A clinician noted: “Inconsistent reliability of technology. So sometimes the Zoom feed, or the clients’ Internet would cut in and out or audio would lag. So that affects it too, the actual platform itself. Not always reliable” (Nurse5). Issues with technology such as battery life, security, Internet reliability, availability, and options for different tech platforms were reported: “And to just maintain the technology itself, right, booting and rebooting it, accessing things in multiple places that require extra passwords. Getting blocked out of the passwords, having to call IT and wait for that. That’s a start” (Nurse1).
In choosing when to use virtual technology, clinicians noted many challenges such as: “[There are] Expectations that technology works seamlessly in the community. It does not. significant time cost and is a barrier to communication. Clients dislike it. I am not saying do not use technology, I am saying use stuff that works and does not cost so much of our time. Also, there are no solutions to Dr. orders, other documents … . so paper charts still exist—very fragmented and confusing systems” (Open text—Clinician).

Client factors

Clients (44%) and clinicians (88%) found the limited ability of the client to use technology a significant disadvantage or barrier to virtual visits. From a patient’s perspective, “Again, it could have been sorted out if I could figure out how to maneuver a screen around so she could see, but I don’t know how to do that” (Patient1). Clinicians rated clients’ access to devices (87%) and Internet (82%) as significant barriers, but their own Internet access and device access were not often a barrier to using virtual visits (<29%). “I work in an indigenous community. Internet & phone services are challenging. The signals can be poor. The people often are unable to afford Internet services & may use pay-as-you-go cell phones” (Open text—Clinician). In an interview, a social worker noted socioeconomic inequities, “And the only ones you’re having the video calls with are the higher functioning with the money to have—so, the ones who have less money or less technology and less cognitive ability aren’t actually online.” Clients (47%) and clinicians (84%) reported requiring extra assistance from family caregivers to make virtual visits possible a significant barrier. Regression analysis indicated that clients aged ≥65 years were 19.9% more likely to report that they can only participate in virtual visits if someone is at home to help them (p < 0.001), compared with clients <65 years.
The biggest factors are do they have a family or support system who can operate or use the technology for them? I think that’s the biggest one. We’ve definitely had situations where you have, say, an elderly, isolated client who is not even particularly comfortable on the phone and they can’t set up the Zoom, they don’t know how to do that. I think we have to be aware of that […] And, again, I don’t know that that was always a positive, sometimes it may have put them in a position where they perhaps wanted more privacy but needed the help with the technology.” (Specialist palliative nurse2).
Clinicians and clients expanded on client cognition, disabilities, education, and equity issues factoring into whether video visits could be used. For example, a clinician expressed that virtual visits can be an added source of pressure for people who are heard of hearing: “And then, of course, we have patients who are hard of hearing or aren’t comfortable with technology who found, and definitely expressed that being asked to use Zoom was a massive added pressure or thing that caused them to worry or get upset, because they really didn’t know” (Specialist palliative nurse2) and from a client (open-text), “I am not comfortable with technology, and I am not necessarily eager to learn at 75 years old.”

Clinician factors

In contrast to their assessment of clients’ technology skills, only 16% of clinicians rated their own training and skills for using online platform technology as a barrier. Clinicians were split on rating the ease of processes to set up virtual calls (e.g., scheduling, login, passwords), as 39% reported it as not being a barrier, 21% were neutral and 40% said it was a significant/somewhat of a barrier. Qualitative results were concordant with the quantitative split, a social worker noted, “I don’t think anybody on our team is bothering with Zoom calls to clients. It takes too much effort and bother”, while others were comfortable using virtual visits, “I don’t know, I like using more and more tools because it can supplement our knowledge. And I don’t know, I think it makes things a little bit easier. Sometimes, not always, but sometimes” (Nurse3). Clinicians were also split on whether they used virtual visits more often when they had personal commitments (e.g., when schools were closed or caring for their own family) as 32% said they agreed, 32% were neutral, and 36% disagreed.

Homecare system factors

COVID-19 was a major contextual factor in determining the use of virtual visits. Considering COVID, 45% of clients and 79% of clinicians reported that the decreased risk of transmission was a very/somewhat important advantage of virtual visits. However, only 31% of clients reported that having fewer people entering their home is an important advantage of virtual visits and not having to wear a mask was not an important advantage of virtual visits for 49% of clients. The availability of PPE was not a barrier for 44% of clinicians. COVID drove some clinician decisions to use virtual visits: “And we use that a lot more, especially now, well, since COVID started because, obviously, we’re trying to reduce our footprint in our clients’ homes, because they are definitely part of the immunocompromised population” (Nurse3). However, clinicians noted difficulty in transitioning from paper to electronic documentation. Clients recognized how virtual visits were necessary to fill gaps during the pandemic: “The COVID pandemic and health care worker shortage changed the way health care and palliative services are delivered to patients. Is it ideal? Maybe not. But it’s the best the system can provide until alternative care is created” (Open text—Client). Another system factor was the dispersed nature of homecare work, with staff needing to work in a central office and a spread of client homes. One nurse noted, “If it’s something that’s urgent I usually will help someone over the phone and then try to see them within that day. But sometimes if they’re an hour one way from the office it may not be possible that day” (Nurse4). Participants also reported general staffing shortages as a barrier to virtual visits, “I think the barrier is just the busyness of the RNs and lack of staffing” (Nurse4).

Risks and disadvantages of virtual visits

Overall, most palliative homecare activities were rated as harder to do virtually by both clients and clinicians (Figs. 3 and 4). Both clients and clinicians acknowledged that the information obtained from a virtual visit was not sufficient for safe, high-quality care. The subthemes were Rapport and social connection, Missing information, Crisis missed or care delayed, and the Need to go in-person.

Rapport and social connection

Key disadvantages of virtual visits, whether by phone or video, were in building rapport and sustaining social connections. Both clients and clinicians valued being physically present for relationship building. Clients (54%) felt it was generally more difficult to communicate virtually and having difficult or sensitive conversations was easier in person (66%). A client responded: “Feels less personable. Very impersonal. No human contact makes you feel like it is more of a question-and-answer session. Lack of human compassion” (Open text-Client). Clinicians (76%) also felt that emotional and psychosocial support worked better in person as a social worker said: “the difference in rapport, in connection, in feeling heard and seen is—you can’t even quantify the difference when you’re there and somebody gets to know you and see you and feel like they had somebody on their couch with them.”
Some clients (45%) did not feel as comfortable communicating in a virtual visit and clinicians appeared to recognize this, as 63% clinicians reported using virtual visits more frequently if the patient was comfortable/willing to have a virtual visit. Regression analysis revealed that clients aged ≥ 65 years are 4.9% less likely to report that communication is easier during virtual visits (p = 0.033), 9.3% less likely to be neutral (p = 0.012), and 14.2% more likely to report that communicating is harder during virtual visits (p = 0.014) compared with clients aged <65 years.

Missing information

Qualitatively, clinicians were quite concerned about missing information when not in the client’s home. Clinicians reported missing some critical sensory information such as client’s nonverbal cues, smells, and details of the home environment as a major disadvantage of virtual visits, “Much is missing virtually; palliative care of clients requires all of our senses—from the moment we walk into the home to where we see the client. Seeing the home, seeing the support people, the client from head to toe, the surroundings, the smells, noises and other—is important in overall care of the palliative client at home” (Open text—Clinician). Additionally, clients were noted by clinicians to sometimes minimize symptoms virtually. A social worker reported that she witnessed a client minimizing their issues to the physician: “The doctor would have set up a phone appointment, and sometimes I’ m there for them. And you’re like, “Holy cow. You have no idea.” If I wasn’t here to give the other side of that, you’d believe her. And no, this is why we’re ending up with so many scenarios where we’re having way more crises than we should have because it’s missed. They just had no idea that things had slid or were that much different because people will do the, “Oh, yes, I’ m good,” so frequently.” Clients noted the dangers also, “When you are hearing impaired or vocally impaired …can get confusing or may hear or interpret the information given improperly. Room for inaccuracy. This can lead to false diagnosis over the phone or misinterpretation of my symptoms” (Open text—Client).

Crisis missed or care delayed

As a consequence of missing information when virtual visits were used instead of in-person care, participants shared stories of critical changes in client’s health being missed or care being delayed. “What ends up happening is when a client’s health is failing, we only tend to notice or hear about it when it has reached a crisis” (Open text—Clinician). Patient safety assessments were also harder virtually, as this nurse manager related intimate partner abuse, “Not much on paper…But he later beat the crap out of her. She was hospitalized. She had to flee. She ended up leaving that city. So that’s not going to be captured over the phone doing question A to B to Z. And there’s so many things, right? I’ m responsible for my safety, her safety and the staff I authorized to go in there. That’s not captured over the phone. There’s no way I believe that would be captured. So, a huge disservice to everybody” (Nurse5).

Need to go in person

From these risks and disadvantages, the need to go in-person emerged as central to certain types of palliative homecare tasks. For example, physical examination and hands-on-nursing-care, the initial homecare visit, interpretation and signing of documents were all tasks clinicians struggled to achieve with virtual visits. “So in person, we have lots of skills that we have to do with our clients. Things like, I don’t know, maybe enema administration, wound care, subcutaneous site changes, like physical skills, so you have to go and do those visits.” (Nurse3). Physiotherapy or occupational therapy were also required in-person, “If it’s something actually hands-on. If I’ m going or if someone’s coming to me, it’s usually like a physiotherapist, and she’s helping me with different exercises or manipulating parts of my body that I can’t anymore.” (Patient1).
Participants emphasized that it is essential for the first palliative homecare visit to be done in-person as it builds rapport, and clinicians can get a full assessment of the patient and their environment: “Only doing virtual visits as a follow up to an in-person visit. New consults are too challenging as you need to get into the home to get a sense of the real situation” (Open text—Clinician).
Clinicians reported (51%) that access to interpreters was an additional significant barrier when using virtual visits. A qualitative response explained: “…in an in-person visit, if I have someone that English isn’t their first language and they want to use a translator, I can phone the language line and I as usual, put them on speaker phone in the visit. Which isn’t as good as an in-person translator, but it’s what we have. But if I’ m doing it by Zoom, we don’t have an option, it’s way more complicated to call in an interpreter.” (Specialist palliative nurse2).

Advantages of virtual visits

Overall, clients and clinicians rated a few aspects of virtual care positively (Figs. 3 and 4). One advantage noted was the increased availability of clinicians enabled by virtual technology (e.g., clients being able to text case managers or phone to ask questions quickly). Beyond the lower infection risk for both clients and clinicians during virtual visits, other advantages reported within the subthemes were positive experiences for clinicians and positive experiences for patients.

Availability of clinicians

Clients mentioned they could connect with their health care providers faster and after hours: “Sometimes we need advice from the nurse, and it was more efficient to do so by phone call. My mom’s health declined quickly, and we needed nurses to care for my mom without much notice” (Open text—Client). The efficiency benefits of virtual care were recognized by clients, “So it was a perfect example of virtual that didn’t take as much time as her having to make a house call, and it was just as satisfying for both of us, and we put in place the things that we needed without any hesitation.” (Caregiver3). Of note, only one-third of clinicians reported an increase in their use of e-mails (29%) and text messages (31%) with clients once the pandemic started.

Positive experiences for clinicians

Reducing travel time to see patients was a benefit for some clinicians (38%). Other positive virtual experiences for clinicians included easier/faster communication between colleagues (e.g., transfer of care between clinicians, nurse to physician texting, clinician peer support and mentorship). With the pandemic, clinicians (53%) increased their use of e-mails and text messages (54%) between providers.
Efficiency of clinician education and virtual team meetings were also described as benefits of virtual modalities, for example, “So I’ m not asking them to give up 30 minutes on either side to come somewhere, you just show up at the time of the visit, we can have you contribute your piece and then off you go. So, I think it is definitely timesaving as well, so it gives an opportunity to, I think, include more people and collaborate differently” (Specialist palliative nurse2). Quantitatively, however, clinicians were split on whether team meetings were better in-person (33%) or virtually (29%) with 34% neutral, and 3% who had not tried virtual team meetings. Health care aides were 28% less likely to report that team activities worked better virtually compared with other professionals (p < 0.001). There were some provincial differences, compared with QC clinicians from ON reported that they were 18.9% more likely to report that team meetings work better virtually, 15.7% less likely to report that team meetings work better in-person and 3.3% less likely not to have tried a virtual team meeting. AB and BC were no different to QC.

Positive experiences for clients

One advantage noted qualitatively was that it was easier for family and friends to join the visit virtually: “The family conference. The getting everybody on the same page, hearing the same information, that was really useful, especially for the out-of-town family members and stuff. There are some really good uses of it” (Social worker1). Clinicians (57%) used virtual technology more when the caregiver or family member was not in the home so that they could include them in the visit. However, 40% of clients reported it was harder virtually to have friends and family join the visit than to have them in-person in the home. Other positive aspects of virtual visits for clients included convenience, saving their time and energy, not taking up space in the home, and being able to record the conversation. A virtual visit was “Easier to fit into the day, allowed my mom to sleep in because less prep time, didn’t have to ramp up to having company preparations, less stressful for mom having a day off instead of an appointment” (Open text-Client).

The role of virtual visits in homecare

Despite the described risks and disadvantages of virtual visits, checking in to choose the visit modality and select tasks emerged as aspects that could be done well virtually. We also heard about potential roles in the persistent use of virtual technology beyond the pandemic.

Checking in to choose the visit modality

Of all surveyed activities, clinicians noted that virtual visits worked better than in-person for triaging (30%) and for care planning (24%). Qualitatively, both clients and clinicians explained that a phone call was sufficient when the client was stable, with the caveat that the provider could switch from a phone visit to an in-person visit if the patient was not doing well. For example, when triaging visits, “If I phoned them in the morning, and they say, “You know what, everything’s fine. We don’t have any concerns, there’s no symptomatic issues,” then we might just leave it for another time” (Nurse3).
Clients noted it was helpful to have someone check in when things were not urgent: “Like, if I have a symptom and it’s not urgent, I don’t need someone to check on me, but I need someone I need to talk to a nurse to be, like, do I have to go to the hospital or should I—when do I go to the hospital? So, in that case, the virtual” (Patient2).
Professional roles factored into whether virtual care was perceived to have a role in triaging. Health care aides work is almost all “hands on” and regression analysis revealed health care aides were 29.1% less likely to report that triaging works better virtually (p < 0.001), 40.4% less likely to stay neutral on whether triaging works better virtually or in person (p < 0.001), and 88% more likely not to have tried virtual visits for triaging (p < 0.001), compared to physicians and palliative care nurse consultants. Provincial differences were also found on regression analysis with clinicians in AB and ON about 23% more likely to report that triaging works better virtually than in-person, while clinicians in all other Canadian provinces were 10.2%−11.6% less likely to report that triaging visits work better in-person.

Select tasks

Certain tasks were identified as well-suited to virtual visits, such as client education, communication about available supports and resources, and enabling external clinicians, such as the client’s oncologist or family physician, to join in the home visit. Overall, clients and clinicians favored in-person homecare and thought virtual modalities should be used only as a supplement to in-person visits.
“From my point of view as a caregiver, it is essential that certain visits are made in person for a better overall assessment of the situation and the risk assessment” (Open textClient).
“Other than phone calls to stable clients, palliative care needs to have visits in the home to establish relationships and provide well rounded care to the client; as mentioned, all of our senses are involved in palliative care. We are not going in to do one specific task; it is multitude of care in palliative care. I have been doing this work for more than 20 years” (Open text -Clinician).

Persistent use of virtual technology beyond the pandemic

A few clinicians felt that having the option of virtual care was important moving forward post-pandemic: “I had hoped we would continue virtual visits and move forward versus backwards to the old way of doing things… tradition and authority without much thought put into how things can work better, more efficient, more effective without compromising patient care, better work life balance, etc.” (Open text — Clinician).
Beyond the pandemic, 36% of clients wanted some/most of their visits to be virtual, 16% had no preference, but 48% wanted none of their visits to be virtual. Regression analysis revealed that both levels of education and age are associated with these preferences. Older adults aged 65 years were 21.5% less likely to prefer some or most visits to be virtual (p < 0.001) and 22.3% more likely to want none of their visits to be virtual compared with clients <65 years (p < 0.001). Clients with <grade 12 (high school) education were 16.4% less likely to prefer some or most virtual visits (p = 0.004), and 19.4% more likely to want none of their visits to be virtual beyond the pandemic, compared to those with post-secondary education (p = 0.008).

Adaptations for virtual visits

Clients and clinicians provided suggestions on how virtual visits could work more seamlessly. These included: visit preparation, increasing technology access, and visit tips.

Visit preparation

Clients noted the importance of planning ahead for a virtual visit by creating a list of questions for the clinicians: “I have my list of medications ready. I have a list of pertinent symptoms ready. I like to keep a list of questions on hand too” (Open text—Client). Older clients noted the need to have a caregiver in-person to help with set up of the virtual visit and for general technology support around the appointment.
Clinicians also noted the importance of preparing ahead.
“So I would try and consider that beforehand and say OK, let’s look at the capacity of doing virtual, how can we make this the best experience possible. Testing the sound system and testing whatever sound system you’re using and whatever. Like if it’s the phone, do they need to have an interpreter to speak to that individual. They’d probably be best served by having someone who can interpret for them, like even the language. […….] The patient’s or client’s comfort level with technology, that’s the first thing you need to know” (Nurse2).

Increasing technology access

Clients and clinicians both suggested that increased flexibility for using e-mail and text communication, or other types of technology that clients use regularly and are already familiar with, would improve virtual visits. “At this time, we are not to communicate via e-mail with non-[Organization] providers or even client’s and family members. This is not sustainable. Email/text communication is especially useful when we’re dealing with a language barrier” (Open text — Clinician).

Visit tips

Privacy of virtual visits was not a concern for the majority of clients (62% were neutral on whether virtual visits made it harder to maintain privacy, 27% rated it harder and only 11% rated it easier) and 45% of clinicians felt privacy in the client’s home was not a barrier for using online platforms. They did note some adaptations to maintain privacy “[…] it’s important to ask who is in the room as there might be family members you cannot see on camera” (Open text—Clinician).
Participants also suggested recording the virtual visit to ensure clients can go back and listen if needed and share the recording with family members and other people who were not able to make it to the appointment: “I like the recorded [conversations]. That’s a nice thing to be able to have the family member record that so somebody else can hear what was said, so we’re all on the same page. Those things are really good add-ons in the recent years” (Social worker1).
Other tips resonating with the themes already described included making sure the client has a caregiver present in-person during virtual visits, and having the first client–clinician visit in-person before beginning virtual visits. Synthesizing the themes, we created clinician and client tip sheets (Fig. 5).
FIG. 5. Tip sheets developed from the mixed-methods results for clients and clinicians using virtual palliative homecare visits.

Discussion

This multiprovince, mixed-methods study described the perceived frequency of virtual palliative homecare visits in Canadian home care programs at the tail-end of the COVID-19 pandemic. Telephone was the most common virtual modality used, while online platforms of video visits were experienced by <10% of clients, and only 21% of clinicians reported often using video visits. Overall, participants reported that in-person care was better for nearly all home care activities. The synthesis of quantitative and qualitative data provides a rich understanding of the multiple factors that influenced both clinicians’ and clients’ preferences for in-person care and their perception that virtual care may have a limited, supplementary role.
Our study echoes the findings of the early pandemic (Mar 2020–July 2021) qualitative study from community-based palliative care programs in Ontario9 and a review6 of telemedicine in the palliative care of advanced cancer patients, describing similar implementation barriers to virtual care, including rapport or “webside manner,” technology barriers and regulatory barriers. In contrast to our palliative homecare context (where clinicians travel to clients’ homes for in-person visits), studies limited to palliative out-patient clinics23,24 (where the in-person visit requires the patient to travel to the clinician) describe fewer negative perspectives and outcomes of virtual visits. The inherent advantages of virtual out-patient clinic palliative care (such as reduced patient travel time and fatigue) are less evident in homecare, where interventions are often “hands-on,” and the home environment is an essential part of the assessment. Clearly, the suitability of virtual care is profession-dependent: health care aides provide physical personal care, while some consultant homecare nurses and physicians may be able to make use of virtual visits.
An intriguing quantitative finding was that physicians practicing in urban areas were more likely to have used video visits frequently compared to their counterparts in rural areas. This observation is in contrast to the literature suggesting that virtual visits are particularly used in rural settings, where travel times are longer.25 Possible explanations could be urban areas having better access to high-speed Internet makes the use of virtual visits more feasible, or urban populations may have greater familiarity with digital platforms or nearby family support to use them, or the higher volume of patients in cities might also contribute to the increased use of virtual visits. Another possible explanation is a culture and community expectation of rural physicians to be more present in homes compared to their urban counterparts.

Impact and recommendations

At the individual level, patients, caregivers and clinicians can implement certain strategies to get the most out of their virtual visit. Clients can prepare ahead by writing down questions, setting up a private and quiet space for the visit and having someone available to assist with tech setup. Clinicians can benefit from building in-person rapport with the clients first before introducing virtual visits. Clinicians can also help clients during virtual visits by communicating slowly and being intentional with questions that may elicit unspoken concerns and sending a document summarizing the visit. Client and clinician tip sheet can be found on the Pan-Canadian Palliative Care Research Collaborative’s website.26
At the program level, safety concerns about missed client cues and changes in health can be mitigated by programs encouraging clinicians to alternate between in-person and virtual visits. Additionally, homecare programs seeking to address workforce or environmental challenges with virtual visits to reduce travel time or increase efficiency by targeting in-person visits to those with the greatest needs, will need to prioritize the implementation and access to user-friendly platforms that cater to all ages.
At the health system level, allowing use of texting and clinician’s own mobile phones for video calls with clients cannot be implemented without addressing potential risks to client and clinician privacy, more flexible use of technology will be needed to address the diverse needs of our communities and help bridge the generational divide. Ensuring all patients and their families as well as clinicians can all equally benefit from virtual care, regardless of technological literacy, requires addressing equity issues like Internet connectivity, affordability, device access, and training.
Interestingly, we heard little from participants about other virtual care innovations such as remote monitoring of vital signs, digital patient-reported symptoms, and “smart devices” for tasks such as medication dispensing. This may reflect the lack of uptake and experience of such innovations in the Canadian palliative homecare context, as well as the high value that people living with advanced illness, their caregivers and clinicians place on in-person presence and connection.
A health administrative data study is currently being completed, which will provide frequency of virtual visits and outcomes of patients on palliative homecare before and during the COVID pandemic. Questions for future research studies could focus on human factors research to enable equitable use of technological solutions in homecare, particularly focusing on older adults, those with lower levels of education or cognitive impairment. In addition, studies may help test whether individual, program level, and system changes can increase virtual care usage and provide user benefits.

Strengths and limitations

There were strengths in using concurrent mixed methods; the qualitative data not only corroborated but also expanded on the quantitative findings. For instance, the qualitative survey and interview data captured stronger negative experiences of virtual visits than were identified in the quantitative findings alone. Sampling from the diverse perspectives of patients, caregivers, and various professions enriched our understanding of the homecare setting and interprofessional team function. Our sample appears representative of the Canadian population in terms of immigration, with 20% of people born outside of Canada.27 We did not however collect information about visible minority identities. Our sample is also representative of palliative homecare populations (predominately older adult clients and more women caregivers).
A limitation was the low client survey response rate. However, it is important to note that this is not atypical of postal surveys28 and palliative homecare clients are a particularly frail population with limited energy to participate in research.29 We were unable to estimate the response rate for clinicians, as we do not know the reach of the emailed survey invitation, but we had a limited number of clinicians volunteering for interviews. While saturation was reached for the main themes, we did not have interviews from clinicians in QC and are therefore less able to understand differences between provinces (e.g., why QC clinicians favored in-person care more for triaging and team visits than clinicians in ON). Another limitation is that only two clients, both of whom were women, volunteered to partake in the qualitative interviews.

Conclusion

Most virtual visits in palliative homecare were conducted by telephone and for supplementary activities to in-person care. Video visits have more significant barriers that need to be overcome to allow for more widespread, combined use of virtual care. The benefits of virtual visits need to be greater than the impacts on human connection and safety of care. Currently, the benefits of in-person palliative homecare remain irreplaceable.

Ethics and Consent

This study was approved by the Research Ethics Boards at all participating programs: University of Calgary Conjoint Health REB (REB21-2021, March 7, 2022); Fraser Health REB (2022292, April 20, 2022); Health REB of Alberta (HREBA.CC-21-0441, November 14, 2021); Bruyere Continuing Care REB (M16-22-034, July 21, 2022); CIUSSS-CN Santé des populations REB (MP-13-2023-2672, SPPL, January 16, 2023).

Data Management and Sharing

Data sharing is not permitted with third parties in accordance with the research ethics approvals obtained. Inquiries can be directed by email to the corresponding author, Dr. Jessica Simon: [email protected].

Authors’ Contributions

E.S., S.K., P.A., I.D.K., A.C., R.Z.C., B.G., G.L., S.R.I., D.V., J.L, J.D., and J.S.: (i) Made a substantial contribution to the concept or design of the work; or acquisition, analysis, or interpretation of data. (ii) Drafted the article or revised it critically for important intellectual content. (iii) Approved the version to be published. (iv) Have participated sufficiently in the work to take public responsibility for appropriate portions of the content.

Abbreviations

AB
Alberta
BC
British Columbia
COVID-19
Coronavirus Disease of 2019
ON
Ontario
PPE
personal protective equipment
QC
Quebec

Acknowledgments

The authors are grateful for the contributions of a many people who enabled this study to be completed, including, in alphabetical order: Darian Allard, Janet Bennett, Beverley Berg, Dr. Patricia Biondo, Jessica Boivin, Dr. Angela Ferguson, Nathalie Gilbert, Dr. Eman Hassan, Nadine Henningsen, Catherine Janzen, Dr. Sukaina Kara, Fiona Kenney, Karen Leaman, Dr. Caitlin Lees, Michelle Peterson Fraser, Dr. Jill Rice, Alexandra Ruest-Bélanger, and Justin Shimizu. The authors are also grateful for the support of the Canadian Home Care Association, the Pan-Canadian Palliative Care Research Collaborative, and to all the staff and clients of palliative homecare programs across Canada who participated in this study.

Author Disclosure Statement

The author(s) declared no potential conflicts of interest with respect to the research, authorship, and/or publication of this article.

Funding Information

The author(s) disclosed receipt of the following financial support for the research, authorship, and/or publication of this article: This project has been funded by a contribution from Health Canada, Health Care Policy and Strategies Program. The views expressed herein do not necessarily represent the views of Health Canada.

References

1. Roy CM, Bollman EB, Carson LM, et al. Assessing the indirect effects of COVID-19 on healthcare delivery, utilization and Health Outcomes: A scoping review. Eur J Public Health, 2021; 31(3):634–640;
2. Radbruch L, Knaul FM, de Lima L, et al. The key role of palliative care in response to the COVID-19 tsunami of suffering. Lancet, 2020; 395(10235):1467–1469;
3. Arya A, Buchman S, Gagnon B, et al. Pandemic palliative care: Beyond ventilators and saving lives. CMAJ, 2020; 192(15):E400–E404;
4. Healthcare Excelllence Canada. Home and Community-Based Palliative Care Shaping the future from lessons learned during the COVID-19 pandemic. 2021. Available from: https://cdnhomecare.ca/wp-content/uploads/2021/06/Home-and-Community-based-Palliative-Care-Shaping-the-Future-from-Lessons-Learned-during-the-COVID-19-Pandemic_JUN25.pdf [Last accessed: October6, 2024].
5. Dolan H, Eggett C, Holliday L, et al. Virtual care in end of life and palliative care: A rapid evidence check. J Telemed Telecare, 2021; 27(10):631–637;
6. Steindal SA, Nes AA, Godskesen TE, et al. Advantages and challenges of using telehealth for home-based Palliative Care: Systematic Mixed Studies Review. J Med Internet Res, 2023; 25:e43684;
7. Tang M, Reddy A. Telemedicine and its past, present, and future roles in providing palliative care to advanced cancer patients. Cancers (Basel), 2022; 14(8):1884;
8. Ritchey KC, Foy A, McArdel E, et al. Reinventing palliative care delivery in the era of covid-19: How telemedicine can support end of life care. Am J Hosp Palliat Care, 2020; 37(11):992–997;
9. Vincent D, Peixoto C, Quinn KL, et al. Virtual home-based palliative care during COVID-19: A qualitative exploration of the patient, caregiver, and healthcare provider experience. Palliat Med, 2022; 36(9):1374–1388;
10. Canadian Hospice Palliative Care Association. The Pan-Canadian Gold Standard for Palliative Home Care: Towards Equitable Access to High Quality Hospice Palliative and End-of-Life Care at Home. Canadian Hospice Palliative Care Association: Ottawa, ON; 2006.
11. Bhatia RS, Chu C, Pang A, et al. Virtual care use before and during the COVID-19 pandemic: A repeated cross-sectional study. CMAJ Open, 2021; 9(1):E107–E114;
12. Willis G. Cognitive Interviewing: A Tool for Improving Questionnaire Design. SAGE Publications, Inc; 2005;
13. WHO chief declares end to COVID-19 as a global health emergency [Internet]. UN News Global perspective Human stories. 2023. Available from: https://news.un.org/en/story/2023/05/1136367 [Last accessed: October6, 2024].
14. CHCA [Internet]. Available from: https://cdnhomecare.ca/ [Last accessed: October6, 2024].
15. Chell E. Critical incident technique. In: Qualitative methods and analysis in organizational research: A practical guide. Symon G, Cassell C., editors. Sage Publications Ltd: London; 1998. pp. 51–72.
16. Militello LG, Hutton RJ. Applied Cognitive Task Analysis (ACTA): A practitioner’s toolkit for understanding cognitive task demands. Ergonomics, 1998; 41(11):1618–1641;
17. Farquhar M, Preston N, Evans CJ, et al.; MOREcare. Mixed methods research in the development and evaluation of complex interventions in palliative and end-of-life care: Report on the MORECARE consensus exercise. J Palliat Med, 2013; 16(12):1550–1560;
18. Castro FG, Kellison JG, Boyd SJ, et al. A methodology for conducting integrative mixed methods research and data analyses. J Mix Methods Res, 2010; 4(4):342–360;
19. Levitt HM, Bamberg M, Creswell JW, et al. Journal article reporting standards for qualitative primary, qualitative meta-analytic, and mixed methods research in psychology: The APA Publications and Communications Board task force report. Am Psychol, 2018; 73(1):26–46;
20. Braun V, Clarke V. Using thematic analysis in psychology. Qual Res Psychol, 2006; 3(2):77–101;
21. Thorne S, Kirkham SR, MacDonald‐Emes J. Interpretive description: A noncategorical qualitative alternative for developing nursing knowledge. Res Nurs Health, 1997; 20(2):169–177; doi: 10.1002/(sici)1098-240x(199704)20:2<169::aid-nur9>3.3.co;2-b
22. Fetters MD, Curry LA, Creswell JW. Achieving integration in mixed methods designs—principles and practices. Health Serv Res, 2013; 48(6 Pt 2):2134–2156;
23. Reddy A, Arthur J, Dalal S, et al. Rapid transition to virtual care during the covid-19 epidemic: Experience of a supportive care clinic at a tertiary care cancer center. J Palliat Med, 2021; 24(10):1467–1473;
24. Greer JA, Temel JS, El-Jawahri A, et al. Telehealth vs in-person early palliative care for patients with advanced lung cancer. JAMA, 2024; 332(14):1153;
25. Dryden EM, Kennedy MA, Conti J, et al. Perceived benefits of geriatric specialty telemedicine among rural patients and caregivers. Health Serv Res, 2023; 58(Suppl 1):26–35;
26. Clinician tips for virtual visits with home-based palliative care clients/client tips for virtual visits with your palliative Homecare team [Internet]. 2024. Available from: https://pcpcrc.ca/media_resources/clients-tips-for-virtual-palliative-care-visits/ [Last accessed: December20, 2024].
27. Government of Canada, Statistics Canada [Internet]. Government of Canada, Statistics Canada; 2023. Available from: https://www12.statcan.gc.ca/census-recensement/2021/as-sa/fogs-spg/page.cfm?lang=E&topic=4&dguid=2021A000011124 [Last accessed: October13, 2024].
28. Sinclair M, O’Toole J, Malawaraarachchi M, et al. Comparison of response rates and cost-effectiveness for a community-based survey: Postal, internet and telephone modes with generic or personalised recruitment approaches. BMC Med Res Methodol, 2012; 12(1):132;
29. Chatland LE, Harvey C, Kelly K, et al. Research participation in palliative medicine—benefits and barriers for patients and families: Rapid review and thematic synthesis. BMJ Support Palliat Care, 2023; 13(1):35–44;
Cite this article as: Kannathas S, Schorr E, Akude P, De Kock I, Collins A, Carter RZ, Gagnon B, Lalumiere G, Isenberg SR, Vincent D, Lapenskie J, Downar J, Simon J (2026) “Supplementary at best”—A mixed methods analysis of palliative homecare patients’, caregivers’, and clinicians’ experiences of virtual visits near the end of the pandemic, Palliative Medicine Reports 7:1, 256–272, DOI: 10.1177/26892820261435554.

Supplementary Material

Please find the following supplemental material available below.

For Open Access articles published under a Creative Commons License, all supplemental material carries the same license as the article it is associated with.

For non-Open Access articles published, all supplemental material carries a non-exclusive license, and permission requests for re-use of supplemental material or any part of supplemental material shall be sent directly to the copyright owner as specified in the copyright notice associated with the article.